作者简介:丁春发(1982-),男,甘肃天水人,在读硕士。E-mail:1260201460@qq.com
采用超声提取法从野生麻花秦艽中提取龙胆苦苷(gentiopicroside)和黄酮(flavonoids),用不同浓度龙胆苦苷和黄酮提取液处理受试植物紫花苜蓿、红三叶和白三叶,通过对受试植物种子萌发和幼苗生理特性[苗高、根长、鲜重以及超氧化物歧化酶(SOD)、过氧化物酶(POD)、过氧化氢酶(CAT)3种抗氧化酶活性]的研究,探讨了野生麻花秦艽的化感作用及抗氧化性。研究表明,野生麻花秦艽中龙胆苦苷和黄酮提取液对受体植物的种子萌发和幼苗生长大多表现出化感抑制作用,仅龙胆苦苷浓度为2.52 mg/mL时,对白三叶的苗高表现出促进生长的作用;随龙胆苦苷和黄酮提取液浓度增大,对3种抗氧化酶活性影响程度不同:3种受体植物幼苗体内的POD和CAT的活性分别在6.30和1.95 mg/mL时达到最大值,紫花苜蓿幼苗体内SOD活性在浓度分别为12.60和3.90 mg/mL时活性最大,分别为22.971和25.013 U/g,红三叶和白三叶幼苗体内的SOD活性在6.30和1.95 mg/mL时达到最大值,说明不同植物对化感胁迫的耐受能力不同,紫花苜蓿对化感胁迫的耐受能力强于红三叶和白三叶。
Gentiopicroside and flavonoids were extracted from feral Gentiana straminea using ultrasonic extraction methods and then the extracts were applied at different concentrations to three forages, Medicago sativa, Trifolium pratense and T. repens. The forages’ seed germination and seedling physiological properties (seedling height, root length, fresh weight and the activities of SOD, POD and CAT) were measured to analyze the allelopathy and antioxidation effects of feral G. straminea. In general, the gentiopicroside and flavonoid extracts showed allelopathic inhibitory effects on seed germination and seedling growth in the selected forages. The exception was gentiopicroside at 2.52 mg/mL, which increased seedling height in T. repens. The effects of gentiopicroside and flavonoid extracts on the activity of anti-oxidative enzymes varied with extract concentration. Specifically, both POD and CAT activities in seedlings of the three forages peaked when the concentrations of gentiopicroside and flavonoid extracts were 6.30 and 1.95 mg/mL respectively. When the concentrations of gentiopicroside and flavonoid extracts were 12.60 and 3.90 mg/mL respectively, SOD activity in M. sativa seedlings reached their maximums (22.971 and 25.013 U/g respectively), while in T. pretense and T. repens these activities peaked when the concentrations of gentiopicroside and flavonoid extracts were 6.30 and 1.95 mg/mL respectively. In conclusion, the sampled plants differ in their tolerance to allelopathic stress and M. sativa shows a greater tolerance than either T. pretense and T. repens.
中药秦艽是我国重要的常用中药材, 始载于《神农本草经》, 麻花秦艽(Gentiana straminea)是其主要原植物之一, 属龙胆科(Gentianaceae)龙胆属(Gentiana)秦艽组(Sect.Cruciata Gaudin)多年生草本植物, 其根中含有以龙胆苦苷为主的多种环烯醚萜苷类化合物, 是主要的药用有效成分且具有多方面的药理作用[1]。由于秦艽具有很高的药用价值, 临床用药大量增加, 经多年的过度采挖, 造成秦艽野生资源的严重匮乏。目前, 我国40%的药材供应主要依靠栽培品种, 在栽培的药用植物中, 根类药材占70%左右, 生产中绝大多数根类药材栽培会产生连作障碍, 已成为制约我国中药材可持续发展的重大问题[2]; 土壤质量退化和土壤污染也是造成药用植物栽培过程中质量和产量下降的一种重要因素, 连作土壤的细菌群落结构多样性急剧下降, 微生物种类减少, 病原菌增多, 严重影响到微生态环境的稳定性[3]。
研究发现, 药用植物连作障碍与其产生的化感物质密切相关, 药用植物化感作用是其发生连作障碍的重要因素之一[4], 植物化感作用是一种自然现象, 是植物对环境的一种适应和防御机制, 是植物与周围的生物群落通过次生代谢物质为媒介建立的稳固化学作用关系[5, 6]。大多数药用植物可以向环境中释放次生代谢产物即化感物质对周围植物和自身起作用[7], 龙胆苦苷和黄酮不仅是麻花秦艽中主要的化感物质[8], 而且是中草药中主要活性成分和抗氧化物[9]; 豆科牧草轮作能使土壤微生物群落复杂程度显著增加, 大幅度改良土壤质量, 且改良效果随豆科植物品种不同、连作年限长短而存在差异[10, 11, 12, 13]。对于麻花秦艽的研究前人已在其药用成分、药理与栽培方面做了大量工作, 但其主要的次生产物龙胆苦苷和黄酮的化感作用及其抗氧化性还鲜有报道。本研究以麻花秦艽根、花为原料, 利用超声提取法对龙胆苦苷和黄酮进行提取, 通过龙胆苦苷和黄酮对3种豆科牧草红三叶(Trifolium pratense)、白三叶(Trifolium repens)和紫花苜蓿(Medicago sativa)种子发芽及幼苗的生理特性影响揭示其化感作用及其抗氧化性, 从而建立麻花秦艽和豆科牧草之间的轮作体系, 缓解或解除麻花秦艽栽培过程中的连作障碍, 为麻花秦艽的人工栽培和充分利用提供一定的理论基础。
野生麻花秦艽采集于天祝藏族自治县金强河封育多年的天然草地, 其位于甘肃省中部, 祁连山东端, 地处青藏、黄土、内蒙古三大高原交汇过渡地段, 海拔2500~3200 m, 该地区气候湿润, 年平均气温-1.0~1.3 ℃, 年降水量265~600 mm, 全年日照2500~2700 h, 气候属典型的大陆性高原季风气候, 植被生长季90~145 d。
麻花秦艽属于多年生的药用植物, 秋季时节其花和叶成熟, 2015年9月采集生长期达3年以上且根、叶、花完整的植株, 洗净, 将其根、叶、花分离后自然风干, 粉碎机粉碎过0.45 mm筛后贮藏备用。
受体植物:紫花苜蓿(阿尔冈金号)、白三叶(百事)及红三叶(Marathon)都是豆科植物, 属优良牧草, 三者在甘肃境内都有广泛分布, 其种子购于甘肃省农业科学院。
1.2.1 野生麻花秦艽龙胆苦苷和黄酮提取液的制备
参照康辉等[14]的方法:称取干燥的麻花秦艽根粉末5 g, 按照料液比1∶ 30加入150 mL蒸馏水, 利用超声提取法, 在40 ℃下提取40 min, 然后用离心机在3500 r/min离心5 min, 合并上清液并用蒸馏水定容至150 mL, 吸取少量在273 nm处测定其吸光值, 代入标准曲线方程, 求得龙胆苦苷提取液的浓度为12.60 mg/mL, 按不同倍数稀释得到6.30和2.52 mg/mL的龙胆苦苷稀释液, 备用。
参照康辉等[14]和杜芳艳等[15]的方法:称取干燥的麻花秦艽花粉末5 g, 按照料液比1∶ 40加入200 mL 60%乙醇, 在最大超声频率下, 于65 ℃超声处理20 min后, 冷却过滤, 滤渣重复提取两次, 合并滤液, 用旋转蒸发仪减压浓缩至50 mL时, 按1∶ 1加入石油醚除去脂溶性物质和叶绿素等, 回收石油醚, 下层粗提液转入150 mL三角瓶中, 用蒸馏水定容至刻度, 吸取少量在510 nm处测定其吸光值, 代入标准曲线方程, 求得黄酮提取液的浓度为3.90 mg/mL, 按不同倍数稀释得到1.95 和0.78 mg/mL的黄酮稀释液, 备用。
1.2.2 种子发芽和幼苗生长试验
采用培养皿滤纸法[16]进行种子发芽培养, 实验于2015年12月在甘肃农业大学生命科学技术学院植物生理实验室进行, 挑选饱满、均匀、大小一致的红三叶、白三叶和紫花苜蓿种子, 用0.1%HgCl2 溶液消毒3~5 min, 无菌蒸馏水对消毒后的种子反复多次冲洗后均匀置于预先处理过的培养皿中, 每皿50粒, 并设置龙胆苦苷(2.52、6.30、12.60 mg/mL)和黄酮(0.78、1.95、3.90 mg/mL)各3个不同浓度, 对照用蒸馏水处理, 每处理设3次重复, 每个培养皿分别加入不同浓度麻花秦艽龙胆苦苷或者黄酮提取液5 mL, 对照加入5 mL无菌蒸馏水。分别置于(21± 2)、(20± 5)、(28± 2) ℃恒温光照培养箱内, 在600 μ mol/(m2· s)光照强度下每天光照12 h, 相对湿度60%~80%, 每天统计发芽的种子数。
参照李伟丽等[17]的方法进行幼苗生长试验, 略有改动:于2016年1月在甘肃农业大学生命科学技术学院植物生理实验室进行, 用15 cm× 13 cm 的营养钵进行幼苗培养, 并设置龙胆苦苷(2.52、6.30、12.60 mg/mL)和黄酮(0.78、1.95、3.90 mg/mL)各3个不同浓度, 对照用蒸馏水处理, 每种处理设3次重复。营养钵中加入500 g已灭菌的蛭石。播种前种子用0.1%HgCl2溶液消毒3~5 min, 蒸馏水冲洗3~5次, 然后将红三叶、白三叶和紫花苜蓿种子直接播在消毒蛭石中, 每钵50粒。播种后于植物生长室中培养, 生长室的温度分别为(21± 2)、(20± 5)、(28± 2) ℃, 在600 μ mol/(m2· s)光照强度下每天光照12 h, 相对湿度60%~80%, 待幼苗培养至第7天时, 然后每隔两天用不同浓度的龙胆苦苷或黄酮提取液10 mL处理(幼苗培养期间, 于下一次加入提取液之前用适量蒸馏水处理幼苗, 自然渗出后再加入提取液, 以弱化由于提取液积累造成的浓度误差), 对照每隔两天加入10 mL蒸馏水, 幼苗培养至30 d时对其生长指标和生理指标进行测定。
1.3.1 发芽指标及化感指数的测定
种子萌发处理后以胚根长为种子长的2倍, 胚芽与种子等长作为发芽标准, 于每天早上8:00统计3种受体植物发芽的种子数, 试验结束的标记是以连续3 d不再有受体植物种子发芽, 计算种子最终发芽率(germination rate, GR)、发芽势(germination energy, GE)和发芽指数(germination index, GI), 每种处理设3次重复, 取其平均值。
GR=[7 d发芽种子数/测试种子总数]× 100%[18]
GE=[前3 d发芽种子数/种子总数]× 100%[18, 19]
GI=∑ (Gt/Dt)[20]
式中:Dt为日发芽种子数; Gt为与Dt相应的每天的发芽种子数。
化感效应指数RI=1-C/T (T≥ C), 或者RI=C/T-1(T< C)
式中:C为对照发芽率; T为处理发芽率。RI表示化感作用强度大小, 正值表示促进, 负值表示抑制, 绝对值大小反映化感作用的强弱[21]。
1.3.2 生长指标的测定
株高和根长的测定:直接用尺子测量不同浓度龙胆苦苷和黄酮处理下的苜蓿、红三叶和白三叶幼苗的株高和主根长。每种处理取样10株, 取其平均值, 每组设3次重复。
鲜重的测量:将不同浓度龙胆苦苷和黄酮处理下的紫花苜蓿、红三叶和白三叶幼苗从营养钵中小心取出, 用水冲洗掉其根部附着的蛭石, 并用吸水纸吸干其表面水珠, 分别于天平上称重。每个处理取样10株, 取其平均值, 每组设3次重复。
1.3.3 生理指标的测定
抗氧化酶酶液的提取参照Zhu等[22]和An等[23]的方法, 超氧化物歧化酶(SOD)活性测定参照Huang等[24]的方法; 过氧化物酶(POD)活性测定参照Shi等[25]的方法; 过氧化氢酶(CAT)活性测定参照Aebi[26]的方法, 每组设3次重复, 取其平均值。
各项试验重复3次, 所得数据用Excel 2010软件求得平均值和标准误; 采用SPSS软件对不同处理进行单因素方差分析, 采用Duncan检验法进行多重比较。
表1、表2显示:不同浓度的龙胆苦苷和黄酮提取液对白三叶、红三叶和紫花苜蓿种子的发芽都有抑制作用, 且抑制作用与浓度大致呈正比关系, 与对照差异显著(P< 0.05)。从总体上看, 同浓度下龙胆苦苷提取液对红三叶发芽率、发芽势和发芽指数的化感效应指数都要小于白三叶和紫花苜蓿, 说明龙胆苦苷对紫花苜蓿和白三叶的化感抑制作用要强于红三叶。相比较而言, 黄酮提取液浓度为0.78 mg/mL时对红三叶发芽率、发芽势和发芽指数的化感指数大于紫花苜蓿和白三叶, 对紫花苜蓿和白三叶的化感抑制作用弱于红三叶, 而浓度为1.95和3.90 mg/mL时, 对紫花苜蓿和白三叶发芽率、发芽势和发芽指数的化感指数大于红三叶, 说明对紫花苜蓿和白三叶的化感抑制作用强于红三叶。
| 表1 野生麻花秦艽龙胆苦苷提取液对红三叶、紫花苜蓿和白三叶种子发芽的影响 Table 1 Effects of different concentration gentiopicroside from feral G. straminea on seed germination of T. pratense, M. sativa and T. repens |
| 表2 野生麻花秦艽黄酮提取液对红三叶、紫花苜蓿和白三叶种子发芽的影响 Table 2 Effects of different concentration flavonoids from feral G. straminea on seed germination of T. pratense, M. sativa and T. repens |
不同浓度的龙胆苦苷和黄酮提取液对紫花苜蓿、红三叶及白三叶幼苗生长均表现出化感作用(或促进或抑制)。龙胆苦苷浓度为2.52 mg/mL时(图1~3), 白三叶的苗高长于对照, 说明对白三叶的苗高表现出促进生长的作用, 对其根长和鲜重表现出抑制作用。龙胆苦苷浓度为2.52和6.30 mg/mL时, 对3种牧草鲜重影响差异都不显著, 此浓度下与浓度为12.60 mg/mL时相比, 差异显著; 三者与对照相比都差异显著(P< 0.05)。同样, 黄酮浓度为0.78和1.95 mg/mL时, 对3种受体牧草鲜重影响差异都不显著, 此浓度下与浓度为3.90 mg/mL时相比, 红三叶和白三叶鲜重差异显著, 紫花苜蓿鲜重差异不显著, 三者与对照相比差异都显著(P< 0.05)。
| 图2 不同浓度野生麻花秦艽龙胆苦苷和黄铜提取液对植物幼苗根长的影响Fig.2 Affects of different concentration gentiopicroside and flavonoids from feral G. straminea on the plant seedlings root length |
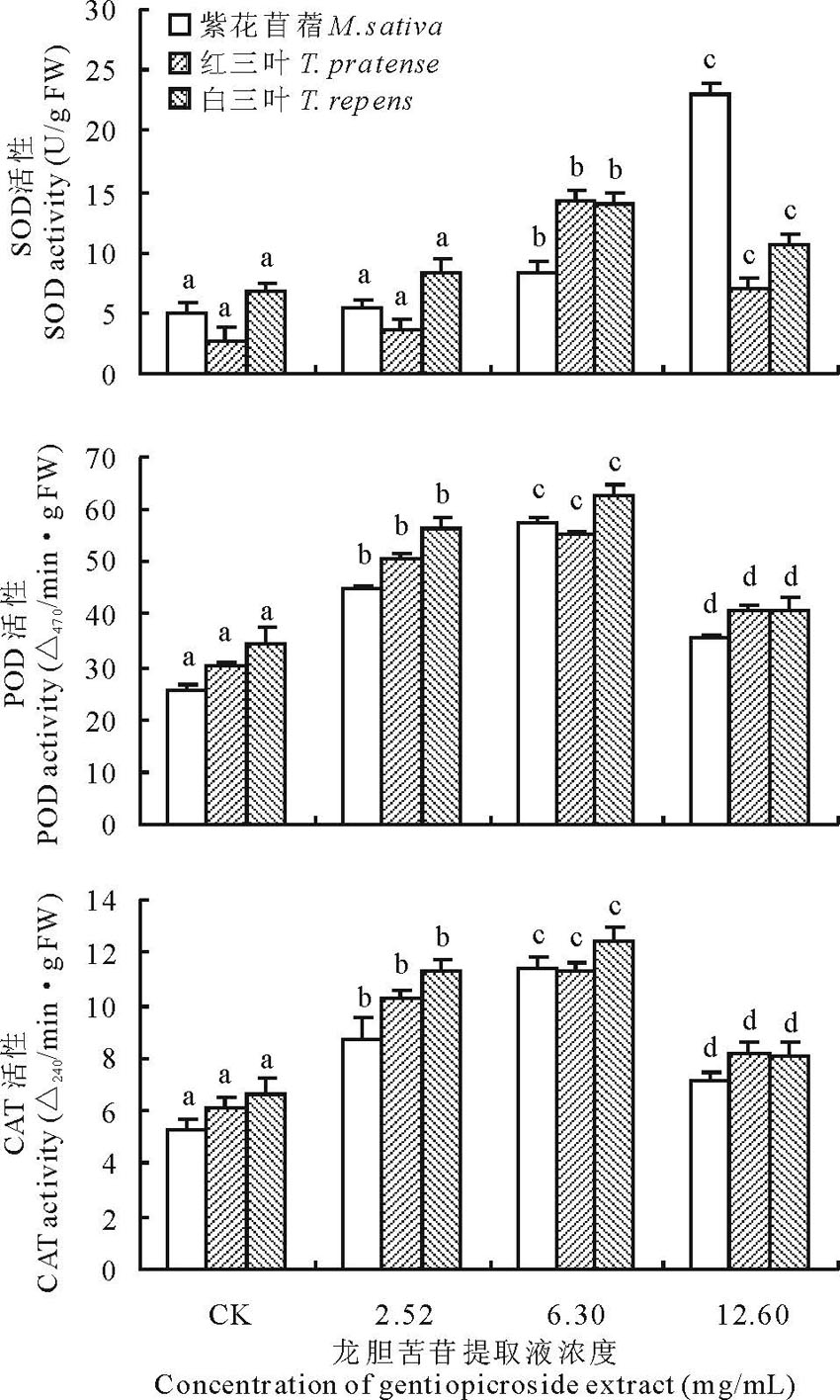
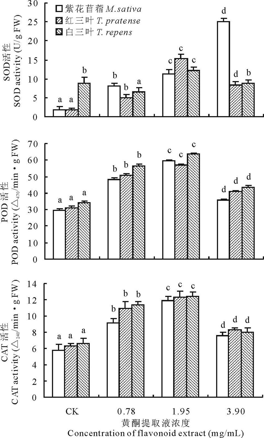
图4、图5显示:随着龙胆苦苷提取液浓度增大, 紫花苜蓿超氧化物歧化酶活性逐渐增强, 12.60 mg/mL时其活性达最大值, 且不同浓度间差异显著(P< 0.05)。白三叶和红三叶浓度为6.30 mg/mL时超氧化物歧化酶活性最强。黄酮提取液随浓度增大, 紫花苜蓿超氧化物歧化酶活性逐渐增强, 3.90 mg/mL时其活性达最大值, 且不同浓度间差异显著(P< 0.05), 白三叶和红三叶浓度为1.95 mg/mL时超氧化物歧化酶活性最强, 浓度为0.78 mg/mL时白三叶超氧化物歧化酶活性弱于对照, 浓度为3.90 mg/mL时与对照差异不显著。
不同浓度龙胆苦苷和黄酮提取液处理下3种受体植物幼苗的过氧化物酶活性都有显著增强, 龙胆苦苷和黄酮提取液浓度分别为6.30和1.95 mg/mL时, 过氧化物酶活性达最大值, 二者在浓度分别为12.60和3.90 mg/mL时, 过氧化物酶活性都要低于2.52和0.78 mg/mL, 且都高于对照(P< 0.05)。
龙胆苦苷和黄酮提取液浓度分别为6.30和1.95 mg/mL时, 过氧化氢酶活性达最大值, 二者在浓度分别为12.60和3.90 mg/mL时, 过氧化氢酶活性都要低于2.52和0.78 mg/mL, 且都高于对照(P< 0.05)。
| 图4 不同浓度野生麻花秦艽龙胆苦苷提取液对植物幼苗抗氧化酶活性的影响Fig.4 Affects of different concentration gentiopicroside from feral G. straminea on the plant seedlings antioxidant enzymes activity |
种子萌发对物种更新至关重要, 种子发芽率、发芽势和发芽指数均可反映种子发芽能力。一般情况下, 发芽率与种子生活力是一致的, 因此在生产上通常将种子的发芽率作为鉴定种子质量的重要指标之一; 发芽指数反映了种子发芽的速率和整齐程度[27]。种子发芽率降低会降低植物在群落中的密度, 种子发芽指数降低, 出芽滞后, 将严重影响植物对地上和地下资源的竞争能力, 在生长季节相对短暂的区域, 会直接降低植物生物量, 有时会导致植物无法完成生活史[28, 29, 30, 31]。种子的发芽和发芽后幼苗的建成是内外因素相互作用的结果[32]。自然条件下, 种子发芽和幼苗生长容易受到化感活性物质的影响, 使其发芽和生长受到抑制或促进[33, 34, 35]。本研究中, 3种受体植物紫花苜蓿、红三叶和白三叶种子经龙胆苦苷和黄酮提取液处理后, 其发芽率显著降低, 且随浓度增加, 抑制作用逐渐增强; 同时, 随提取液浓度增大, 受体植物种子发芽指数下降, 发芽时间延长。化感活性物质能够影响种子内部物质代谢及各种代谢关键酶的活性, 引起种子劣变, 使种子活力降低, 进而使得发芽率降低, 发芽时间延迟[36, 37]。同一浓度的龙胆苦苷或黄酮提取液对两种受体植物种子萌发的抑制作用表现出差异性:同浓度下龙胆苦苷提取液对红三叶发芽率、发芽势和发芽指数的化感指数都要小于白三叶和紫花苜蓿, 说明龙胆苦苷对白三叶和紫花苜蓿的化感抑制作用要强于红三叶。相比较而言, 黄酮提取液浓度为0.78 mg/mL时对红三叶发芽率、发芽势和发芽指数的化感指数大于白三叶和紫花苜蓿, 对白三叶和紫花苜蓿化感抑制作用弱于红三叶, 而浓度为1.95和3.90 mg/mL时, 对白三叶和紫花苜蓿发芽率、发芽势和发芽指数的化感指数大于红三叶, 说明对白三叶和紫花苜蓿化感抑制作用强于红三叶, 证明化感作用不仅与受体植物种类有关, 与供体植物本身也有关联[38]。整体上龙胆苦苷和黄酮对红三叶种子发芽的抑制作用要弱于白三叶和紫花苜蓿, 因此, 在麻花秦艽的栽培过程中, 红三叶可以作为轮作、间作或套作作物, 用来缓解或解除连作效应。
化感作用在农业生产上有多方面的作用, 近些年来, 植物的化感作用和自毒作用受到世界各国科学家的重视, 逐渐形成了一个新的研究领域[37, 39, 40]。化感物质不仅能降低种子的萌发率、延长发芽时间[33, 34, 35], 对伴生植物根长、株高也表现出抑制作用, 且随着浓度的增加, 抑制率也逐渐增高[41]。但是, 化感物质起作用需要达到一定的浓度, 在自然条件下, 外来植物向土壤中释放的化感物质浓度只有达到了某一有效作用阈值, 才会对周围的伴生植物产生抑制效果[42]。本研究证明, 不同浓度的龙胆苦苷和黄酮提取液对紫花苜蓿、红三叶及白三叶的苗高、根长和鲜重都表现出明显的化感作用— — 抑制或促进。龙胆苦苷浓度为2.52 mg/mL时, 对苜蓿和红三叶的苗高、根长和鲜重都表现出不同程度的抑制作用, 此浓度下白三叶的苗高长于对照, 说明对白三叶的苗高表现出促进生长的作用, 对其根长和鲜重仍表现出抑制作用。不同浓度下的龙胆苦苷提取液对苜蓿和红三叶的鲜重影响都不显著, 三者与对照相比都显著(P< 0.05), 同样, 不同浓度下的黄酮提取液对苜蓿的鲜重影响都不显著, 三者与对照相比都显著(P< 0.05)。证明白三叶对化感胁迫的敏感性强于红三叶和紫花苜蓿[43, 44]。在对同一种受体植物幼苗根长和茎长的比较可以看出, 龙胆苦苷和黄酮提取液对受体植物根长生长的影响明显强于对茎长生长的影响, 这与前人研究结果一致[45, 46]。龙胆苦苷对白三叶表现出萌芽抑制和幼苗生长促进, 与钟声等[47]对紫茎泽兰(Eupatorium adenophora)提取液的化感作用研究结果相符。化感物质主要通过茎叶淋溶、根系分泌、地上挥发和植物残体分解释放到外界环境中[48, 49], 化感物质进入土壤后, 在到达目标植物之前, 要经过土壤颗粒和土壤微生物的吸附、运输、转化甚至降解, 其结构、有效性和活性均会发生复杂的变化, 导致对受试植物的化感效应出现相应变化[50]。药用植物根系分泌物的化感自毒作用[50]、根系分泌物对生态效应的间接作用及土壤微生物区系紊乱是导致植物连作障碍的主要因素[51, 52]。龙胆苦苷和黄酮作为药用植物麻花秦艽的活性成分, 其可能通过特定方式释放到自然生态系统中, 对自身的连作产生不良效应、对伴生植物及轮作作物的发芽和生长产生抑制和毒害。
植物细胞中活性氧的清除主要是通过抗氧化酶系统SOD、POD、APX 和CAT以及一些抗氧化物完成的, SOD能将超氧阴离子(
本试验研究了中草药野生麻花秦艽中龙胆苦苷和黄酮提取液对受体植物种子发芽和幼苗生理特性的影响, 结果表明二者对受体植物的种子发芽, 幼苗的苗高、根长、鲜重以及3种抗氧化酶活性都有不同程度的影响-或抑制或促进, 且白三叶对化感胁迫的敏感性强于紫花苜蓿和红三叶; 不同牧草对化感胁迫的耐受能力不同, 紫花苜蓿对化感胁迫的耐受能力强于红三叶和白三叶。在自然生态系统中, 野生麻花秦艽中龙胆苦苷和黄酮是以何种方式释放到无机环境中还需进一步研究, 此研究为建立麻花秦艽轮作、间作及套作体系进而缓解并解除其在栽培过程中的连作障碍提供了一定的理论依据, 为充分利用这一中草药资源奠定基础。
The authors have declared that no competing interests exist.
| [1] |
|
| [2] |
|
| [3] |
|
| [4] |
|
| [5] |
|
| [6] |
|
| [7] |
|
| [8] |
|
| [9] |
|
| [10] |
|
| [11] |
|
| [12] |
|
| [13] |
|
| [14] |
|
| [15] |
|
| [16] |
|
| [17] |
|
| [18] |
|
| [19] |
|
| [20] |
|
| [21] |
|
| [22] |
|
| [23] |
|
| [24] |
|
| [25] |
|
| [26] |
|
| [27] |
|
| [28] |
|
| [29] |
|
| [30] |
|
| [31] |
|
| [32] |
|
| [33] |
|
| [34] |
|
| [35] |
|
| [36] |
|
| [37] |
|
| [38] |
|
| [39] |
|
| [40] |
|
| [41] |
|
| [42] |
|
| [43] |
|
| [44] |
|
| [45] |
|
| [46] |
|
| [47] |
|
| [48] |
|
| [49] |
|
| [50] |
|
| [51] |
|
| [52] |
|
| [53] |
|
| [54] |
|
| [55] |
|
| [56] |
|
| [57] |
|
| [58] |
|
| [59] |
|
| [60] |
|
| [61] |
|
| [62] |
|
| [63] |
|

