加拿大一枝黄花水提液对玉米幼苗生长的化感作用及其机理
叶小齐, 吴明*, 邵学新, 梁雷

Effects of water extracts from Solidago canadensis on the growth of maize seedlings and the underlying photosynthetic mechanisms
YE Xiao-qi, WU Ming, SHAO Xue-xin, LIANG Lei
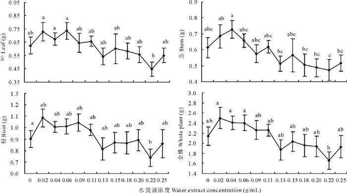
图2 不同浓度加拿大一枝黄花水提液处理下玉米幼苗茎、叶、根和全株鲜重生物量
Fig.2 Biomass fresh weight of stem, leaf, root, and whole plant of the maize seedling treated with different concentration of water extract from S. canadensis