作者简介:吴娜(1980-), 女,山东淄博人,副教授,博士。E-mail: nawu2000@163.com
在宁夏南部山区,通过田间小区试验,以单作马铃薯为对照,研究了4种马铃薯燕麦间作行数比[2∶2(P2O2)、2∶4(P2O4)、4∶2(P4O2)、4∶4(P4O4)]对马铃薯光合特性与产量的影响。结果表明,开花期,间作马铃薯的叶面积指数(LAI)、比叶重(SLW)显著下降,随着第1茬燕麦的收获,间作马铃薯能获得更多的光照和更广阔的生长空间,良好的通风透光条件使SLW有一定程度的回升;成熟期间作LAI高于单作。整个生育期P4O4处理的LAI和叶绿素总含量(Chla+Chlb)显著高于其他间作处理。在开花期,与单作相比,间作马铃薯叶片的净光合速率( Pn)、气孔导度( Gs)、蒸腾速率( Tr)显著降低,胞间 CO2浓度( Ci)显著提高;成熟期,光合指标的变化趋势与开花期相反。与单作相比,间作马铃薯由于增加了单株块茎重、单株商品薯重,减少了小薯个数,而使产量显著增加,P4O4产量最高。马铃薯/燕麦间作具有一定的间作优势,各间作处理经济产量土地当量比(LER)均大于1,其中P4O2的土地当量比最大,为1.22;其次为P4O4处理。在马铃薯/燕麦间作生产中适当增加马铃薯行数或减少燕麦行数有利于增加间作优势,在生产中宜采用马铃薯与燕麦间作行数比为4∶2、4∶4的间作模式。
Intercropping systems with four different potato-oat row ratios (2∶2, P2O2; 2∶4, P2O4;4∶2, P4O2;4∶4,P4O4) were tested to determine effects on the photosynthetic characteristics and yield of potato. During the flowering period, potato leaf area index (LAI) and leaf weight ratio (SLW) decreased significantly. After the first crops of oats are harvested, potatoes receive more light and growth space; thus SLW recovered to a degree. When the crops were mature, the LAI of potato in intercropping systems was higher than that in monoculture. Compared with other intercropping ratios, the LAI and total chlorophyll content under P4O4 treatment were significantly higher during the entire growth period. During the flowering period, net photosynthetic rate ( Pn), stomatal conductance ( Gs) and transpiration rate ( Tr) of potato in intercropping systems significantly reduced compared to those in monoculture, while intercellular CO2 concentration ( Ci) significantly increased. However, the photosynthesis indexes decreased at maturation point. Compared to monoculture, intercropped potato returned significant increases in production, possibly due to increased tuber yield and marketable yield per plant, as well as reduced numbers of small potato. The highest yield was obtained under P4O4 treatment. Intercropping with oats also returned land equivalent ratios (LER) greater than 1. LER was highest (1.22) under the P4O2 treatment, followed by the P4O4 treatment. The results suggest that potato/oat row ratios of 4∶2 or 4∶4 perform better than other ratios in this intercropping system.
马铃薯(Solanum tuberosum)是一年生、高产稳产、适应性广的茄科植物, 已经成为宁夏第一大粮菜兼用农作物, 而且90%以上都集中在宁夏南部山区(以下简称宁南山区), 但它忌连作, 宜轮作倒茬。目前, 宁南山区相当部分农田马铃薯连作年限超过3年以上[1], 连作使土地利用强度加大, 在有限的耕作面积条件下, 用地与养地矛盾日益突出。燕麦(Avena sativa)是宁南山区粮草兼用、轮作倒茬、培肥地力的特色优势作物[2, 3], 将燕麦纳入当地耕作制度, 可以解决用地和养地的矛盾, 还可解决发展畜牧业饲料不足的矛盾[4]。
间作是一种在时间和空间上实现种植集约化的耕作制度[5, 6]。间作群体利用作物不同的生长习性和生理特性, 形成不同时空生态位互补的复合群体, 能够提高光能利用率, 同时能充分利用温、水、肥等资源, 从而提高单位面积的产出效率[7, 8]。间作群体结构是影响复合群体整体产量的关键[9], 合理的行比配置可以最大限度地发挥间作立体种植优势, 提高耕地的总体生产能力, 增加经济产出[10]。马铃薯与玉米(Zea mays)间作[11, 12, 13]、马铃薯与棉花(Gossypium hirsutum)间作、马铃薯与蔬菜间作等种植模式在农业生产中已得到广泛的应用和推广, 燕麦与豆科植物间作也有较多研究[14, 15], 但对马铃薯与燕麦间作模式及其增产机理的研究却鲜有报道。因此, 本试验针对宁南山区马铃薯和燕麦生产实际, 重点开展马铃薯与燕麦间作比例研究, 明确不同间作比例对马铃薯光合特性与产量的影响, 确定马铃薯与燕麦高产高效间作模式, 并揭示其增产增效的机理, 为宁南山区旱地农田生态系统的健康可持续发展提供理论依据。
试验在宁夏固原市原州区彭堡镇彭堡村进行, 位于N 36° 05', E 106° 09', 海拔1660 m, 降水量400~500 mm, 无霜期200 d左右, ≥ 10℃的年积温约2500℃, 热量比较充足、昼夜温差大、蒸发量大。土壤类型为灰钙土, 碱化灰钙土亚类, 土壤质地为粘土, 土壤基本理化性质:全氮1.40 g/kg、全磷1.24 g/kg、碱解氮84.0 mg/kg、有效磷13.11 mg/kg、速效钾105.78 mg/kg, 有机质12.9 g/kg, 土壤pH为8.01, 试验期间月降雨量及平均气温见图1。
试验设置马铃薯∶ 燕麦行数比为 2∶ 2、2∶ 4、4∶ 2和4∶ 4四个间作处理, 分别标记为P2O2、P2O4、P4O2和 P4O4, 以马铃薯单作和燕麦单作为对照组, 分别标记为PM和OM。采用随机区组试验设计, 每个处理 3 次重复, 每个小区长10 m, 各处理均包括3个带宽。马铃薯品种为青薯9号, 于2013年4月14日等行距平种, 行距50 cm, 株距30 cm。间作燕麦种植两茬, 第1茬用裸燕麦品种燕科1号, 与马铃薯同期种植, 条播, 行距25 cm, 播种量90 kg/hm2。第1茬于2013年8月10日收获, 收获后翻耕, 原地种植第2茬, 裸燕麦品种、行距和播种量均与第1茬相同。 间作处理中马铃薯与燕麦间距为30 cm。播前一次性施入复合肥300 kg/hm2(纯氮、P2O5和K2O的比例为12∶ 20∶ 13), 其他管理同大田生产。
1.3.1 叶绿素、叶面积指数、比叶重的测定
叶绿素提取采用 Arnon[16]的方法, 在马铃薯苗期、开花期、块茎膨大期、成熟期取马铃薯主茎上部、中部、下部充分展开的叶片混匀后测定, 每处理重复4次; 叶面积采用打孔称重法测量[13], 然后换算成叶面积指数; 比叶重=叶干重/叶面积。
1.3.2 叶片光合指标的测定与计算
在马铃薯开花期、块茎膨大期、成熟期用 LI-6400 便携式光合仪(美国, Li-Cor 公司), 于 10:00-12:30 间, 统一在各试验小区的中间条带测定, 每小区每行选取6株有代表性的植株, 进行净光合速率(Pn)、气孔导度(Gs)、蒸腾速率(Tr)和胞间 CO2浓度(Ci)的测定。
1.3.3 收获测产、土地当量比、种间相对竞争力
成熟期进行测产和考种, 对每个试验小区的商品薯(≥ 50 g)、大薯(≥ 100 g)、中薯(100 g< 中薯≥ 50 g)、小薯(< 50 g)分别计数、称重, 并分析间作优势。间作优势用土地当量比(LER)衡量。
LER=
式中, Yip和Yio分别代表间作中马铃薯和燕麦的产量; Ysp和Yso分别代表单作马铃薯和单作燕麦的产量。当LER> 1, 表明间作比单作的资源利用效率高; 当LER< 1, 单作比间作更有效利用资源。
种间相对竞争力(aggressivity, A), 表示马铃薯相对燕麦的竞争能力, 计算公式:
Apo=
式中, Apo为马铃薯相对于燕麦的资源竞争力, Yip和Yio分别代表间作马铃薯和燕麦的产量, Ysp和 Yso分别代表单作马铃薯和燕麦的产量, Pp和Po分别为间作中马铃薯和燕麦所占的土地面积比例。当Apo > 0表示马铃薯对资源的竞争力大于燕麦; Apo< 0, 表示马铃薯对资源的竞争力小于燕麦。
采用SAS 8.2软件进行方差分析, 其他分析在Microsoft Excel中完成。
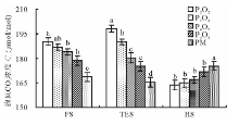
由图 2 可知, 整个生育期马铃薯叶面积指数呈先升后降趋势, 块茎膨大期叶面积指数最高。各处理苗期差异不显著; 开花期单作PM处理的叶面积指数上升速度和幅度均大于间作马铃薯; 成熟期单作PM处理的叶面积指数显著低于间作处理, 比P2O2、P2O4、P4O2、P4O4分别降低6.33%, 15.26%, 22.64%, 28.67%。P4O2、P4O4处理由于增加了 2 行马铃薯, 优化了光照条件, 叶面积指数显著高于P2O2、P2O4。在成熟期P4O2、P4O4处理叶面积指数比P2O2提高21.08%和31.33%。
由图 3 可知, 苗期至块茎膨大期P4O2、P4O4处理呈先上升后下降趋势, 而P2O2、P2O4处理呈直线下降趋势, 在成熟期各处理均有小幅回升。在生育前期, 间作降低了马铃薯比叶重, 单作PM处理在开花期比叶重比P2O2、P2O4、P4O2、P4O4分别提高63.64%, 54.29%, 17.39%和12.50%。开花期之后P4O4处理的比叶重高于单作PM处理, 块茎膨大期和成熟期P4O4处理分别比单作PM提高6.90%和6.06%, 处理间差异显著。
2.3.1 间作对马铃薯叶绿素总量(Chla+Chlb)的影响
由图 4可知, 马铃薯叶绿素总量(Chla+Chlb)变化呈先升后降的趋势, 4个间作处理从苗期上升至块茎膨大期达最高, 之后略有下降; 单作PM处理在开花期叶绿素总量(Chla+Chlb)最高, 此后开始大幅下降。间作处理提高了生育后期马铃薯叶绿素含量。整个生育期P4O4叶绿素总含量(Chla+Chlb)均最高, 在开花期、块茎膨大期比单作PM处理分别提高24.00%和41.67%; 其次为P4O2处理, 在块茎膨大期、成熟期比单作PM处理分别提高25%和20%。
| 图4 间作对不同生育时期马铃薯叶绿素总含量的影响Fig.4 Effects of intercropping on Chla+Chlb contents of potato at different developmental stages |
2.3.2 间作对马铃薯叶绿素a/b值的影响
由图 5可知, 叶绿素a/b值在整个生育时期呈现开花期下降, 块茎膨大期上升, 成熟期再下降的波动趋势。单作和间作各处理在苗期差异不显著; 开花期单作PM处理叶绿素a/b值显著低于P4O4、P4O2处理, 分别降低10.34%和7.14%; 块茎膨大期单作PM处理叶绿素a/b值最大, 分别比P4O4、P4O2提高21.62%和18.42%。从开花期至块茎膨大期, 单作处理叶绿素a/b值的上升幅度和速度均大于间作处理。除苗期外, P4O2和P4O4处理叶绿素a/b值均高于P2O2与P2O4处理, P2O2叶绿素a/b值最低。开花期P4O2、P4O4比P2O2提高 31.82%和27.27%, 块茎膨大期比P2O2提高12.12%和15.15%。
2.4.1 间作对马铃薯叶片净光合速率的影响
由图 6 可知, 从开花期至块茎膨大期间作和单作 Pn均呈上升趋势, 在成熟期显著下降。在开花期和块茎膨大期, 与单作相比, 间作显著降低了马铃薯叶片的净光合速率(Pn)。开花期间作处理P2O2、P2O4、P4O2、P4O4净光合速率分别比单作PM处理降低了24.32%, 20.90%, 6.77%和2.23%。成熟期间作处理净光合速率均高于单作, P4O2、P4O4处理分别比单作PM处理高 23.33%和36.61%, 处理间差异显著。
2.4.2 间作对马铃薯叶片气孔导度的影响
由图 7 可知, 马铃薯气孔导度的变化规律与净光合速率基本相同, 从开花期至块茎膨大期各处理Gs均呈上升趋势, 成熟期显著下降。块茎膨大期单作PM处理与间作P4O2、P4O4差异不显著, 但显著高于P2O2、P2O4处理。成熟期单作PM处理与间作P2O2、P2O4差异不显著, 但显著低于P4O2、P4O4处理, 分别比P4O2、P4O4降低37.13%和40.34%。
2.4.3 间作对马铃薯叶片胞间 CO2浓度的影响
由图 8 可知, 从开花期至块茎膨大期, 与单作相比, 间作显著增加了马铃薯叶片的胞间 CO2浓度。块茎膨大期间作处理P2O2、P2O4、P4O2、P4O4胞间 CO2浓度分别比单作PM处理增加19.73%, 15.13%, 9.19%和6.12%。成熟期单作处理胞间 CO2浓度显著高于间作。
2.4.4 间作对马铃薯叶片蒸腾速率的影响
由图 9 可知, 块茎膨大期间作和单作的蒸腾速率均最大。开花期至块茎膨大期单作PM处理的蒸腾速率均高于间作处理, 开花期单作比间作P2O2、P2O4、P4O2、P4O4增加36.56%, 38.04%, 31.61%和14.93%; 成熟期单作显著低于间作, 分别比P2O2、P2O4、P4O2、P4O4降低13.90%, 15.18%, 35.52%和37.50%。
2.5.1 间作对作物产量及土地当量比的影响
从表1可以看出, 马铃薯/燕麦间作具有一定的间作优势, 各间作处理籽粒产量的土地当量比(LER)均大于1, 其中P4O2的土地当量比最大, 为1.22; 其次为P4O4, 为1.17; P2O2的土地当量比最小, 为1.13。P2O2、P2O4、P4O2间作系统中马铃薯对资源的竞争力小于燕麦(Apo< 0), 而P4O4间作系统中马铃薯对资源的竞争力大于燕麦(Apo> 0)。由此可见, 在马铃薯/燕麦间作生产中适当增加马铃薯行数或减少燕麦行数有利于提高复合群体产量, 增加间作优势。
2.5.2 间作对马铃薯产量构成因素的影响
间作对马铃薯产量构成因素的影响如表2所示, 间作增加了马铃薯单株块茎重和单株商品薯重。P4O4处理的单株商品薯重最大。P4O2、P4O4的单株块茎重与单株商品薯重分别比单作PM处理高18.53%, 14.39%与20.62%, 17.04%, 处理间差异显著。单株块茎数、商品薯个数、大薯个数P4O4处理与马铃薯单作PM差异不显著, 但均高于其他间作处理。中薯个数P4O4处理最多, 显著高于其他处理, 是马铃薯单作PM处理的1.88倍。小薯个数单作PM处理最多, 显著高于间作处理。结合表1可知, 与间作相比, 单作马铃薯由于降低了单株块茎重、单株商品薯重, 增加了小薯个数, 而使产量显著降低。
| 表1 间作对作物产量及土地当量比的影响 Table 1 Effects of intercropping on crop yieldand land equivalent ratio |
| 表2 间作对马铃薯产量构成因素的影响 Table 2 Effect of intercropping on yield related traits of potato |
资源的高效利用是间套作优势的生物学基础, 合理的间套作能获得更多的积温和光照, 为作物高产创造条件[17], 同时, 间套作系统中两作物在共生期也存在一定的资源竞争[12]。本研究表明, 在马铃薯燕麦间作体系中, 作物高低相间, 间作改变了光在群体中的分布, 有利于光照资源的高效利用, 表现出一定的产量优势, 但是两作物在共生期存在光资源的竞争。在马铃薯开花期, 马铃薯处于低位, 燕麦处于高位, 马铃薯对光辐射的截获处于劣势, 随燕麦株高的增加, 间作燕麦对马铃薯的荫蔽程度加重, 遮阴效应降低了马铃薯叶片对光的截获, 致使叶面积指数和比叶重降低, 这与黄承建等[12]在马铃薯/玉米套作上的研究结论基本一致。随着第1茬燕麦的收获, 间作马铃薯能获得更多的光照和更广阔的生长空间, 良好的通风透光条件, 使马铃薯茎叶生长得到了明显的恢复, 因此在成熟期间作处理马铃薯的叶面积指数显著高于单作处理。
叶绿素在植株体内负责光能的吸收、传递和转化, 在光合作用中起着非常重要的作用, 其含量及组成受光照条件的影响。在间套作条件下, 低位作物叶绿素含量的变化除了受光照条件影响外, 还与作物种类有关[13], 马铃薯/玉米套作降低了矮秆作物马铃薯的叶绿素含量[11]; 木薯(Maninot esculenta)/花生(Arachis hypogaea)间作降低了花生叶绿素含量[18]; 玉米/大豆(Glycine max)间作则明显提高大豆叶片的叶绿素含量[19]。本研究结果表明, 马铃薯/燕麦间作提高了马铃薯叶片叶绿素含量, 这也进一步说明了间套作条件下低位作物叶绿素含量的变化因作物种类而异。此外, 间作行数比与幅宽直接影响到间作作物对光能的截获, 本试验中P4O2、P4O4处理由于增加了 2 行马铃薯, 从而增加了整个间作马铃薯群体对光的截获, 使光照条件得到改善, 使叶片Chla+Chlb 含量较P2O2、P2O4处理显著增加, 这与陈颖和邹超亚[20]在玉米/大豆间套作体系中的研究结论基本一致。
光环境影响着植物的光合特性, 间作系统中矮秆作物的光环境相对较差, 致使其光合速率下降[21, 22]。光合速率下降主要受气孔因素限制或非气孔因素限制, 而这取决于Pn、Gs 和Ci 的变化方向[23]。李植等[19]在大豆/玉米间作时发现, 间作大豆叶片气孔导度提高, 蒸腾速率下降, 胞间CO2浓度升高, 气孔因素不是导致间作大豆光合速率下降的原因。本研究亦得出类似结果, 在马铃薯开花期, 燕麦的遮阴使低位作物马铃薯群体内部光照条件恶化, 光合速率降低, 蒸腾作用减弱; 与单作相比, 间作马铃薯叶片的净光合速率、气孔导度、蒸腾速率显著降低, 而胞间 CO2浓度显著升高。随着第1茬燕麦的收获, 间作马铃薯截获更多的光照, 良好的通风透光条件, 使间作马铃薯叶片的Pn、Gs、Tr显著升高, Ci降低。这说明弱光条件下马铃薯光合速率的下降则是由非气孔因素造成的, 是光能不足限制了叶绿体光合潜力的发挥[24]。
LER值作为评定是否具有间作优势的指标, 它反映间作系统对土地的利用效率, 单位土地面积的产出率, LER值大小与间作系统内物种之间生存竞争和互利的权重大小有密切关系, 不是每一种间作体系都能取得产量优势。LER值大小与间作的物种以及间作比例、带宽有关, 根据LER值大小能够判断两个物种是否适合间作, 据报道玉米+鹰嘴豆(Cicer arietinum)间作系统以及小麦(Triticum aestivum)+蚕豆(Vicia faba)间作系统均表现出间作优势(LER> 1)[25, 26], 而大豆+玉米间套作系统, 无论施氮还是不施氮, LER均小于1, 表现为间作劣势[27]。本研究表明, 马铃薯/燕麦间作处理籽粒产量土地当量比(LER)均大于1, 其中P4O2处理的土地当量比最大, 其次为P4O4处理。这表明马铃薯和燕麦是适合间作的, 在此间作系统内马铃薯和燕麦之间的互利作用大于竞争作用, 其资源利用率比单作要高, 有产量优势。同时, 适当增加马铃薯行数或减少燕麦行数有利于提高间作马铃薯群体对光的截获, 提高复合群体产量, 增加间作优势。因此, 在生产中宜采用马铃薯/燕麦行数比为4∶ 2和4∶ 4的间作模式。
马铃薯与燕麦间作改变了马铃薯的光合特性, 增加了马铃薯群体的叶面积系数, 促进了马铃薯光合作用, 从而提高了马铃薯块茎产量。马铃薯与燕麦间作表现出较强的间作优势, P4O2处理的土地当量比最大, P4O4处理的马铃薯块茎产量最高。因此, 在生产中为提高复合群体产量, 增加间作优势, 宜采用马铃薯/燕麦间作行数比为4∶ 2、4∶ 4模式。
The authors have declared that no competing interests exist.
| [1] |
|
| [2] |
|
| [3] |
|
| [4] |
|
| [5] |
|
| [6] |
|
| [7] |
|
| [8] |
|
| [9] |
|
| [10] |
|
| [11] |
|
| [12] |
|
| [13] |
|
| [14] |
|
| [15] |
|
| [16] |
|
| [17] |
|
| [18] |
|
| [19] |
|
| [20] |
|
| [21] |
|
| [22] |
|
| [23] |
|
| [24] |
|
| [25] |
|
| [26] |
|
| [27] |
|
| [1] |
|
| [2] |
|
| [3] |
|
| [5] |
|
| [7] |
|
| [8] |
|
| [11] |
|
| [12] |
|
| [13] |
|
| [15] |
|
| [17] |
|
| [18] |
|
| [19] |
|
| [20] |
|
| [21] |
|
| [22] |
|
| [23] |
|
| [24] |
|
| [25] |
|
| [26] |
|
| [27] |
|

