作者简介:李岩(1989-),男,甘肃兰州人,在读博士。E-mail: liyan2016@bjfu.edu.cn
西北旱区由于独特的气候条件,生产的苜蓿干草品质好,产量高。如何根据苜蓿的田间指标估测干草品质参数,对于苜蓿草产品生产销售具有重要意义。研究在喷灌条件下不同灌溉量对紫花苜蓿的生长品质的影响,并利用生长指标对紫花苜蓿的品质进行预测。试验于2014至2015年于中国农业大学石羊河流域生态节水试验站进行为期2年的田间试验。试验共设3个灌溉处理:A1灌溉量为100%紫花苜蓿蒸腾蒸散量(ETc),A2,A3的灌溉量分别为A1处理的66%,33%,以及一个不灌溉处理A4。结果表明,苜蓿生长指标如株高(H)和茎叶比(SLR)随生育期的推进呈上升趋势,而鲜干比(FDR)呈下降趋势;所有生长指标随着灌溉量的减少均呈下降趋势。在品质方面,随着生育期的推进,所有处理的粗蛋白(CP)呈下降趋势,而中性洗涤纤维(NDF)和酸性洗涤纤维(ADF)则呈现上升趋势;随着灌溉量的降低,NDF与ADF呈下降趋势,而CP则呈上升趋势。各生长指标与品质指标的拟合结果表明,H和SLR均与各品质指标显著线性相关( P<0.001),且H与品质拟合结果相关系数最高( R2>0.900),而FDR则与各品质指标不显著。这些结果表明,在田间管理较好,长势良好,杂草与病虫害发生较少的情况下,可以用株高对苜蓿干草品质做出预测。
Estimating forage quality with field measurements is useful for alfalfa production. In order to investigate the prediction of quality from growth characteristics, this experiment studied the growth and quality of alfalfa under different sprinkler irrigation levels. The experiment was conducted at the Shiyanghe Experimental Station for Water-Saving in Agriculture and Ecology of China Agricultural University in Wuwei, Gansu, over a period of two years. Three irrigation levels were applied: A1 (100% measured evapotranspiration (ETc)), A2 (66% of A1), A3 (33% of A1) and A4 (a rain-fed treatment). The results showed that plant height (H) and stem-leaf ratio (SLR) increased while the fresh-dry ratio (FDR) decreased with plant maturity. All these growth characteristics decreased with lowering levels of irrigation. In terms of quality, crude protein (CP) decreased but neutral detergent fiber (NDF) and acid detergent fiber (ADF) increased with plant maturity. NDF and ADF decreased and CP increased with lowering levels of irrigation. H and SLR had a significant linear relationship with quality ( P<0.001). The coefficients of determination between quality and H ( R2>0.900) were higher than those for SLR, while the results for FDR were not significant. These results imply that, when field management is good, alfalfa height could be used to estimate forage quality.
紫花苜蓿(Medicago sativa)由于产量和营养价值高, 被誉为“ 牧草之王” [1], 在世界范围内广泛种植[2]。自从2012年中国政府颁布了奶业振兴计划, 截至2015年底, 中国紫花苜蓿的种植面积已经达到了471 万hm2, 高品质的紫花苜蓿干草产量为2010年的8.2倍[3]。西北干旱地区降水稀少, 蒸发强烈, 气候干燥, 紫花苜蓿规模化生产完全依赖大型喷灌机进行喷灌或更为节水的地下滴灌, 在这种气候条件下生产的苜蓿干草产品不仅产量高, 而且保持了较高的品质特性。紫花苜蓿草产品的市场定价主要以粗蛋白(CP, %), 中性洗涤纤维(NDF, %), 酸性洗涤纤维(ADF, %)以及由中性洗涤纤维和酸性洗涤纤维计算而得到的相对饲喂价值(RFV)做参考[4]。在紫花苜蓿规模化种植、集约化管理及商品化生产条件下, 如何根据田间生长状况估测苜蓿干草的品质参数, 可以使苜蓿种植者预先做出适当的产品销售推介, 对于苜蓿干草用户也能从这些估测结果中了解产品品质参数, 为苜蓿干草产品的市场交易提供更多的参考。如何利用田间易测定的指标对紫花苜蓿的品质进行估测, 国外学者已经做了一些相关研究, 主要是利用株高[5, 6, 7], 分枝数[6, 8]以及一些气象数据[7, 9, 10]对紫花苜蓿的品质进行预测, 其研究结果均表明紫花苜蓿的品质可以利用田间易于测定的生长或气象数据进行预测, 且结果较为准确, 但由于种植、管理方式以及气候条件的差别, 其预测结果不一定适用于其他地区[9, 11]。我国目前针对西北旱区喷灌条件下紫花苜蓿生长, 品质及相关性的研究较少, 采用田间易测定的指标估测紫花苜蓿干草产品的品质研究方面也鲜有报道。因此, 本试验的目的是探究在喷灌条件下紫花苜蓿生长及品质的变化规律, 并利用生长指标对紫花苜蓿的各品质指标进行预测, 以便为紫花苜蓿种植者提供一些使其产品预先为消费者理解或认可的方法。
试验区位于甘肃省武威市中国农业大学石羊河生态节水试验站(37° 52'20″ N, 102° 50'50″ E), 平均海拔1581 m, 试验地地处典型的内陆沙漠气候区, 年平均温度为8 ℃, 年平均降水164.4 mm, 主要分布于7月至8月, 年水面蒸发量为1132~1509 mm, 年均日照时间大于3000 h, 无霜期150 d。地下水位于地表下40~50 m。试验地土壤为沙壤土, 0~160 cm深度土壤容重1.52 g· cm-3, 孔隙度52%, 田间持水量为0.29 cm3· cm-3。
2014, 2015年紫花苜蓿生育期内的月降水量与月平均温度如图1所示。2014, 2015年生育期内的总降水量分别为243.8和145.6 mm, 为常年年均降水量的149%和89%, 2015年春季紫花苜蓿返青时气温较低, 使得紫花苜蓿的返青日期较晚, 2014年第一茬于3月23日返青, 2015年第一茬于4月2日返青。
供试紫花苜蓿品种为“ 皇冠” , 由北京克劳沃草业技术开发中心提供, 于2013年5月2日播种, 条播, 播种量为15 kg· hm-2。种植小区面积为9 m2(3.0 m× 3.0 m), 采用完全随机区组布置。灌溉每5~10 d进行一次, 在进行土壤水分测定后进行灌溉。共设3个灌溉量处理, A1: 两次土壤水分测定之间 100%紫花苜蓿的蒸腾蒸散量(evapotranspiration, ETc, mm); A2:A1处理灌溉量的66%; A3:A1处理灌溉量的33%; 一个不灌溉处理(rain-fed) A4作为对照。每个处理设3个重复, 在小区之间设置1 m宽的间距以减小水分侧向移动对试验结果的影响。利用喷灌进行灌溉, 喷头设置于小区对角, 用支管架设于离地面70 cm的高度, 散射角度为90° 。喷头型号为73001, 喷嘴型号为kv8, 由美国科雨公司提供(K-Rain Ltd., Riviera Beach, FL, USA), 在140 kPa下流量为0.16 m3· h-1, 喷洒半径为3 m, 灌溉量利用水表计数, 在清晨无风时进行以保证喷灌均匀度。紫花苜蓿在初花期刈割(10%开花), 从每年春季返青起, 刈割4次, 各小区的除草, 除虫等田间管理均一致, 在试验期间, 试验区紫花苜蓿长势良好, 并未出现病虫害。
1.3.1 生长指标测定 株高(height, H, cm):利用1.5 m的直尺进行测量从植物基部到顶端的长度, 精确到1 mm, 每个小区取5株进行测定, 从分枝期起, 每5~10 d测定1次。
茎叶比(stem-leaf ratio, SLR):在测定株高的同时, 在每个小区内取5株紫花苜蓿, 在105 ℃下杀青0.5 h后在85 ℃下烘48 h至恒重, 将叶茎分离后称重, 茎叶比利用以下公式进行计算:
SLR=茎干重/叶干重(1)
鲜干比(fresh-dry ratio, FDR):在分枝期, 现蕾期及初花期, 每个小区取0.45 m× 0.45 m的样方称鲜重, 之后按SLR烘干方式烘干至恒重后称干重, 鲜干比利用以下公式计算:
FDR=鲜重/干重(2)
1.3.2 品质测定 利用在分枝期, 现蕾期及初花期所取的鲜干比样方测定紫花苜蓿品质。粗蛋白(crude protein, CP, %)的含量根据FOSS公司公布的Kjeltec 8000试验手册中的方法进行测定[12], 中性洗涤纤维(neutral detergent fiber, NDF, %)和酸性洗涤纤维(acid detergent fiber, ADF, %)根据Ankom科技公布的饲料质量分析标准实验室程序进行测定[13]。
在2014年, 由于铺设喷灌设备, 所以在整个第1茬未进行灌溉, 2015年第1次灌溉在分枝期之后, 所以2014年第1茬及2015年第1茬分枝期中将各小区测定指标的平均值作为各处理指标的数值。
采用PASW 18.0中的ANOVA和LSD进行统计分析, 使用Origin 7.0 进行作图。
2.1.1 株高 2014, 2015年不同茬次紫花苜蓿的株高如图2所示, 灌溉量显著影响紫花苜蓿的株高。灌溉量最大的A1处理株高最高, 其次为A2, A3, 不灌溉处理A4的株高最低。除2014年第1茬与2015年第1茬外, 其余茬次所有处理在初花期(2014年各茬次初花期日期为:6月4日, 7月14日, 8月22日, 9月27日; 2015年为:6月5日, 7月15日, 8月19日, 9月27日)的株高均两两具有显著差异(P< 0.05)。从第1茬到第4茬在初花期所有处理的平均株高为90.6, 49.8, 59.3和34.4 cm, 第1, 3茬的较高, 第2, 4茬的较低。虽然第1茬的株高在所有茬次中最高, 但是所有处理的平均生长速率在第3茬最高, 第1茬和第2茬次之, 第4茬的最低。
2.1.2 鲜干比 2014, 2015年各茬次的鲜干比如图3所示, 随着生育期的推进, 紫花苜蓿的鲜干比呈下降的趋势, 所有处理在分枝期, 现蕾期和初花期的鲜干比平均值分别为6.62, 5.73和4.75, 在同一生育时期内, 随着灌溉量下降, 鲜干比呈现下降的趋势, 但只有2015年第3茬初花期时处理之间两两都具有显著差异(P< 0.05)。在初花期, A1处理所有茬次的鲜干比均值为5.14, A2为4.97, A3为4.83, A4为4.32。茬次间, 从第1茬到第3茬, 所有处理在初花期鲜干比的平均值由5.82下降至4.32, 鲜干比呈现下降的趋势, 第3茬到第4茬则变化不大, 第4茬的鲜干比平均值为4.45。
2.1.3 茎叶比 2014, 2015年不同茬次茎叶比如图4所示, 与株高的增长趋势相同, 随着紫花苜蓿生育期的推进, 所有处理的茎叶比呈现上升的趋势, 所有处理茎叶比的均值由分枝期的0.50上升至初花期1.38, 茬次间, 第1, 2茬初花期的茎叶比较高, 随着茬次的推进, 初花期的茎叶比呈下降趋势, 从第1茬的1.84下降至第4茬的0.84。随着灌溉量的增加, 茎叶比呈现上升的趋势, 各处理初花期的茎叶比平均值由A4的1.17上升至A1的1.57, 但不是所有处理之间均具有显著差异(P< 0.05)。
2.2.1 粗蛋白 2014, 2015年各茬次不同处理的粗蛋白含量如图5所示, 随着生育期的推进, 紫花苜蓿的粗蛋白含量的变化趋势与株高和茎叶比相反, 呈下降趋势, 所有处理粗蛋白平均含量由分枝期的28.02%下降至初花期的20.99%。此外, 灌溉量也显著影响紫花苜蓿的粗蛋白含量, 随着灌溉量下降, 粗蛋白的含量呈现上升的趋势, 2014年的第2、3茬, 2015年第2, 3, 4茬中, 所有处理在初花期均两两具有显著差异(P< 0.05), 尤其在2015第3茬, 降水量仅为0.6 mm, 这一茬中各处理在初花期粗蛋白含量差异最大, 灌溉量最大的A1处理中仅为18.91%, 而不灌溉处理A4中则达到了26.86%。A1至A4处理在初花期的粗蛋白平均值为18.99%, 20.29%, 21.68%和22.99%。茬次之间, 第1, 3茬初花期时的粗蛋白含量较低, 第2, 4茬较高, 从第1茬到第4茬各处理分别为15.64%, 22.43%, 20.87%以及25.02%。
2.2.2 中性洗涤纤维 2014, 2015年各茬次不同处理的中性洗涤纤维含量如图6所示, 与株高和茎叶比的变化趋势相同, 随着生育期的推进, 紫花苜蓿的中性洗涤纤维呈现上升的趋势, 所有处理中性洗涤纤维含量平均值由分枝期的35.33%上升至初花期的42.30%。在茬次间, 所有处理在初花期的中性洗涤纤维含量均值在第1茬最高, 为47.48%, 第2茬和第3茬低于第1茬且差别不大, 分别为41.68%和42.77%, 第4茬最低, 为39.22%。在紫花苜蓿的所有生长阶段, 随着灌溉量的下降, 中性洗涤纤维含量呈现下降的趋势, 灌溉量最大的A1处理含量最高, 在初花期均值为45.34%, A2至A4处理在初花期时的中性洗涤纤维含量分别为43.65%, 42.49%和40.92%, 2014年第3茬, 2015年第2, 3, 4茬次中所有处理在初花期的中性洗涤纤维含量均两两具有显著差异(P< 0.05)。
| 图6 2014, 2015年不同茬次中性洗涤纤维含量Fig.6 The NDF content of alfalfa in different growth periods in 2014 and 2015 |
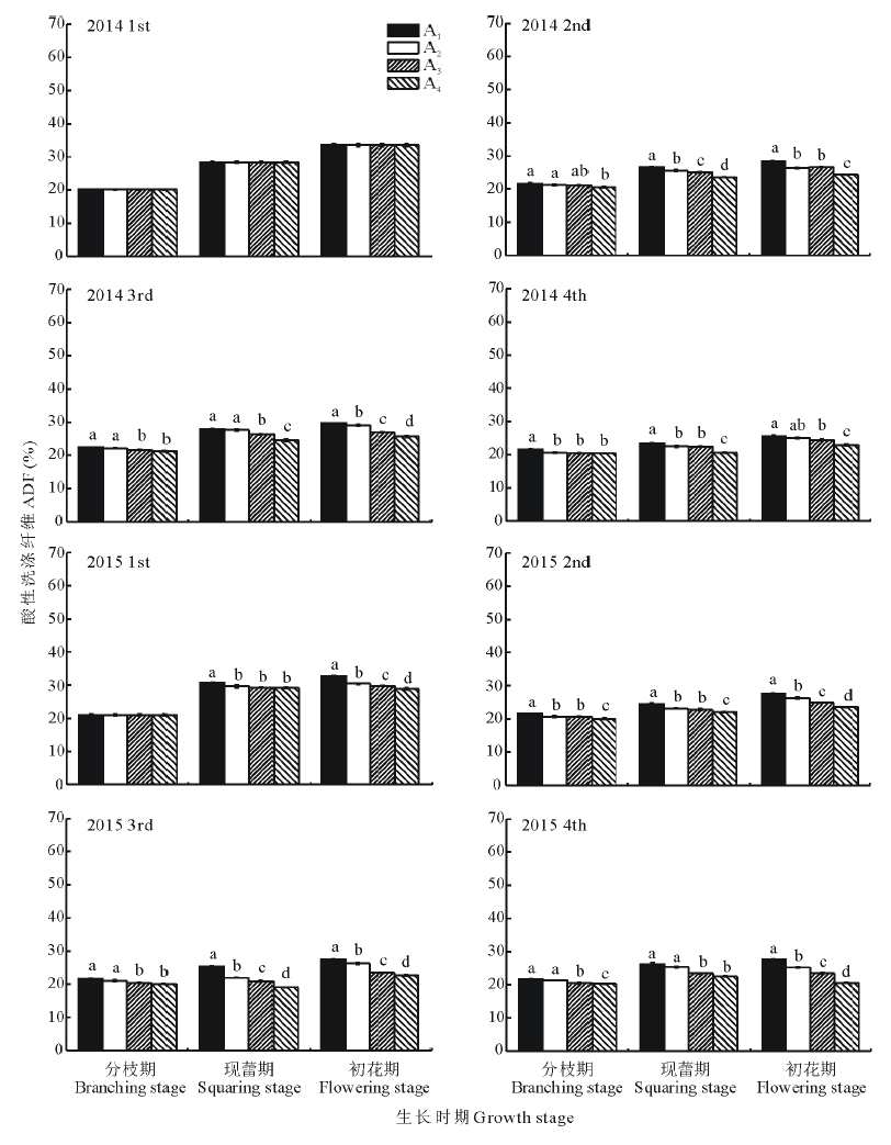
2.2.3 酸性洗涤纤维 2014, 2015年不同茬次不同处理的酸性洗涤纤维含量如图7所示, 与中性洗涤纤维的变化趋势相同, 随着紫花苜蓿生育期的推进, 各处理的酸性洗涤纤维含量呈现上升的趋势, 但各处理在不同生育期的酸性洗涤纤维含量均低于中性洗涤纤维含量, 酸性洗涤纤维含量均值由分枝期的21.01%上升至初花期的26.54%。在茬次间, 也与中性洗涤纤维的变化趋势相似, 第1茬初花期所有处理的酸性洗涤纤维含量均值最高, 为31.07%, 第2, 3茬初花期时均值低于第1茬且差别不大, 分别为26.03%和26.42%, 第4茬最低, 为24.35%。随着灌溉量的下降, 各处理在初花期酸性洗涤纤维含量呈现下降趋势, 均值由A1处理的29.08%下降至A4处理的25.29%, 在2014年第3茬, 2015年第2, 3, 4茬次中所有处理酸性洗涤纤维含量两两具有显著差异(P< 0.05)。
| 图7 2014, 2015年不同茬次酸性洗涤纤维含量Fig.7 The ADF content of alfalfa in different growth periods in 2014 and 2015 |
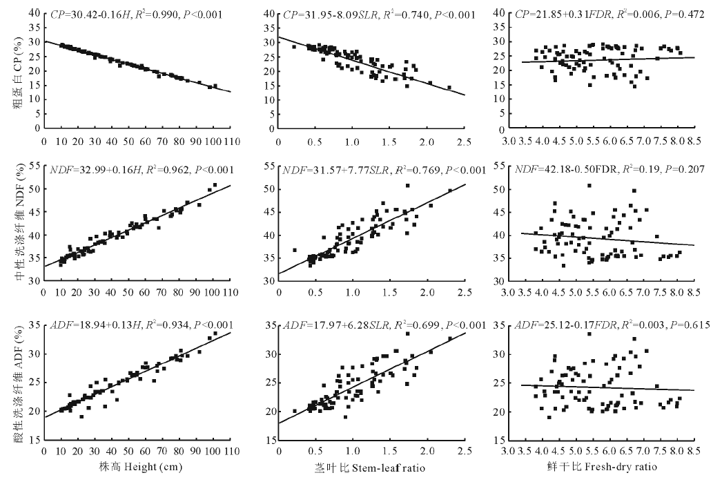
2.2.4 生长指标与品质的拟合关系 紫花苜蓿生长指标与品质的拟合关系如图8所示, 拟合结果表明, 株高与粗蛋白, 中性洗涤纤维, 酸性洗涤纤维含量的拟合关系好, P值均小于0.001, 且相关性高, R2均大于0.900, 茎叶比与品质的拟合中, P值也均小于0.001, 但其相关性低于株高的拟合结果, R2的值从0.699到0.769。此外, 虽然紫花苜蓿的鲜干比随着生育期的推进呈下降趋势, 但与粗蛋白, 中性洗涤纤维, 酸性洗涤纤维的拟合中P值分别为0.472, 0.211, 0.615, 与各品质相关不显著, R2的最高值为与酸性洗涤纤维的拟合结果, 也仅为0.615。
本试验的结果表明, 随着生育期的推进, 紫花苜蓿所有处理的株高增加, 灌溉量显著影响紫花苜蓿的株高, 随着灌溉量的减少, 株高呈现下降的趋势, 在大多数茬次初花期各处理之间均两两呈现显著差异(P< 0.05)。这与之前的一些研究结果一致[14, 15, 16, 17, 18], 在Montazar等[17]的研究中, 株高与灌溉量呈近似线性的关系; 此外, 不同的种植方式也会影响紫花苜蓿的株高[16]。然而, Ismail等[19]的研究结果表明在大多数茬次中, 灌溉量并不显著影响紫花苜蓿的株高, 其研究中, 只有第7茬次的各处理之间有显著差异。
鲜干比反映了植物体内的含水状况, 在土壤含水量或灌溉量较为充足的情况下, 由于紫花苜蓿生长环境的水分充足, 其植物体内含水量也较高, 虽然在灌溉量较大的处理中, 紫花苜蓿的干物质产量增加, 但是其干物质所占的比例却呈现下降的趋势, 因而在灌溉量较高的处理中的鲜干比值较高, 这与Lathwell等[20]的研究结论相同。
本试验的结果中, 茎叶比随着灌溉量的减少而降低, 这是由于在干旱胁迫下, 紫花苜蓿株高降低, 分枝数及节间长度减少, 从而使得叶生物量的比重上升[21], 本试验结论相同[21, 22, 23], 在干旱胁迫下紫花苜蓿的茎叶比呈上升趋势[19, 24]。随着生育期的推进, 紫花苜蓿的株高增加, 呈现出的结果为茎生物量在紫花苜蓿中所占的比重增加, 因而茎叶比也随着生育期的推进而上升, 这与Testa等[25]的研究结论相同。
如本试验的结果所示, 紫花苜蓿的株高和茎叶比随着生育期的推进而上升, 在处理间则随着灌溉量的减少而减少。在紫花苜蓿中, 叶中的粗蛋白含量要高于茎, 而纤维含量则较低[26], 因而紫花苜蓿的品质与株高和茎叶比的变化趋势呈现相关性。因此, 随着紫花苜蓿生育期的推进, 粗蛋白呈现下降的趋势, 而中性洗涤纤维与酸性洗涤纤维呈现上升的趋势, 本研究有相同的结论[27, 28, 29, 30]。而在不同处理间, 由于灌溉量较少的处理中株高和茎叶比降低, 所以相较于灌溉量较大的处理, 其粗蛋白含量上升, 而中性洗涤纤维, 酸性洗涤纤维含量则下降, 本研究的结论相同[14, 19, 22, 30, 31, 32]。但在有的研究中, 虽然中性洗涤纤维或酸性洗涤纤维的含量在干旱条件下较低, 但是其粗蛋白含量却变化不明显[21, 23]。而在Ismail等[19]的研究中, 灌溉量最大的处理中品质较高。
利用田间易测定的指标对紫花苜蓿的品质进行预测, 前人已经做了一些研究, 其研究结果也均表明, 株高或分枝数可以较为准确地预测紫花苜蓿品质[7, 8, 9, 10], 而在紫花苜蓿长势较差, 杂草较多时, 其预测结果则较差, 而其他指标如有效积温或紫花苜蓿的生长阶段与株高的多项拟合结果可以提高
本试验研究了西北旱区喷灌条件下紫花苜蓿生长, 品质指标的变化规律, 并利用生长指标预测紫花苜蓿的品质。结果表明, 随着紫花苜蓿生育期的推进, 各处理间的株高, 茎叶比呈现上升趋势, 鲜干比呈现下降趋势; 随着灌溉量的减少, 生长指标均呈现下降的趋势。品质方面, 由于株高与茎叶比的变化趋势及茎叶中粗蛋白与纤维含量的差别, 使紫花苜蓿的各项品质指标也呈一定的变化规律:所有处理粗蛋白含量随着紫花苜蓿生育期推进呈下降趋势, 而中性洗涤纤维与酸性洗涤纤维则呈现上升的趋势; 中性洗涤纤维与酸性洗涤纤维在灌溉量较少的处理中较低, 而粗蛋白含量则较高。生长指标与品质指标单项拟合的结果表明, 在紫花苜蓿长势良好, 田间杂草较少时, 株高、茎叶比均可以较好地预测紫花苜蓿的品质, 其中株高与品质指标的拟合相关系数R2较高, 而鲜干比与品质并不显著相关。利用株高来预测品质极为简便, 因此, 在我国西北旱区紫花苜蓿的种植中, 在田间管理较好的情况下, 可以通过测量株高来预测品质, 以满足实际生产的需要。
The authors have declared that no competing interests exist.
| [1] |
|
| [2] |
|
| [3] |
|
| [4] |
|
| [5] |
|
| [6] |
|
| [7] |
|
| [8] |
|
| [9] |
|
| [10] |
|
| [11] |
|
| [12] |
|
| [13] |
|
| [14] |
|
| [15] |
|
| [16] |
|
| [17] |
|
| [18] |
|
| [19] |
|
| [20] |
|
| [21] |
|
| [22] |
|
| [23] |
|
| [24] |
|
| [25] |
|
| [26] |
|
| [27] |
|
| [28] |
|
| [29] |
|
| [30] |
|
| [31] |
|
| [32] |
|

