作者简介:郑向丽(1978-),女,福建莆田人,副研究员,硕土。E-mail:hhuadi@163.com
为研究不同花生秸秆在奶牛瘤胃中的降解特性,采用尼龙袋法评定了4种花生秸秆(TI、TJ、汕G和泉花7号)的干物质(DM)、粗蛋白(CP)、中性洗涤纤维(NDF)和酸性洗涤纤维(ADF)瘤胃动态降解率和有效降解率。结果表明,4种花生秸秆DM的72 h降解率和有效降解率为汕G最高,达66.07%和49.37%,并依次降低的为TJ、泉花7号与TI。4种花生秸秆CP的72 h降解率和有效降解率与DM有相同的趋势,CP的72 h降解率和有效降解率也以汕G最高,达73.16%和59.20%,其中CP的72 h降解率依次降低的为泉花7号、TJ与TI;有效降解率依次降低的为TJ、TI与泉花7号。4种花生秸秆NDF和ADF的72 h降解率趋势一致为泉花7号最高,并依次降低的为汕G、TJ和TI;4种花生秸秆NDF有效降解率最高的为汕G,其次为TI、泉花7号与TJ;ADF有效降解率最高的为泉花7号,其次为汕G、TI与TJ。因此,从奶牛对4种花生秸秆的降解效果看,汕G的营养价值最高,TI的营养价值最低。
In order to study the degradation characteristics of four types of peanut straw in dairy cow rumens, the disappearance rates and effective degradability of dry matter (DM), crude protein (CP), neutral detergent fiber (NDF) and acid detergent fiber (ADF) were determined using the nylon-bag method. The results showed that the disappearance rate and effective degradability of DM at 72 h were the highest in the Shan G type of peanut straw (66.07% and 49.37%, respectively), while the values decreased successively from TJ to Quanhua No.7 and TI. CP disappearance rate and effective degradability followed similar trends. Shan G had the highest values (73.16% and 59.20%, respectively) at 72 h. The CP disappearance rate decreased successively from Quanhua No.7 to TJ and TI, while the CP effective degradability decreased successively from TJ to TI and Quanhua No.7. At 72 h, the disappearance rates of NDF and ADF of Quanhua No.7 were the highest and decreased successively from Shan G and TJ to TI. The effective degradability of NDF was the highest for Shan G and decreased successively from TI to Quanhua No.7 and TJ. The effective degradability of ADF was the highest for Quanhua No.7 and decreased successively from Shan G to TI and TJ. In conclusion, Shan G has the highest and TI has the lowest nutritional value among the four types of peanut straw tested for dairy cows.
2013年福建省奶牛存栏约5万头, 目前饲养的奶牛品种主要是中国荷斯坦奶牛。福建天蓝地绿水净奶质好, 具有生产巴氏鲜奶的明显优势, 但福建省人多地少, 缺乏优质的豆科牧草。饲养奶牛所需精饲料和优质牧草主要从我国北方或国外进口, 饲养成本很高。随着我国畜牧业快速发展, 对饲料资源的需求量也迅速增加。花生(Arachis hypogaea)是世界五大油料作物之一, 也是我国重要的油料作物和经济作物, 在我国油料生产中, 种植面积仅次于油菜(Brassica campestris)居第二位[1]。目前我国的花生种植面积已达512.5万hm2, 福建省的花生种植面积为10.99万h。花生种植除了能够收获花生仁外, 还有产量与之相当的花生秸秆。花生秸秆营养丰富, 含粗蛋白质(12.9%)、粗脂肪(2%)、碳水化合物(46.8%)、各种矿物质及维生素, 其粗蛋白质含量分别是豌豆秧和稻草的1.6和6倍, 而且质地松软, 适口性好, 畜禽都可以食用, 是一种优质的粗饲料来源。一般每hm2地产4500 kg花生就可得到4500 kg的花生秸秆, 用于饲喂家畜则相当于180 kg大麦的饲养效果, 是极具潜力的豆科牧草资源[5, 6, 7, 8, 9, 10] , 但是, 目前花生秸秆除少数利用外, 绝大多数都以焚烧的形式浪费了, 未得到充分的利用[11]。
牧草的饲用价值是评价牧草品质的重要指标, 它包括牧草的营养成分、降解率和有效降解率等指标[12]。瘤胃尼龙袋法是评定饲料降解率的有效方法, 继冯仰廉和澳斯柯夫[13]首次采用瘤胃尼龙袋法测定精饲料的降解率之后, 动物营养学者相继对一些常规饲料和非常规饲料进行了研究[14]。目前, 利用不同反刍动物对蛋白质含量较低的青粗饲料进行营养价值评定已有大量报道[15, 16], 但有关奶牛对福建当地花生秸秆降解特性的研究尚未见报道。本试验采用瘤胃尼龙袋法进行花生秸秆的干物质(dry matter, DM)、中性洗涤纤维(neutral detergent fiber, NDF)、酸性洗涤纤维(acid detergent fiber, ADF)和粗蛋白(crude protein, CP)在奶牛瘤胃中的降解率及其动态变化研究, 探讨花生秸秆主要营养成分在奶牛瘤胃内的降解规律, 为花生秸秆品质的评价和资源的合理利用提供依据。
试验选用3只体重相近(500 kg左右), 生育3胎次, 年龄5岁, 健康状态良好的装有永久性瘤胃瘘管的中国荷斯坦奶牛。采用尼龙袋法评定TI、TJ、汕G和泉花7号4种花生秸秆(其中汕G是辐射剂量为250 Kr的汕油71后代, TJ是辐射剂量为250 Kr的闽科TA后代, TI是辐射剂量为100 Kr的白皮1号后代, 泉花7号为福建省当家品种)的营养物质在瘤胃内6, 12, 24, 36, 48, 72 h的动态降解率和瘤胃有效降解率。试验所用的花生秸秆样品采自福建省农业科学院农业生态研究所福州埔党基地, 于花生收获时取花生地上部, 全株置65℃烘箱中烘至恒重, 烘干后用粉碎机粉碎, 一部分过8目孔筛(2 mm)用于瘤胃降解试验, 一部分过40目孔筛(0.45 mm)做饲料常规营养分析(表1)。试验期奶牛于每天8:30和16:30分2次进行饲喂, 自由饮水, 预饲期为15 d。试验日粮由混合精料和狼尾草(Pennisetum alopecuroides)组成, 精粗比为5∶ 5, 日粮组成及营养水平见表2。试验于2013年在福建省农业科学院畜牧兽医研究所埔党养殖基地进行。
| 表1 花生秸秆的营养成分 Table 1 Chemical composition of peanut straw % |
| 表2 日粮组成与营养水平 Table 2 Dietary composition and nutrient level |
选用尼龙袋孔径52 μ m, 袋子大小为8 cm× 12 cm, 袋的三边以细尼龙绳作双线缝合, 准确称取5 g过2 mm筛的样品装入尼龙袋中, 每头奶牛每个待测点样品做了2个平行样品, 袋口用2个尼龙扎带扎紧, 每2个平行样固定在一段塑料管的细缝中并用尼龙扎带固定。各个样品装入已知质量尼龙袋中, 并按规定时间在瘤胃中培养6, 12, 24, 36, 48, 72 h, 到规定的培养时间时, 快速取出尼龙袋, 立即置入冷水中, 终止发酵。取出的袋子用自来水冲洗至无残留物, 液体不再浑浊为止, 然后放入65℃, 烘干后称量。最后将残渣用微量粉碎机粉碎, 过0.45 mm筛后测定干物质(DM)、中性洗涤纤维(NDF)、酸性洗涤纤维(ADF)和粗蛋白(CP)的含量。DM、CP、NDF和ADF含量测定采用杨胜主编的《饲料分析及饲料质量检测技术》[17]中提出的方法。
被测成分某时间点的降解率(%)={[降解前袋内的含量(g)-降解后袋内的含量(g)]/降解前袋内的含量(g)}× 100
有效降解率计算公式分别为:

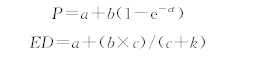
式中, P=a+b(1-e-ct)根据Φ rskov和Mcdonald[18]提出的指数模型, 其中P为t时间点时的降解率, a为快速降解部分, b为慢速降解部分, a+b为潜在降解部分, c为b的降解速率。k为瘤胃食糜的外流速度, 在本试验中k值为0.0253, ED为该饲料的有效降解率。
采用Excel和SAS 8.1分析软件进行试验数据统计分析。采用SAS 8.1软件包中的非线性指数模型来确定指数模型中的a, b和c。
在0~72 h期间, 随着时间的不断延长, 在奶牛瘤胃里4种花生秸秆的干物质降解率均有所升高, 在24 h时的DM降解率最高的是汕G和TJ, 分别为50.12%和50.64%(表3), 它们在72 h时的降解率分别为66.07%和65.44%, 24~72 h的降解率趋于缓慢, 表明瘤胃微生物对汕G和TJ秸秆的可消化部分降解较快, 24 h内就可以降解大部分的DM, 汕G和TJ秸秆的有效降解率分别为49.37%和47.09%, 其中汕G的有效降解率显著高于泉花7号。快速降解部分最高为汕G, 高于TJ但差异不显著, 极显著高于TI和泉花7号。TI和泉花7号24 h时的DM降解率分别为46.32%和43.73%, 72 h时的降解率分别为61.60%和64.69%, 有效降解率较低, 不利于动物利用。花生秸秆在36 h之后的DM降解率变化幅度不大, 说明在奶牛瘤胃中已基本达到降解极限。
| 表3 4种花生秸秆瘤胃中DM降解特性 Table 3 Dry matter degradation characteristics of four types of peanut straw % |
4种花生秸秆在奶牛瘤胃中粗蛋白降解率随着时间的延长呈逐渐提高趋势。在相同的时间段汕G的粗蛋白降解率分别高于TI、TJ和泉花7号, 24 h时汕G的 CP降解率已达61.09% (表4), 显著高于TI、TJ和泉花7号, 72 h的降解率为73.16%, 说明其可消化部分降解较快, 有利于动物对蛋白质的吸收利用。泉花7号24 h时CP降解率仅为33.50%, 显著低于其他3个品种。不同花生秸秆36 h之后CP降解率变化幅度趋于平缓, 已基本达到降解极限。因此, 可推断在24 h时是花生秸秆粗蛋白在奶牛瘤胃里停留降解的最佳时间段。从表4又可看出快速降解部分最高的为汕G, 其次为泉花7号。在有效降解率方面, 汕G有效降解率最高达59.20%, 极显著高于TI、TJ和泉花7号。
| 表4 4种花生秸秆瘤胃中CP降解特性 Table 4 Crude protein degradation characteristics of four types of peanut straw % |
4种花生秸秆的NDF降解率差异较大(表5), 其中泉花7号降解率最高, 到72 h时NDF降解率达49.87%, 分别比TI高出29.9%, 差异显著; 其次为汕G, 达46.92%, 与泉花7号差异不显著, 表明动物对泉花7号秸秆NDF的利用较好。在0~12 h TI、汕G 秸秆的降解率变化不大, 出现很明显的降解延滞期, 不利于动物对NDF的利用。从表5中也可看出, 4种花生秸秆36 h之后NDF降解率变化幅度趋于平缓, 表明已基本达到降解极限。在有效降解率方面, 汕G的有效降解率最高, 分别高出TI、TJ和泉花7号2.4%, 17.3%和14.8%, 与TI差异显著, 与TJ和泉花7号差异极显著。
| 表5 4种花生秸秆瘤胃中NDF降解特性 Table 5 Neutral detergent fiber degradation characteristics of four types of peanut straw % |
4种花生秸秆ADF降解率见表6, 与NDF的降解特性类似。其中泉花7号降解率最高, 到72 h时ADF消失率达52.54%, 分别比TI高出33.8%, 差异极显著; 其次为汕G, 达47.11%, 与泉花7号差异不显著, 表明动物对泉花7号NDF的利用较好, 其次为汕G。4种花生秸秆ADF降解率在前12 h变化较小, 12 h后降解率明显提高, 至48 h后趋于平缓, 表明已基本达到降解极限。
| 表6 4种花生秸秆瘤胃中ADF降解特性 Table 6 Acid detergent fiber degradation characteristics of four types of peanut straw % |
4种花生秸秆的干物质和粗蛋白在瘤胃中的降解率随着秸秆在瘤胃中的培养时间而发生变化, 随着在瘤胃中停留时间的延长而升高。汕G花生秸秆在各个消化时段的DM、CP降解率及有效降解率均高于其他3个品种(TI、TJ和泉花7号), 说明奶牛瘤胃内微生物能够更好促进汕G品种秸秆中粗蛋白养分的消化降解。
NDF与ADF瘤胃降解率的大小反映了粗饲料消化的难易程度。本试验中4个花生品种(系)的NDF与ADF降解率较接近, 各种花生品种不管NDF和ADF的含量高低均表现出6~12 h存在一个消化延滞期, 这是因为NDF和ADF都是植物细胞壁成分, 包括纤维素、半纤维素和木质素等物质, 瘤胃微生物必须首先紧密附着在消化底物上才能进行消化, 因此NDF和ADF在瘤胃微生物消化前出现了一个延滞期。结果表明在奶牛瘤胃内随着时间的延长, 花生秸秆中各营养成分的降解率也随之升高, 24 h是花生草粉在奶牛瘤胃里最佳的停留降解时间, 48 h 之后降解率趋于平缓, 瘤胃内已基本处于降解极限。
本试验研究中, 4种花生秸秆DM在瘤胃中的有效降解率为44.86%~49.87%, CP的为45.73%~59.20%, NDF的为31.92%~7.45%, ADF的为29.42%~36.57%, 这与秦雯霄等[5]的研究结果相近。与其他研究结果相比[4, 12], 本研究中的花生秸秆各营养成分的降解率虽不及优质的苜蓿, 但与其他的粗饲料原料相比具有明显的优势。不同品种花生秸秆以及同一品种花生不同生长期秸秆都有不同的营养成分组成, 因此, 筛选优质的品种、掌握好合适的刈割时期均可以提高花生秸秆的瘤胃降解率, 提高反刍动物对花生秸秆的利用率, 增强花生秸秆的饲用价值, 从而提高家畜养殖的生产效率。
The authors have declared that no competing interests exist.
| [1] |
|
| [2] |
|
| [3] |
|
| [4] |
|
| [5] |
|
| [6] |
|
| [7] |
|
| [8] |
|
| [9] |
|
| [10] |
|
| [11] |
|
| [12] |
|
| [13] |
|
| [14] |
|
| [15] |
|
| [16] |
|
| [17] |
|
| [18] |
|
| [1] |
|
| [2] |
|
| [3] |
|
| [4] |
|
| [5] |
|
| [6] |
|
| [7] |
|
| [8] |
|
| [9] |
|
| [10] |
|
| [11] |
|
| [12] |
|
| [13] |
|
| [14] |
|
| [15] |
|
| [16] |
|
| [17] |
|

