作者简介:李江文(1987-),男,陕西商洛人,在读博士。E-mail:jiangwen-0105@163.com
在内蒙古草原牧区,冬季对绵羊补饲精喂的研究具有重要的意义。为研究产羔前对母畜舍饲精料后,呼伦贝尔短尾羊体重、体尺及经济效益的变化,本研究选取60对待产的呼伦贝尔短尾母绵羊作为试验对象,在母畜产羔前一个月,试验组母畜舍饲精料,对照组仅补饲干草,分析100日龄内家畜体重、体尺及经济效益变化。利用方差及偏最小二乘回归法,分析产前补饲对家畜个体、生产效益的影响及影响家畜体重的主要体尺权重,结果显示,100 d时间段内,母畜体重呈先减少后增加的趋势;仔畜出生后一个月左右的时间段,试验组仔畜的胸围、胸宽、体高、胸深、体长和体斜长显著高于对照组( P<0.05)。影响呼伦贝尔短尾羊体重的主要体尺指标为:胸围、胸宽、体高和胸深,影响权重达到50%以上。补饲使得仔畜的成活率、出售价格显著高于未进行补饲的对照组( P<0.05)。通过补饲母畜不仅可以影响仔畜体重和体尺指标,而且对提高仔畜成活率和经济效益具有重要的作用,这为今后后备母羊的选育、家畜的精准淘汰提供了理论基础。
Winter feeding is a very important practice in sheep farming in Inner Mongolia grassland pastoral areas. The aim of this study was to determine the effects of supplementary feeding before lambing on sheep weight and body size, and economic benefits. Sixty pairs of Hulun Buir short-tailed sheep were selected as the test subjects. One month before lambing, the experimental group was fed with concentrated feed, and the control group was fed with only hay. Changes in the body weight, body size, and economic benefits of livestock within 100 days were analyzed. Variance analyses were conducted with SAS (statistics analysis system) and partial least squares regressions were conducted with SIMCA-P11 (simple principal component analysis). These analyses allowed us to determine the effects of prenatal feeding on the individual and production efficiency of livestock, and on the main body weight of livestock. The results showed that, in the 100-day period, the weight of females decreased and then increased. The chest circumference, chest width, body height, chest depth, body length, and body oblique length were significantly higher in the experimental group than in the control group at about 1 month after birth ( P<0.05). The main indexes influencing the body weight of Hulun Buir short-tail sheep were chest width, body height, and chest depth; together, these factors explained more than 50% of the variance in body weight. The survival rate and the selling price of newborn lambs was significantly higher in the experimental group than in the control group ( P<0.05). Supplementary feeding before lambing not only affected the body weight and body size indexes, but also played an important role in improving the survival rate and increasing economic benefits. These results provide a theoretical basis for the breeding and care of ewes and the precise elimination of livestock.
家畜的生产繁殖在整个生长周期内呈规律性波动。家畜对于能量的需求在冬季、产羔时期、疾病等情况出现时显著增加。因此, 为了保障家畜能量供需的相对平衡, 对家畜, 尤其是母畜进行补饲精料, 不仅可以提高家畜的个体生产性能, 而且可以促进母畜的繁殖率及仔畜的成活率。此外, 补饲在一定时间内可减轻草原放牧压力, 防止草原因过度放牧而进一步退化[1, 2]。
对于绵羊补饲试验的研究, 多数研究人员建议在冬季进行, 其主要原因是冬季家畜能量消耗大, 干草利用率低, 为保障家畜在冬季不掉膘或者少掉膘, 结合实际生产需要, 一般选择在冬季对家畜补充精饲料。如在内蒙古典型草原和草甸草原牧区、柴达木盆地牧区等的研究, 通过冬季舍饲措施减少家畜掉膘, 提高养羊效益, 以促进草地畜牧业可持续发展[3, 4, 5]。聂学敏等[6]所做的高寒草地放牧绵羊冬季补饲对不同放牧强度草地生产力的影响, 从不同方面研究冬季舍饲对家畜生产性能、育肥等方面的影响。另外, 冬季补饲的频率对羔羊的生产性能也产生一定的影响[7]。也有学者从不同的方向提出了各式各样的补饲育肥方案, 张晓庆等[8]以限时放牧加补饲的措施, 比较乌珠穆沁羔羊在不同方式下体重及体尺的差异性。常明华等[9]在牧草枯黄期时对羔羊补饲, 起到了育肥的效果, 增加了羔羊出售的单价。不同的饲喂方式、不同的精料补饲量、不同蛋白水平日粮补饲以及补饲营养调控剂对家畜的育肥及生产性能都产生了不同程度的影响, 起到了积极的效果。关于补饲对绵羊体尺产生的影响。国外有学者利用遗传参数和基因参数来估计绵羊的体尺及活重, 以研究体尺与活体重的相关性[10, 11]。有关家畜体尺与体重间的相关性研究, 国内外的学者提出了很多的见解。田亚磊等[12, 13, 14]利用豫西脂尾羊、太行裘皮羊、河南小尾寒羊等分析了不同品种羊体尺与体重间的相关性。目前, 关于补饲对家畜个体体尺指标产生哪些影响研究较少, 对母畜补饲是如何导致仔畜个体特征发生变化, 国内外尚没有相关报道。
选择合适补饲时机、补饲量将会使补饲效果最大化, 而饲料营养价值的选择也需要根据家畜的实际需要, 过高或者过低都不能达到最佳的效果。本研究利用内蒙古草甸草原牧区特有的呼伦贝尔短尾羊作为试验对象, 通过产羔前对母畜补饲精料, 分析仔畜100日龄内, 家畜体重、体尺及经济收益变化, 以便为牧区牲畜合理舍饲养殖提供依据, 为今后家畜的精确化生产及草地畜牧业的可持续发展提供参考依据。
呼伦贝尔羊主要由巴尔虎品系(半椭圆状尾)和短尾品系(小桃状尾)这2种品系组成[15]。呼伦贝尔短尾羊属呼伦贝尔地区特有的品种, 该品种具有耐寒、耐粗饲、善于行走采食、能够抵御恶劣环境、抓膘速度快、保育性强、羔羊成活率高、肉质好且无膻味等特点。短尾品系类型羊具有明显肉用绵羊的外形特征, 其头大小适中, 母羊无角, 耳大下垂, 体型强壮, 结构匀称, 颈粗短, 背腰平直, 肩宽深且与躯体结合良好, 胸宽且深, 后躯宽广丰满, 体躯略呈长方形。短尾品系类型因其尾短而小方便配种, 有利于提高受胎率。该品系毛色主要为黄头、黑头、全白和黄眼圈等。本研究选取来自鄂温克族自治旗巴彦呼硕嘎查的呼伦贝尔羊中的短尾羊品系, 该地区是短尾羊育种的核心区。
研究区位于呼伦贝尔市鄂温克族自治旗锡尼河西苏木巴彦呼硕嘎查(N 47° 32'50″-49° 15'37″, E 118° 48'02″-121° 09'25″)。平均海拔为900 m。属中温带半干旱大陆性季风气候, 冬季漫长严寒, 夏季温和湿润, 春季干燥风大, 秋季气温骤降, 无霜期平均100~120 d。年平均气温-5~-2 ℃, 年平均降水量210~500 mm, 主要集中在6-9月。土壤类型主要为黑钙土和栗钙土。研究区主要以温性草甸草原为主, 另外小部分地区为平地草甸类和沼泽类地区。植物群落建群种和优势种为贝加尔针茅(Stipa baicalensis)、冰草(Agropyron cristatum)、 冷蒿(Artemisia frigida)、糙隐子草(Cleistogenes squarrosa)、羊草(Leymus chinensis)等[16]。
本试验补饲是对5个试验组牧户母畜进行统一补饲处理, 补饲家畜数量约3000只, 对照组牧户3个, 畜群总数约2000只。试验组和对照组选取的60对家畜是在这5000只家畜中随机选择, 试验组为3000对中选30对, 对照组为2000对中选30对, 要求不同处理仔畜必须是同一天出生。试验时间为2014-2015年, 补饲月份为3月份(仔畜出生前), 试验重复两年进行。另外, 对试验组和对照组近5000只家畜的体重, 在仔畜出生时和仔畜出售时均进行了实际测量。试验期间, 走访调查不同处理条件下仔畜成活率、羔羊出售价格、饲草料价格等经济数据。其中, 各经济指标为实际走访调查结果, 经济数据为2015年市场数据, 仅作同一年比较参考。
在研究区的家庭牧场中选取60只体型相近, 体况良好、年龄相仿且大于12月龄母羊, 作为试验对象, 并保障母羊在放牧管理条件一致的条件下生产单羔。对所选家畜进行随机抽取并划分为试验组和对照组。其中试验组家畜于产羔前一个月进行精料补饲处理(补饲精料成分见表1), 补饲量为0.5 kg/(d· 只), 对照组不进行精料补饲; 整个冬季试验期间, 所有供试家畜干草采用自由采食的方式。从母畜产羔当天开始, 对母畜及仔畜体尺和体重进行每隔10 d的监测, 共持续进行11次。体尺监测指标包含体高(body height, BH)、体长(body length, BL)、胸围(chest girth, CG)、管围(leg girth, LG)、体斜长(body slanting length, BSL)、胸深(chest depth, CD)、胸宽(chest width, CW)、最大额宽(maximal forehead width, MFD), 试验羔羊在整个生长期内不补饲, 羔羊达到100日龄时出售。
| 表1 家畜夏季采食牧草和精饲料主要营养物质含量 Table 1 The main nutrient content of summer pasture and concentrate % |
运用SAS 9.0软件对家畜体尺及日增重做方差分析, 运用SIMCA-P 11进行偏最小二乘回归分析(partial least squares regression, PLSR), 建立家畜体重与体尺指标(体高、体长、胸围、管围、体斜长、胸深、胸宽、最大额宽)的回归方程, 并根据回归方程的变量投影重要性指标(VIP, variable importance), 计算可得各种影响要素的权重系数ω Xj。
VIPj=
ω Xj=VIPj/∑ VIPj(2)
式中:Rd(y, th)=R2(y, th), 反映变量y被主成分th解释时的变异精度, 代表了主成分th对变量y的解释能力, 进而∑ hRd(y, th) 则代表了主成分t1, …, th对y的累计解释能力, r(y, th)为y与主成分th的相关系数。Whj是轴Wh的第j个分量, ω Xj为影响要素Xj的权重。当VIPj大于1时, 自变量Xj (j=1, 2, …k)对y的解释作用更强。采用SigmaPlot 12.5作图。
家畜体重100 d的跟踪调查结果如图1所示, 母羊除了早期体重有重大损失外, 其他时段没有明显的体重变化, 但试验组母畜体重在最后的20 d显著高于对照组。仔畜体重一直处于增加状态, 试验组和对照组仔畜体重在40 d龄时出现显著性差异, 其他时段试验组仔畜的体重均大于对照组仔畜的体重, 但并无显著性差异。
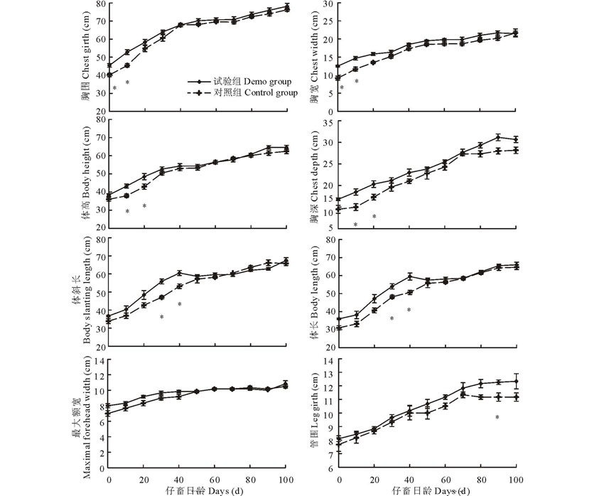
研究家畜体尺的变化发现, 母畜体尺在100 d时间内并无显著性变化。仔畜体尺变化如图2所示, 试验组和对照组仔畜体尺均呈逐渐增加趋势, 且试验组仔畜体尺的增长趋势较对照组高。在最开始的20 d, 仔畜胸围、胸宽、体高和胸深在试验组的增长显著高于对照组(P< 0.05), 从30日龄开始, 试验组仔畜体长和体斜长开始显著高于对照组(P< 0.05), 补饲对家畜管围和最大额宽影响不显著。
为判断家畜各体尺指标对家畜体重影响的大小, 利用偏最小二乘回归法(PLSR)确定各体尺指标的变量投影重要性指标(VIP), 并计算该指标的权重。影响母畜体重的体尺指标中, 母畜的胸深、体高、胸宽、体斜长、体长和胸围的VIP值均大于1, 其中, 胸深对体重的影响最大, 权重达到16.14%; 仔畜的VIP值大于1的变量包括胸围、胸宽、体高和胸深, 其对仔畜的影响权重之和达到51.46%, 其他几项体尺指标的VIP值接近1, 对仔畜体重的影响权重相对较小, 母畜各体尺指标权重:胸深> 体高> 胸宽> 体斜长> 体长> 胸围> 最大额宽> 管围, 仔畜各体尺指标权重:胸围> 胸宽> 体高> 胸深> 体斜长> 体长> 管围> 最大额宽(图3和图4)。
不同处理间的经济效益收支调查结果如表2所示, 母畜精饲料单价2.8元/kg, 干草单价1.2元/kg。一只成年带羔母畜每天干草日食量2 kg/(d· 只), 精饲料与干草同时舍饲日食量:0.5 kg/(d· 只)精饲料和1 kg/(d· 只)干草。市场价格区间以仔畜体重30 kg为基准线, 30 kg以下20元/kg, 30 kg以上22元/kg。试验组仔畜成活率、仔畜出售价格显著高于对照组(P< 0.05), 出售时仔畜体重无显著性差异(P> 0.05)。
| 表2 家畜个体收支表 Table 2 The individual of livestock cost and income |
改进牧区生态环境, 促进牧民增收, 合理搭配家畜饲草营养, 有效提高牧草利用率, 提高家畜个体生产性能, 对于提高家畜生产效益具有重要的意义。本研究选择在家畜产羔前一个月舍饲精料, 主要是由于家畜在冬季及产羔期自身能量需求最大, 而如果整个冬季补饲成本又太高, 夏季补饲家畜利用率低, 精饲料的利用率远不及夏季牧草的利用率。而选择监测100 d时间家畜的体尺及体重变化, 主要原因在于受当地物候影响, 仔畜需在100日龄出栏, 监测家畜体尺可为后备母畜的选育提供参考, 以体尺指标判断后期家畜生长状况。本研究所采用的补饲方法, 既考虑了经济效益, 同时也产生了一定的生态效益, 补饲精料加饲草的成本甚至低于纯补饲干草的成本, 并且其产生的经济利益远高于未补饲精料的家畜, 具有很强的推广使用价值。另外, 补饲对100 d后, 留做后备母畜个体的影响, 以及长期补饲对草地生态及草地生产力的影响, 本研究并未涉及, 将作为下一步研究的重点方向。
母畜夏季体重呈先减少后增加的趋势, 是由于母畜产羔后哺乳期刚开始, 母畜哺乳羔羊消耗大量能量, 此时草地未返青, 母畜所需能量得不到满足, 导致母畜体重下降。母畜体重的变化, 是否和羔羊增重快, 且后期羔羊采食量大, 所需哺乳量减少有关, 还需要进一步的研究。另外, 草场返青后, 母畜所需能量可以得到满足, 母畜体重开始增加。7月份, 该地区平均气温达到20 ℃, 处于全年中最大值, 放牧家畜由于缺少必要的遮阴措施, 导致母畜体重出现下降趋势。史激光等[17]在典型草原区对放牧绵羊体重监测结果显示, 绵羊体重年变化呈“ 余弦” 曲线, 4月末最低, 最高值出现在10月末, 温度和风速是影响放牧绵羊体增量的主要限制性因素, 这一结果足以印证本研究结果的合理性。另一方面, 牧草在返青期, 粗蛋白、消化率、洗涤纤维等达到最高值, 随着物候期的推移, 这些物质的含量呈下降趋势, 至枯草期时达到最小值[18], 这也就导致家畜对牧草的利用率发生改变, 进而影响家畜体重变化。试验组母畜由于额外的补饲, 产羔后母畜平均体重明显高于对照组。仔畜自出生开始到出售时结束, 体重一直处于增加状态, 由于仔畜处于生长期, 生长速度快, 能量供给充足, 气候因素对其的影响不足以迫使其体重下降, 所以仔畜在整个夏季体重一直在增加。而母畜的补饲直接导致了其所产仔畜的体况优于未补饲母畜所产的仔畜, 并且补饲后的母畜奶水更充足, 有利于仔畜的快速生长, 故试验组仔畜体重的增加逐渐优于对照组仔畜体重的增加。仔畜的多项体尺指标在羔羊出生后的一个月内的几次测量中相互之间出现显著差异, 同样是由于刚出生的仔畜, 食物的主要来源是能量含量高的母乳, 不仅对仔畜的体重产生了显著性的影响, 而且对仔畜的体尺产生了显著性的影响。
家畜体尺与体重之间存在正相关关系, 并且家畜体重主要影响因素包括:胸围、胸宽、体高和胸深, 本研究结果与其他学者所得出的结论基本一致。有学者在研究西非矮羊体尺与活体重的关系时, 利用体尺数据通过线性模型、相对生长模型和多元回归模型来预测活体重, 并分析不同体尺指标与活体重间的相关性, 结果表明, 家畜的胸围、头长和后肢宽与活体重间的相关性最大[19]。Onur等[20]利用Karya羊作为试验对象, 研究家畜体尺与体重的相关关系, 结果表明, 家畜体重可以用体尺数据和统计方法精确的估计。Teixeira[21]以萨能奶山羊和努比亚山羊为试验材料, 研究家畜体尺与活体重间的相关关系, 结果表明, 家畜的胸围与活体重的相关性最高。
母畜补饲, 仔畜的成活率、出售价格显著高于未进行补饲的对照组, 这与家畜的个体生产性能有直接的关系。首先, 仔畜成活率的提高主要得益于母畜个体生产性能的提高, 补饲对妊娠期母畜体重的增加和仔畜的出生重有促进作用。这与王永东等[22]研究妊娠期阿尔巴斯白绒山羊时得出的结论基本一致。补饲可以提高家畜养殖的经济效益, 宝音都仍等[23]利用内蒙古苏尼特羔羊为研究对象, 得出科学补饲较自由放牧组每只羔羊平均毛收入增加117元。本研究对母畜补饲仔畜的出售价格较对照组高出109元, 说明补饲可以提高家畜的生产效益。产羔前对母畜补饲精料, 相对于单纯舍饲干草, 每月每只母畜补饲成本反而下降了8.4元, 这与精饲料的利用率和营养价值有关。本试验与家畜生产经营有关的防疫、机械、燃油、劳动力等支出未考虑其中, 主要原因是部分支出由政府补贴, 并且试验组和对照组间, 这些变量基本在同一水平尺度上, 单畜的支出比例差异性很小。
1)夏季, 母畜体重呈先减少后增加的趋势, 仔畜体重处于一直增加的状态, 母畜体尺无显著性差异, 仔畜体尺在30日龄之前, 试验组的胸围、胸宽、体高和胸深显著高于对照组(P< 0.05), 30~40日龄之间, 试验组体长和体斜长显著高于对照组(P< 0.05)。
2)影响呼伦贝尔短尾羊体重的主要体尺指标为:胸围、胸宽、体高和胸深, 影响权重达到50%以上, 其可作为选育后备母畜的重要指标。
3)补饲使得仔畜的成活率、出售价格显著高于未进行补饲的对照组(P< 0.05)。
The authors have declared that no competing interests exist.
| [1] |
|
| [2] |
|
| [3] |
|
| [4] |
|
| [5] |
|
| [6] |
|
| [7] |
|
| [8] |
|
| [9] |
|
| [10] |
|
| [11] |
|
| [12] |
|
| [13] |
|
| [14] |
|
| [15] |
|
| [16] |
|
| [17] |
|
| [18] |
|
| [19] |
|
| [20] |
|
| [21] |
|
| [22] |
|
| [23] |
|

