作者简介:韩文娇(1990-),女,重庆万州人,在读硕士。E-mail: hanhan1028@swu.edu.cn
以狗牙根当年生扦插苗为试验材料,采用盆栽控制实验,设置对照组(CK)、表土水淹组(SF)和全淹组(TF),研究水淹对狗牙根光合、生长、生物量和营养元素含量的影响。结果显示,1)与CK相比,SF组的狗牙根净光合速率、气孔导度、蒸腾速率和气孔限制值均显著降低,胞间CO2浓度显著增加,但水分利用效率与CK组差异不显著。2)SF组分枝数、叶片数、根生物量、叶生物量和根冠比均显著低于CK组,而株高、基径、茎生物量和总生物量与CK组差异不显著;TF组除根冠比与CK组无显著差异外,株高、基径、分枝数、叶片数、根生物量、茎生物量和总生物量均显著低于CK组。3)与CK组相比,SF和TF组根的N、P、K、Fe、Mn含量均呈上升趋势,Cu含量显著降低;叶片中,SF组P、K、Cu含量显著下降,Fe、Mn含量显著升高。研究表明,水淹显著影响了狗牙根光合、生长及营养元素含量。狗牙根通过适度降低叶片P、K、Cu含量及升高Fe、Mn含量促进狗牙根叶片净光合速率的降低。然而狗牙根可通过提高对N、P、K等营养元素的吸收,促进其生长,维持较高的净光合速率,以有效应对水淹环境;其次,全淹环境中,狗牙根叶片衰老、凋落,叶片中N、P等营养元素可直接进入水体,存在增加水体富营养化的潜在风险,因此,应加强对三峡库区消落带狗牙根植被的刈割收获管理,以尽可能减少由此引起的二次污染。
A flooding simulation experiment was conducted to detect the effects of flooding on photosynthesis, growth and nutrient concentrations of Cynodon dactylon. Two flooding-depth levels, surface flooding (SF) and total flooding (TF) were imposed, and compared with control (CK). Net photosynthetic rate ( Pn), stomatal conductance ( Gs), transpiration rate ( Tr) and stomatal limitation ( Ls) of C. dactylon under SF were significantly lower than those for the CK treatment, while the intercellular CO2 concentration ( Ci) was significantly higher. However, water use efficiency (WUE) did not differ significantly between SF and the CK treatment. Under SF, root length, root surface, root volume, branch number, leaf number, root biomass, leaf biomass and root∶shoot ratio were all significantly reduced, whereas plant height, base diameter, stem biomass and total biomass did not differ significantly between SF and CK. Under TF, root length, root surface, root volume, plant height, branch number, leaf number, root biomass, base diameter, stem biomass and total biomass were also significantly lower than those of CK. Compared to CK, root nutrient concentrations (N, P, K, Fe, and Mn) of C. dactylon under SF and TF were increased, whereas Cu content was significantly decreased. Leaf concentrations of Fe and Mn under SF were significantly increased, but the contents of P, K and Cu under SF were significantly decreased, compared to CK. Thus flooding resulted in significant reductions in photosynthesis, growth, and uptake of nutrients of C. dactylon. The reduction of leaf concentrations of P, K, and Cu and the rise in leaf concentrations of Fe, and Mn could account for the reduction in Pn. However, C. dactylon was able to improve the absorption of N, P, and K, promote stem elongation and maintain a high net photosynthetic rate to cope with flooding. Additionally, when flooded, leaf N and P could potentially be directly released into the water on leaf fall, which could increase the risk of eutrophication in waterways.
水淹是环境胁迫的一种重要表现形式, 可干扰植物生长[1]、光合作用[2, 3]、矿质元素的吸收和运输[4, 5]、营养分配格局[6, 7]等生理过程, 长期水淹甚至还可导致某些耐淹能力不强的植物死亡[8]。在以往研究中, 许多学者已从光合生理、矿质元素吸收、活性氧代谢等多个不同角度研究植物的耐淹特性, 发现矿质元素的吸收作为植物重要的生理过程之一, 在一定程度上可揭示植物种的适应特征, 并能反映植物与环境间的紧密关系[9]。然而, 水淹后, 植物根系损伤可导致矿质元素吸收及运输能力降低, 并通过植物营养元素含量的变化格局进一步影响光合作用过程以及植株的生长[6, 10]。然而, 截至目前, 已有的大量研究均是从较为单一的角度出发, 缺乏将光合、生长、生物量和营养元素含量综合集成的系统性研究。
狗牙根(Cynodon dactylon)属禾本科多年生草本植物, 广泛分布于三峡库区消落带。目前, 多数研究表明, 狗牙根可通过改变形态[11, 12, 13]、提高抗氧化酶活性[14, 15]等方式适应水淹环境, 并且在水淹胁迫去除后, 能够快速地恢复光合与生长能力[16, 17]。此外, 李强等[18]对狗牙根的研究也发现, 狗牙根水淹出露后, 狗牙根矿质元素发生显著变化, 但有关水淹胁迫条件下狗牙根营养元素含量的变化与光合、生长和生物量之间的关系却报道较少。因此, 本研究拟通过室内模拟实验, 分析不同水淹条件下, 狗牙根光合、生长、生物量及营养元素含量之间的关系, 以期为三峡库区消落带植被修复重建提供参考。
2014年5月选取重庆北碚区嘉陵江边自然生长的狗牙根, 剪成长为10 cm的茎段扦插于每盆装有2 kg土壤的盆钵中(盆中央内径17 cm, 盆高20 cm), 每盆3株, 共24盆(72株), 盆内供试土壤营养元素特征为pH 8.17, 有机质34.73 g/kg, 全氮0.74 g/kg, 全磷0.79 g/kg, 全钾12.17 g/kg, 有效磷2.47 mg/kg, 速效钾137.63 mg/kg。所有盆栽实验均置于西南大学三峡库区生态环境教育部重点实验室实验基地透明大棚下(海拔249 m), 进行相同水分、光照等管理, 2014年6月5日正式开展实验, 此时株高(31.08± 1.32) cm。
将实验用苗分为3组, 即对照组(control, CK), 表土水淹组(soil-surface flooding, SF)和全淹组(total flooding, TF), 每组各8盆, 共24盆。对照组(CK), 土壤含水量保持在田间持水量的60%~63%[19]; 表土水淹组(SF), 将实验用苗放入直径68 cm, 高22 cm的塑料大盆中, 然后向盆内注水, 直至水淹超过土壤表面5 cm; 全淹组(TF), 将试验盆钵放入专用水池中, 并将池水保持没过狗牙根植株顶端1 m[20]。此外, 为尽可能模拟消落带土壤水分的动态变化特征, 保证淹水过程中适当的氧气供应, 每隔7 d换一次水。在三峡库区, 生长于消落带下部的狗牙根经常受到夏季洪汛的长时段淹没, 根据长江水位监测数据(2014年6-7月水位介于146~153 m)显示其连续淹没时间可长达48 d。因此, 本实验设定48 d后, 对每棵植株的株高、基径、叶片数和分枝数进行测定, 随后, 每处理随机选取4盆用于光合参数及生物量指标的测定, 另外4盆用于狗牙根营养元素含量指标的测定。
实验结束时, 采用Li-6400便携式光合系统(Li-Cor 6400, Li-Cor Inc, USA), 于晴天9:00-12:00, 对狗牙根的净光合速率(net photosynthetic rate, Pn)、气孔导度(stomatal conductance, Gs)、胞间CO2浓度(intercellular CO2 concentration, Ci)与蒸腾速率(transpiration rate, Tr)等指标进行测定, 并计算水分利用效率(water use efficiency, WUE=Pn/Tr)和气孔限制值(stomata limitation, Ls=1-Ci/Ca, Ca为环境中CO2浓度)[21]。光合指标测定部位选取健康成熟的功能叶片中部[16](从植株顶端往下数第3~4片叶), 每处理随机选取4盆, 每盆测定2株, 共8株。在预备试验的基础上确定光合有效辐射(PAR):1200 μ mol/(m2· s), 叶室温度:25℃, CO2浓度:340~355 μ mol/mol, 光源:红蓝光, 叶室:2 cm× 3 cm。同时, 标定放入叶室的狗牙根叶片区域, 测定结束后立即放入冰盒带回实验室, 使用叶面积分析仪扫描其测定部位的叶面积, 并通过换算得出各处理的光合参数。
选取用于测定光合参数的植物叶片, 采用浸提法[22]测定叶绿素含量。使用岛津5220分光光度计(UV-5220, Shimadzu, 日本)分别对叶绿素a(chlorophyll a, Chla)、叶绿素b(chlorophyll b, Chlb)、类胡萝卜素(carotene, Car)的吸光值A663、A645和A470进行测定, 并参照文献[22]计算Chla、Chlb、Car以及总叶绿素(Chls)含量。
水淹胁迫结束后, 分别用卷尺和游标卡尺对每棵植株的株高、基径进行测定。将植物根、茎、叶分开取样。植物洗净后, 采用根系分析仪(WinRHIZO, LC4800-II LA2400)分析根系的总根长、总表面积和总体积, 然后将根、茎、叶分别放置60℃烘箱中烘干至恒重, 测定生物量, 并计算根冠比, 每处理重复测定4盆。
分别取烘干的各处理的根、茎、叶样, 粉碎、过筛, 采用微波消解仪(SpeedWave MWS-4, Berghof, 德国)消解后测定各营养元素含量。全N采用Vario EL cube CHNOS元素分析仪(Elementar, 德国)进行测定; P、K、Mn、Fe、Mg、Cu、Ca等元素则采用电感耦合等离子体质谱(ICP-OSE)(ICAP6300, Thermo Fisher, USA)法测定。每处理重复测定4盆。
将水分作为独立因素, 采用SPSS 19.0进行单因素方差分析(One-way ANOVA), 以揭示不同水分处理对狗牙根光合生理、生长与生物量及营养元素含量的影响, 并使用Tukey’ s检验法检验每个指标在不同处理组(P< 0.05)的差异显著性。采用 Pearson相关性分析法考察的狗牙根各营养元素含量与生物量、光合指标之间的相关性。
与CK组相比, TF组株高、基径、分枝数、根生物量、茎生物量、总生物量、根长、根表面积和根体积均显著降低。SF组的株高、基径、茎生物量和总生物量与CK组相比均未达到显著差异, 但其根生物量、叶生物量、根长、根表面积和根体积均显著低于CK组(表1)。此外, TF组的狗牙根叶片在水淹7 d后已发黄凋落, 且在处理期间无新叶长出, 但经检查植株存活率为100%。与CK组相比, SF、TF组的根冠比均未达到显著性水平(表1)。
| 表1 不同处理组生长和生物量的变化 Table 1 Changes of growth and biomass under different water treatments during flooding stress |
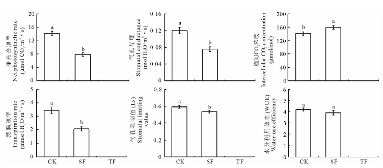
ANOVA分析结果显示, 水淹胁迫对狗牙根净光合速率(Pn)、气孔导度(Gs)、蒸腾速率(Tr)和气孔限制值(Ls)有显著影响(图1)。与CK组相比, SF组的净光合速率、气孔导度、蒸腾速率和气孔限制值分别显著降低了44%(P< 0.05)、37%(P< 0.05)、40%(P< 0.05)和10%(P< 0.05)。而与之相反, SF组的胞间CO2浓度(Ci)却比CK组显著增加13%(P< 0.05), 这与其水分利用效率(WUE)同CK组无显著差异形成鲜明对比。试验过程中, 由于TF组的叶片凋落, 未能获得光合参数(图1)。
由表2可知, 淹水48 d后, SF组的Chla、Chlb、Chls、Car相较于CK组而言, 分别均未达到显著差异(表1)。然而, 与CK组相比, SF组的Chla/Chlb却显著增加了9%(P< 0.05)。
| 表2 不同处理组光合色素的变化 Table 2 Changes of photosynthetic pigments under different treatments during flooding stress |
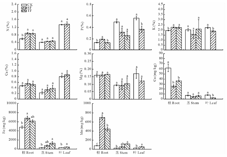
水淹48 d后, SF组叶片的P、K、Cu含量较对照而言均显著降低, 分别比CK组显著降低34%(P< 0.05)、16%(P< 0.05)和71%(P< 0.05)。然而, 与叶P、K、Cu 含量变化趋势不同, 狗牙根叶片的Fe、Mn含量却分别比CK组显著增加34%(P< 0.05)、115%(P< 0.05)。此外, 与CK组相比, 狗牙根叶片的N、Ca、Mg含量均未达到显著差异的水平(图2)。
在狗牙根茎中, 虽然各个处理组N、P、K、Ca、Mg、Cu这6种营养元素含量与CK相比分别均无显著差异, 但其Fe、Mn含量却随着水淹深度的增加而呈现增加的趋势, 且TF组茎中的Fe、Mn含量分别是CK组的4.7和5.1倍(图2)。
经历48 d水淹后的狗牙根根部, 其SF和TF组根系的N、P、K、Fe、Mn含量均高于CK组(其中, TF组的P、Fe含量与CK组相比均未达到显著性差异), 这与二者根系中的Cu含量均显著低于CK组形成鲜明对照。然而, SF、TF组的根部Ca、Mg营养元素含量与CK组相比分别均无显著差异, 且其根部Ca、Mg营养元素含量变化规律与茎、叶中的Ca、Mg含量变化规律类似(图2)。
就狗牙根平均每株的各营养元素总均值而言, SF组N元素含量比CK组显著增加15%(P< 0.05), 而TF组N元素含量与CK组无显著差异; SF、TF组P元素含量分别低于CK组26%(P< 0.05)、49%(P< 0.05), 与这两个处理组的Fe、Mn元素含量显著高于CK组形成反差(其中, SF组的Fe、Mn含量分别是CK组的1.5和6.4倍, TF组的Fe、Mn含量分别是CK组的2.1和6.6倍); 与P含量变化趋势类似, SF、TF组的Cu元素含量均低于CK组, 但TF组的Cu含量与CK相比未达到显著水平(P> 0.05)。此外, 与CK组相比, 3个处理组的K、Ca、Mg单株平均含量与CK组相比均无显著性差异存在(表3)。
| 表3 水淹胁迫下狗牙根植株营养元素含量变化 Table 3 Effects of different water regimes on nutrient contents of C. dactylon |
由表4可知, N元素与狗牙根总生物量和净光合速率均呈显著正相关; P与根长、总生物量、净光合速率、气孔导度呈极显著或显著正相关, 而与Fe、Mn均呈极显著负相关性; Fe与Mn呈极显著正相关, 而与根长、总生物量、净光合速率、气孔导度均呈极显著负相关性; Mn元素与根长、总生物量和气孔导度均呈极显著或显著负相关性; 根长与总生物量和气孔导度均呈极显著和显著正相关; 总生物量与净光合速率、气孔导度均呈极显著正相关; 净光合速率与气孔导度呈极显著正相关。
| 表4 狗牙根植株营养元素含量与生物量、光合相关性分析 Table 4 Correlations among soil nutrient contents, biomass and photosynthesis of C. dactylon |
水淹环境中, 缺氧是影响植物生长的主要因素之一。长时间的供氧不足将导致植物由有氧呼吸逐渐向无氧呼吸转变, 在此过程中植物体内ATP的合成以及光合产物的同化也将大量减少, 植物生长因此受到明显的影响[8, 23, 24]。然而, 面对不同程度的水淹胁迫, 不同的植物通常具有不同的适应策略, 一种是逃避策略, 植物通过促进其茎伸长, 加快植物出露于水面, 使其水面部分与空气接触, 获取充足的氧气以维持较强的光合作用, 从而缓解水淹对植物的损伤[8, 25]; 另一种是静默策略, 植物抑制地上部分生长, 减少养分消耗, 细胞通过代谢调节维持其完整的结构和功能, 从而使植物在有限的营养储备情况下存活时间更长[25, 26]。陈芳清等[12]对狗牙根的研究表明, 水淹使狗牙根茎快速伸长以加快与空气的接触, 从而获取生存所需的氧气。本研究中, SF组株高较CK组虽然未达到显著差异, 但平均增加4.7 cm(表1), 说明狗牙根营养繁殖体在表土水淹条件下也会加快茎的伸长, 以便与水面的空气尽快接触, 本研究与陈芳清等[12]的研究结果基本一致。可见, 在表土水淹条件下(SF组), 狗牙根通过维持或者促进茎偏上性伸长(表1), 从而增加水淹耐受力。王海锋等[11]指出, 全淹条件下, 狗牙根通过减少生物量增量以维持较高的存活率, 李秋华等[27]在此基础上进一步研究证实了全淹环境中, 狗牙根是通过减缓生长、损失部分生物量以增加对水淹的耐受性。本研究中, TF组株高和总生物量均显著降低, 说明狗牙根通过抑制地上部分生长, 进而提高狗牙根对全淹环境的适应性。
植物遭受水淹胁迫时, 生物量的降低与光合作用的下降密不可分。因此, 维持较高的光合作用有助于增加植株生命活性及抗逆能力。本研究中, SF组净光合速率(Pn)显著降低, 但仍具有较高的光合能力(净光合速率为对照组59%), Chen等[28]对宽叶独行菜(Lepidium latifolium)的研究发现, 水淹50 d后, 净光合速率为对照组的56~72%, 本研究SF组的净光合速率也在此范围内, 说明狗牙根具有较强的耐淹性。多数研究表明, 淹水初期, 净光合速率的下降与气孔关闭相关, 气孔的关闭必然会抑制植物对CO2的吸收, 进而导致净光合速率显著降低[5, 29, 30]。然而, 随着淹水时间的延长, 净光合速率的降低还可能与非气孔因素有关, 水淹条件下, 植物光合磷酸化、电子传递过程受阻, 核酮糖-1, 5-二磷酸羧化/加氧酶活性(RuBP)的降低均会对植物净光合速率造成显著影响[30]。Farquhar和Sharkey[31]曾提出, 通过胞间CO2浓度(Ci)和气孔限制值(Ls)可判定净光合速率的降低是由气孔因素还是非气孔因素所致, 认为若Pn、Ci均降低, 而Ls增加, 则说明气孔关闭是导致净光合速率降低的主要因素, 相反若Pn、Ls下降, Ci增加则说明净光合速率的降低主要是由非气孔因素所引起的。经48 d淹水后, 本试验的SF组净光合速率(Pn)和气孔限制值(Ls)均显著低于CK组, 而胞间CO2浓度(Ci)呈增长趋势, 由此说明水淹胁迫下狗牙根净光合速率的降低主要是由非气孔因素所致[32]。
光合色素是叶片光合作用的物质基础, 具有吸收、传递和转化光能的能力[33, 34]。在淹水胁迫下, 植物光合色素会因叶片的衰老和凋亡而发生改变[35]。然而, 本研究发现, SF组Chla、Chlb、Chls与CK组均无显著差异, 这与水淹条件下香蒲(Typha latifolia)[36]的研究结果相似, 这极有可能是处于表土水淹条件下的狗牙根通过维持较高的光合色素含量来促进光合能力的提高, 进而为其茎伸长提供足够的能量供给。作为光合吸收的辅助色素, Car还是一种抗氧化剂, 具有清除自由基和防止膜质过氧化的能力[37], 本试验中, SF组Car与CK组无明显差异, 说明狗牙根可在表土水淹条件下维持较高的Car含量, 降低水淹对植物的膜质损伤。与Chla、Chlb等变化趋势不同, 狗牙根Chla/Chlb是反映反应中心数量和捕光复合体的一项重要指标[38]。水淹后, SF组Chla/Chlb显著高于CK组, 表明狗牙根捕光色素降解速率大于反应中心色素, 可通过调节Chla/Chlb维持其较高的光合能力[39]。此外, CK和SF组Chls/Car均高于3∶ 1, 这同陈芳清等[40]的研究结果类似, 表明处于表土水淹条件下的狗牙根可通过提高叶绿素在光合色素中的比例, 确保有充足的反应中心色素, 进而提高光合能力[40]。
水淹胁迫下, 狗牙根根系作为直接受到胁迫的器官, 其水分及矿质元素吸收能力受到显著影响。此外, 由于水淹使狗牙根蒸腾速率显著降低, 阻碍了狗牙根根系矿质元素的向上运输[41]。有研究表明, 淹水导致植物N、P、K等矿质元素出现明显的亏缺, 如Ashraf和Rehman[42]对玉米(Zea mays)的研究发现, 水淹后, 玉米叶片N、P、K、Ca、Mg含量显著降低。而且植株叶片N、P、K降低将导致蛋白质、叶绿素等合成过程受阻, 光合相关酶活性显著降低, 最终导致光合作用下降[43]。然而, 在本试验中, SF和TF组根系N含量却显著增加, SF组叶片N含量与CK组无显著差异, 说明狗牙根根系具有较强的氮富集能力, 可将N优先供应于叶片, 以促进植株光合作用, 从而增加狗牙根对水淹胁迫的耐受性[9]。Rubio等[44]指出水淹条件下, 植物P含量的增加与土壤中P有效性的提高, 根系形态以及根系对P的亲和力增加等因素相关。本研究中, 狗牙根SF组根生物量显著低于CK组, 而P含量却显著升高, 说明水淹条件下狗牙根通过促进P的吸收补偿其根系生长所需的养分供应[44]。然而, 与根的P含量变化不同, SF组叶P含量显著低于CK组, 说明水淹阻碍了狗牙根P向上运输的能力。有研究表明, 叶片P含量的降低会干扰植物光合磷酸化、RuBP的再生等过程, 进而导致净光合速率降低[43], 因此, 水淹后, 狗牙根叶片P含量的降低可能进一步促进了净光合速率的下降。Akram等[45]指出, 干旱胁迫下, 狗牙根地上部分K元素的含量与对照组无显著差异, 而在本研究中, SF组叶片中K含量却显著降低, 这种截然不同的结果极有可能是由于不同的水分处理所引起的。由此也进一步说明, 水淹抑制了K向狗牙根地上部分的运输。K是植物体内重要的渗透调节物质, 且K+与气孔的开闭有十分密切的关系[46, 47]。水淹条件下狗牙根叶片细胞中较低的K+含量促进了气孔的关闭, 从而导致净光合速率下降, 据此我们可以推测, 狗牙根净光合速率下降的部分原因是由于K+含量降低导致狗牙根部分气孔关闭所引起的。与叶片K显著降低不同, SF和TF组根系却显著升高, 其原因可能是水淹导致土壤中K元素的有效性升高, 根系可通过被动吸收方式吸收, 其次, 蒸腾作用的降低抑制了K的向上运输, 从而导致K富集于狗牙根的根部。此外, 全淹TF组条件下, 狗牙根叶片发黄、凋落, 叶片中的N、P将直接释放到水体, 存在增加水体富营养化的潜在风险, 因此应当注重水淹前的及时收获利用。
Board[48]对大豆(Glycine max)的研究发现水淹使大豆叶片Ca含量显著下降。然而, 在本研究中, 狗牙根SF组和TF组根、茎、叶Ca含量却均呈现增长趋势, 其原因可能是狗牙根对水淹产生了适应机制, 通过提高对Ca2+的吸收, 促进狗牙根对逆境胁迫信号的传导, 增加抗氧化酶系统活性, 防止厌氧呼吸产生的活性氧(ROS)对细胞膜造成损伤[49]。Mg是构成叶绿素的中心色素, 参与类囊体膜的组装和基粒垛叠, 对叶绿体的形成及稳定具有重要作用[50, 51]。在光合呼吸过程中, Mg作为活化剂, 具有活化ATP酶、核酮糖-1, 5-二磷酸羧化酶(RuBP)、蛋白激酶等磷酸化酶和激酶的功能[52]。因此, 植物缺Mg可导致叶绿素不能合成, 植物光合作用下降[52, 53]。本研究中, 狗牙根SF组叶片Mg含量与CK组无显著差异, 与SF和CK组chls含量无显著差异的结果相一致, 说明水淹胁迫并未对Mg参与的叶绿素合成过程造成显著影响, 从而也进一步反映出狗牙根Pn的下降不是由叶绿素降低所致[43]。
淹水缺氧条件下土壤氧化还原降低, 土壤中 Fe3+、Mn4+转变为可溶性的Fe2+、M, 植物体内Fe、Mn含量显著升高。作为光合作用的组成成分, Fe、Mn参与植物光合传递氧化还原过程, 对维持光合反应中心和叶绿体结构等方面具有重要作用[54, 55]。然而, 植物Fe2+、Mn2+积累过量将导致气孔关闭, 自由基大量产生, 从而降低植物光合作用[6, 47]。狗牙根叶片和根系中, SF和TF组(TF组无叶片)Fe、Mn含量均显著增加, 说明水淹胁迫下狗牙根Fe、Mn含量的增加可能使气孔部分关闭, 自由基含量升高, 进而促进了净光合速率的降低。此外, 本研究中, 狗牙根根系在TF组的Fe、Mn含量分别低于SF组(图2), 其原因是随着水淹深度的增加, 土壤氧化还原电位进一步下降, Fe2+、Mn2+产生的毒害作用加剧了植物根系损伤, 因此, 导致TF组狗牙根根部的Fe、Mn含量低于SF组[9]。另一方面, 由于SF与TF组二者之间单株的Fe、Mn平均含量分别均无显著差异(表3), 说明TF组根部的Fe、Mn元素较SF组可能更多地迁移到了地上的茎部(图2)。此外, 本研究发现SF和TF组根、叶Cu含量均低于CK组, 其原因可能是水淹抑制了狗牙根Cu的吸收和转运能力。Cu是植物叶绿体中质体蓝素的组成成分, 在光合电子传递链中具有重要作用[56], 而Cu元素含量的降低可能使狗牙根PSII系统电子传递效能进一步下降, 光合能力降低[7]。
The authors have declared that no competing interests exist.
| [1] |
|
| [2] |
|
| [3] |
|
| [4] |
|
| [5] |
|
| [6] |
|
| [7] |
|
| [8] |
|
| [9] |
|
| [10] |
|
| [11] |
|
| [12] |
|
| [13] |
|
| [14] |
|
| [15] |
|
| [16] |
|
| [17] |
|
| [18] |
|
| [19] |
|
| [20] |
|
| [21] |
|
| [22] |
|
| [23] |
|
| [24] |
|
| [25] |
|
| [26] |
|
| [27] |
|
| [28] |
|
| [29] |
|
| [30] |
|
| [31] |
|
| [32] |
|
| [33] |
|
| [34] |
|
| [35] |
|
| [36] |
|
| [37] |
|
| [38] |
|
| [39] |
|
| [40] |
|
| [41] |
|
| [42] |
|
| [43] |
|
| [44] |
|
| [45] |
|
| [46] |
|
| [47] |
|
| [48] |
|
| [49] |
|
| [50] |
|
| [51] |
|
| [52] |
|
| [53] |
|
| [54] |
|
| [55] |
|
| [56] |
|
| [9] |
|
| [11] |
|
| [12] |
|
| [13] |
|
| [14] |
|
| [15] |
|
| [16] |
|
| [17] |
|
| [18] |
|
| [19] |
|
| [22] |
|
| [26] |
|
| [27] |
|
| [33] |
|
| [39] |
|
| [40] |
|
| [41] |
|
| [46] |
|
| [51] |
|
| [54] |
|

