作者简介:安钰(1982-),女,宁夏固原人,副研究员,博士.E-mail: anyu-02@163.com
以宁夏荒漠草原土壤和优势植物为研究对象,分析放牧对荒漠草原生态系统土壤和植物C,N,P化学计量学特征的影响机制.结果表明,土壤C,C∶N,C∶P随着放牧强度的增加呈下降趋势,P呈增加趋势,而N及N∶P呈先增加后下降趋势.不同优势植物N含量对放牧强度的响应存在一定的差异,中度和重度放牧区甘草,砂珍棘豆,山苦荬,牛心朴子N含量明显低于轻度和围封禁牧N含量,牛枝子,短花针茅,中亚白草,刺叶柄棘豆,虫实,猪毛菜,乳浆大戟,骆驼蓬N含量明显高于轻度和围封禁牧N含量,表明适度放牧会显著增加某些物种的N含量;13种优势植物C∶N和C∶P在不同放牧强度下均表现为与N,P的规律相反,且不同优势植物N∶P对放牧强度的响应也存在一定的分异性.优势植物P,C∶P与土壤P,C∶P呈显著正相关,而C,N,C∶N和N∶P与土壤C,N,C∶N和N∶P无显著相关性,说明植物叶片的化学计量特征并非是由土壤养分含量特征直接决定的,而更多是受植物自身遗传特性的影响,体现了荒漠草原优势植物对极端环境具有相对稳定的适应能力.
To determine the effect of grazing intensity on ecological stoichiometry characteristics, we evaluated the carbon (C), nitrogen (N), and phosphorus (P) contents in soil and dominant plants in desert grassland of Ningxia under different grazing intensities. The results showed that the C content and ratios of C∶N and C∶P in soil decreased with increasing grazing intensity, while the P content increased, and the N content and N∶P ratio decreased after an initial increase. The N contents in different dominant plants showed different responses to grazing intensity. The N contents in Glycyrrhiza uralensis, Oxytropis racemosa, Ixeris chinensis, and Cynanchum komarovii were significantly lower under moderate and heavy grazing intensities than under light grazing intensity and no grazing. The N contents in Lespedeza potaninii, Stipa breviflora, Pennisetum centrasiaticum, Oxytropis aciphylla, Corispermum hyssopifolium, Salsola collina, Euphorbia esula, and Peganum harmala were significantly higher under moderate and heavy grazing intensities than under light grazing intensity and no grazing. These results indicated that an appropriate grazing intensity could significantly increase the N content of some species. The trends in C∶N and C∶P ratios in the 13 dominant plants were opposite to the trends in N and P contents under different grazing intensities, and the effect of grazing on the N∶P ratio differed among the different dominant plant species. The P content and C∶P ratio of dominant plants were significantly positively correlated with the P content and C∶P ratio of soil, but there was no correlation between the C and N contents and the C∶N and N∶P ratios in dominant plants and those in soil. These findings indicated that the stoichiometric characteristics of plants were affected by the genetic characteristics of plants, and not directly determined by soil nutrient contents. This helps to explain why dominant plants have a relatively stable ability to adapt the extreme environment in desert grassland.
生态化学计量学主要研究生态系统能量平衡和多重化学元素(主要是C, N和P)平衡的科学, 以及元素平衡对生态交互作用的影响[1].C, N, P作为植物生长发育所必需的化学元素, 在植物生长和各种生理调节机能中发挥着重要作用, 并且C, N, P化学计量特征能够反映植物的生态策略, 如C∶ N和C∶ P反映植物生长速度并与植物氮和磷的利用效率有关, N∶ P则可以反映植物生长受N或P的限制情况[2, 3, 4].目前, 生态化学计量学已经广泛应用于种群动态, 森林演替, 生态系统养分供应与需求平衡, 草地生态系统和碳循环等研究[5, 6, 7].
放牧是草地利用的主要方式之一, 同时也是草地生态系统最重要的人为扰动因素[8, 9].关于放牧对草地植被和土壤生态化学计量特征影响的研究一直是人们关注的主要领域, 但关于放牧对植物和土壤养分特征的影响一直没有定论.目前有关放牧对草原植物影响的研究主要集中在放牧对群落演替过程及演替方向的影响方面[9, 10, 11, 12], 从生态化学计量学的角度探讨植物对放牧的生态适应对策, 以及植物自身如何通过改变养分的利用策略来适应外界环境的变化一直没有定论.Unkovich等[13]认为放牧导致植物叶片N含量降低, 而Frank[14]通过对黄石公园放牧草地研究发现放牧能增加N含量, 对P含量没有影响, 因而枝条中N∶ P增加.李香真等[15]研究表明, 在一定的放牧强度下, 植物和根中C∶ N和C∶ P降低.张文彦等[16]关于典型草原优势植物功能群化学计量特征研究表明, 高寒草地植物的N, P含量高于温性草地植物, 但N∶ P低于温性草地.放牧不仅影响到荒漠草地植被, 同时影响到土壤的生境特征[17].李香真等[15]通过对不同放牧率下土壤养分含量进行分析, 认为重度放牧降低土壤有机质, 全氮的含量, 轻度放牧和中度放牧对养分含量影响不大; 而放牧可以增加黄石公园土壤中的有机碳的含量, 重度放牧没有导致土壤有机碳降低[14].
荒漠草原是干旱, 半干旱区陆地生态系统的主体部分, 荒漠植被对干旱, 半干旱地区生态系统的稳定起着至关重要的作用, 在我国荒漠草原中关于生态化学计量学的研究较少.本研究以植物和土壤C, N, P生态化学计量特征为切入点, 通过分析不同放牧强度下优势植物和土壤C, N, P化学计量特征及其相互关系, 从生态化学计量学的角度揭示荒漠草原退化过程资源利用方式的适应对策, 对于深入理解荒漠草原生态系统植被恢复演替和防止草原退化具有重要作用.
研究区位于宁夏盐池县高沙窝草原资源生态观测站(37° 57' N, 107° 00' E, 海拔14201435 m), 该地区属于典型中温带大陆性气候, 是干旱与半干旱气候的过渡地带.年均气温为8.1 ℃ , 年均无霜期为165 d.年降水量仅250~350 mm, 其中70%以上降水集中在6-9月, 降水年际变化大; 年蒸发量2710 mm.土壤类型以灰钙土为主, 其次是风沙土和黑垆土, 此外还有黄土, 少量盐土, 白浆土等[18, 19].该区植被类型有灌丛, 草原, 草甸, 沙地植被和荒漠植被, 其中灌丛, 草原, 沙地植被数量较大, 分布广泛.典型灌木林有北沙柳(Salix psammophilia)灌丛和小叶锦鸡儿(Caragana microphylla)灌丛.草原分干草原和荒漠草原, 群落中常见植物种类以旱生和中旱生类型为主.典型草原包括大针茅(Stipa grandis), 长芒草(Stipa bungeana), 冰草(Agropyron crisatum), 百里香(Thymus mongolicus)等; 荒漠化草原植被包括川青锦鸡儿(Caragana tibetica), 猫头刺(Oxytropis aciphylla), 西伯利亚白刺(Nitraria sibirica)和盐爪爪(Kalidium foliatum).
1.2.1 样地设置 样地设在宁夏盐池县草原资源生态监测站的围封草地及附近的退化荒漠草地.2004年开始, 每年5月开始放牧, 10月放牧结束.由于长期放牧活动对植被群落有很大的影响, 参照任继周[20]对放牧强度和草地演替阶段的划分标准, 根据草地地上生物量, 家畜理论采食量和草场面积及放牧时间, 设置4个处理:围封禁牧(no grazing, NG, 0只· hm-2), 轻度放牧(light grazing, LG, 0.45只· hm-2), 中度放牧(moderate grazing, MG, 1只· hm-2)和重度放牧(heavy grazing, HG, 1.5只· hm-2), 以围封禁牧作为对照.每个处理重复3次, 共12块样地; 每个放牧强度样地面积为6 hm2, 每个样地地形条件与环境基本一致.
1.2.2 植物样品采集与处理 2011年8月, 选取每个样地中常见的13种优势植物砂珍棘豆(Oxytropis racemosa), 甘草(Glycyrrhiza uralensis), 牛枝子(Lespedeza potaninii), 短花针茅(Stipa breviflora), 蒙古冰草(Agropyron mongolicum), 中亚白草(Pennisetum centrasiaticum), 刺叶柄棘豆(Oxytropis aciphylla), 山苦荬(Ixeris chinensis), 虫实(Corispermum hyssopifolium), 猪毛菜(Salsola collina), 牛心朴子(Cynanchum komarovii), 乳浆大戟(Euphorbia esula)及骆驼蓬(Peganum harmala).在重度放牧, 中度放牧, 轻度放牧和围封禁牧样地随机选择15株植物采样, 在每个植株上选择10个完全伸展, 没有病虫害的成熟叶片, 混匀后带回实验室在105 ℃ 下杀青15 min, 65 ℃ 烘干至恒重, 充分磨碎用于植物样品全C, 全N和全P分析.采用重铬酸钾氧化-外加热法测定植物全C含量, 采用H2SO4-H2O2消煮法测定全N含量, 采用H2SO4-H2O2消煮, 钼锑抗比色法测定全P含量[21].
1.2.3 土壤样品采集与处理 在每个样地内随机设置3个1 m× 1 m的小样方, 每个样方内对表层土壤(010 cm)进行5点取样, 充分混合装入封口袋带回实验室, 在阴凉通风处自然风干, 过2 mm土壤筛并去除枯枝落叶和杂物, 充分研磨后用于土壤有机碳(soil organic carbon, SOC), 全N和全P分析.土壤SOC含量采用重铬酸钾氧化-外加热法测定, 全N含量采用半微量凯氏法测定, 全P含量采用酸溶钼锑抗比色法测定[21].
C, N, P含量以单位质量的养分含量(g· kg-1)表示, C∶ N, C∶ P, N∶ P采用质量比.采用SPSS 20.0统计分析软件对数据进行分析.植物和土壤C, N, P含量和生态化学计量采用One-way ANOVA进行方差分析, 采用LSD法进行多重比较.用Pearson相关系数对植物和土壤C, N, P含量和生态化学计量进行相关分析.
由表1可以看出, 不同放牧强度下土壤C, N, P含量差异显著(P< 0.05), 土壤C含量随着放牧强度的增加而下降, 且围封禁牧与轻度放牧之间土壤C含量差异不显著(P> 0.05), 但均高于中度和重度放牧; 土壤N含量随着放牧强度的增强呈先上升后下降的趋势, 轻度, 中度和重度放牧之间土壤N含量差异不显著(P> 0.05), 但均显著高于围封禁牧; 土壤P含量随着放牧强度的增加而增加, 围封禁牧, 轻度和中度放牧之间土壤P含量差异不显著(P> 0.05), 且均显著低于重度放牧.
由于土壤C, N, P含量不同, 不同放牧强度下土壤具有不同的生态化学计量特征(表1).土壤C∶ N随着放牧强度的增加而下降, 围封禁牧土壤C∶ N显著高于其他放牧强度, 且轻度, 中度和重度放牧之间无显著差异; 土壤N∶ P随着放牧强度的增加呈先上升后下降的趋势, 在轻度放牧下土壤N∶ P达到最大, 与中度放牧之间无显著差异; 土壤C∶ P的变化趋势与C∶ N相同, 重度放牧土壤C∶ P显著低于其他放牧强度, 且围封禁牧与轻度放牧之间无显著差异.
| 表1 不同放牧强度下土壤C, N, P含量及生态化学计量特征 Table 1 Soil C, N, P contents and stoichiometry under different grazing in desert grassland |
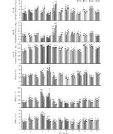
由表2可以看出, 除刺叶柄棘豆, 山苦荬, 虫实以及猪毛菜的N含量以及虫实C含量外, 13种优势植物C, N, P含量在不同放牧强度下均差异显著(P< 0.05).砂珍棘豆C, N, P含量随着放牧强度的增加呈波形趋势, 在中度放牧条件下达到最大值(图1).牛枝子, 短花针茅, 中亚白草及乳浆大戟N, P含量随着放牧强度增强而升高, 除乳浆大戟外, 重度放牧N, P含量显著高于轻度放牧和围封禁牧(P< 0.05).甘草和牛心朴子N, P含量随着放牧强度增加而下降, 重度放牧甘草N, P含量显著低于围封禁牧(P< 0.05).甘草, 牛枝子, 短花针茅, 蒙古冰草, 猪毛菜, 牛心朴子及乳浆大戟C含量随着放牧强度增强呈先升高后下降的趋势, 在轻度放牧条件下达到最大值, 且与中度和重度放牧之间差异显著(P< 0.05).
| 表2 不同放牧强度下优势植物C, N, P含量及生态化学计量特征的方差分析 Table 2 The ANOVA analysis of C, N, P contents and stoichiometry of dominant plants under different grazing intensity |
牛枝子, 中亚白草, 山苦荬, 虫实, 猪毛菜, 牛心朴子及骆驼蓬C∶ N随放牧强度增强呈先升高后下降的趋势(图1), 除牛心朴子外, 在轻度放牧条件下均达到最大值, 轻度放牧牛枝子, 中亚白草C∶ N显著高于中度, 重度放牧(P< 0.05); 砂珍棘豆, 甘草C∶ N随放牧强度增强而升高, 围封禁牧显著低于重度放牧强度(P< 0.05).甘草和骆驼蓬C∶ P在不同放牧强度下差异不显著(P> 0.05), 短花针茅, 刺叶柄棘豆, 乳浆大戟C∶ P随放牧强度增强而下降, 围封禁牧C∶ P显著高于中度, 重度放牧(P< 0.05).甘草, 短花针茅, 蒙古冰草, 中亚白草, 山苦荬N∶ P随放牧强度增强呈先升高后下降的趋势, 除蒙古冰草外, 在轻度放牧条件下均达到最大值; 砂珍棘豆, 牛枝子, 虫实, 骆驼蓬N∶ P随放牧强度增强呈波形趋势, 除虫实和骆驼蓬, 其余在中度放牧条件下达到最大值; 刺叶柄棘豆, 牛心朴子和乳浆大戟N∶ P随放牧强度增强而减少, 围封禁牧牛心朴子和乳浆大戟N∶ P显著高于其他放牧强度(P< 0.05), 且轻度, 中度, 重度放牧之间差异不显著.
由表3看出, 优势植物C含量与土壤C, N, P含量及生态化学计量间均无显著相关性; 优势植物N含量与土壤C, N含量及C∶ N和N∶ P相关性不显著, 但是与土壤P含量呈显著正相关, 与C∶ P呈显著负相关; 优势植物P含量与土壤N, C∶ N及N∶ P无显著相关性, 但与土壤C含量和C∶ P呈显著负相关, 与土壤P含量呈显著正相关.优势植物C∶ N与土壤P含量呈极显著负相关, 与C∶ P呈显著正相关; 优势植物C∶ P与土壤C含量及C∶ P呈显著正相关, 与P含量呈显著负相关; 优势植物N∶ P与土壤C, N, P含量及化学计量比均无显著相关性.
| 表3 土壤和优势植物C, N, P含量及化学计量比之间的相关性 Table 3 Relationships between soil and dominant plants C, N, P contents and stoichiometry in desert steppe |
关于放牧对草地土壤养分含量的影响一直没有定论[14, 15, 22], 一种观点认为放牧可以增加土壤有机碳等元素含量, 第二种观点则反之, 第三观点认为放牧与土壤养分含量之间的关系复杂, 并非简单的线形关系.本研究表明随着放牧强度的增加草地土壤C含量呈下降的趋势, 重度和中度放牧土壤C含量显著低于围封禁牧和轻度放牧, 这与李香真等[15]的研究结果相一致.本研究显示草地土壤N含量随着放牧强度的增加呈先上升后下降的趋势, 在轻度放牧下达到最大值, 与放牧对典型草原土壤N含量的影响结论相一致[22].放牧对草地土壤养分影响的研究结果不尽一致的原因可能是由于放牧对土壤的影响受到多方面因素的影响, 也与土壤对外界环境的反应具有一定的滞后性和缓冲性有关.土壤C∶ N, C∶ P通常反映有机质的分解与积累, 在一定范围内作为土壤肥力的指标, 影响着植物体的养分积累和分配.本研究表明随着放牧强度的增加土壤C∶ N, C∶ P下降, 这与张婷等[23]的研究结果相似.主要原因分析为:一方面由于放牧改变了土壤呼吸的微环境, 使土壤的物理性质及微生物的生存环境有所改变, 增加了N, P的矿化; 另一方面由于家畜排泄物含有大量N, P元素, 使微生物的活性增强, N, P矿化作用加强[15].
C, N, P作为植物生长发育所必需的化学元素, 在植物生长和各种生理调节机能中发挥着重要作用.植物体内的物质由结构性物质, 功能性物质和贮藏性物质3类组成, 一般情况下, C是结构性物质, N和P是功能性物质.对于同一物种来说, 结构性物质受环境的影响较小, 含量相对稳定, 而功能性和贮藏性物质的含量受环境影响较大[24].有研究表明, 放牧对植物C, N, P含量影响主要通过以下两个方面实现:一方面放牧通过改变植物的形态和功能, 使C同化和积累的能力发生变化; 另一方面, 放牧后凋落物数量改变以及动物粪便可直接改变土壤营养状况; 同时, 动物践踏也使土壤理化性质发生改变, 影响根系对土壤C, N, P的吸收, 最终使植物的C, N, P含量及计量关系发生变化[25].本研究表明不同放牧强度对不同优势植物的C, N, P含量及其生态化学计量学特征的影响不同.不同优势植物N含量对放牧强度的响应存在一定的差异, 中度和重度放牧区甘草, 砂珍棘豆, 山苦荬, 牛心朴子N含量明显低于轻度和围封禁牧N含量, 而牛枝子, 短花针茅, 中亚白草, 刺叶柄棘豆, 虫实, 猪毛菜, 乳浆大戟, 骆驼蓬N含量明显高于轻度和围封禁牧N含量, 证实了适度放牧会显著增加某些物种的N含量, 这也是草原植物超补偿生长的一种表现[26].
植物叶片C∶ N和C∶ P意味着植物吸收营养所能同化C的能力, 在一定程度上反映了植物的营养利用效率[2, 3].一般情况下, C的含量比较稳定, 变异较小, C∶ N和C∶ P的变化主要由N, P的变化决定[24].本研究中13种优势植物C∶ N和C∶ P在不同放牧强度下均表现为与N, P的规律相反, 这说明N, P的变化决定了C∶ N和C∶ P的变化, 与徐沙等[24]的研究结果一致.同时, 李香真等[15]研究表明在一定的放牧强度下, 随着放牧强度的增加, 植物C∶ N, C∶ P变小, 放牧强度再增加, 则使植物C∶ N, C∶ P增加.本研究中砂珍棘豆, 虫实, 猪毛菜, 牛心朴子, 骆驼蓬C∶ P随着放牧强度的增加呈先下降后升高的趋势, 这与李香真等[15]关于较低的C∶ P表征植物较快的生长速率, 用以满足植物快速生长需要的结论相佐证, 说明相对于其他优势植物砂珍棘豆, 虫实等植物在轻度放牧条件下生长速度相对较快.植物N∶ P则是决定群落结构和功能的关键性指标, 并且在一定程度上反映了生态系统生产力受N, P养分的限制格局[4].本研究表明不同优势植物N∶ P对放牧强度的响应也存在一定的分异性.随着放牧强度的增加, 甘草, 短花针茅, 蒙古冰草, 中亚白草, 山苦荬N∶ P呈先升高后下降的趋势, 除蒙古冰草外, 其余在轻度放牧条件下最高; 刺叶柄棘豆, 牛心朴子, 乳浆大戟则随着放牧强度增加而减少, 在重度放牧条件下最低; 表明不同植物利用养分的策略可能不同.欧洲湿地植物施肥作用的研究表明, 当植物N∶ P> 16表现为受P的限制, N∶ P< 14表现为受N的限制, 16> N∶ P> 14表现为受N和P的限制或者同时不受二者限制[27].不同放牧强度下砂珍棘豆, 中亚白草, 虫实, 猪毛菜, 骆驼蓬N∶ P< 14, 表明其均在生长过程中受N限制, 短花针茅N∶ P> 16受P限制, 其他优势植物在不同放牧梯度下表现为不同的养分限制, 这可能与植物的生活型及植物自身的遗传特性有关.因放牧对于生态系统的影响是一个长期的过程, 同时受到自然因素和其他因素的共同影响, 因此, 揭示生态系统对放牧的响应需要做更为深入的研究.
近年来的研究表明, 草原生态系统中植被与土壤之间构成一个相互作用, 相互影响, 相互制约协调发展的统一系统.而土壤作为植物的重要生态因子, 直接影响植物群落动态变化[17].植物的养分含量反映了土壤养分供应和植物养分需求间的动态平衡.生态系统内植物和土壤P含量往往具有一定的相关性, 植物体内的P绝大多数由根系从土壤中吸收[28].本研究中优势植物P, C∶ P与土壤P, C∶ P呈显著正相关, 这与耿燕等[28]的研究结果一致, 表明土壤P对优势植物生长具有限制作用, 土壤中P含量的高低在很大程度上决定了优势植物叶片对P的吸收.而优势植物C, N, C∶ N和N∶ P与土壤C, N, C∶ N和N∶ P无显著相关性, 表明植物叶片化学计量特征除了受土壤养分的影响之外, 更多的是与物种及植物自身对生境的适应性有关, 当养分元素相对匮乏的条件下, 荒漠草原优势植物形成了具有自身独特的化学计量特征和生理生态, 体现了荒漠草原优势植物对极端环境具有相对稳定的适应能力.
1)不同放牧强度对植物C, N, P含量的影响不同, 13种优势植物C∶ N和C∶ P在不同放牧强度下均表现为与N, P的规律相反, 这说明N, P的变化决定了C∶ N和C∶ P的变化, 且不同优势植物N∶ P对放牧强度的响应也存在一定的分异性, 表明不同植物利用养分的策略可能不同.
2)放牧强度对土壤C, N, P含量有明显影响.土壤C含量随着放牧强度的增加呈下降趋势, 土壤全P含量呈增加趋势, 而土壤全N含量呈先增加后下降趋势; C∶ N, C∶ P随着放牧强度的增加呈下降趋势, 而土壤N∶ P呈先上升后下降的趋势.
3)土壤中P含量的高低在很大程度上决定了优势植物叶片对P的吸收, 而土壤C, N对优势植物的直接影响不大, 说明植物叶片化学计量特征并非是由土壤养分含量特征直接决定的, 而更多是受植物自身遗传特性的影响.
The authors have declared that no competing interests exist.
| [1] |
|
| [2] |
|
| [3] |
|
| [4] |
|
| [5] |
|
| [6] |
|
| [7] |
|
| [8] |
|
| [9] |
|
| [10] |
|
| [11] |
|
| [12] |
|
| [13] |
|
| [14] |
|
| [15] |
|
| [16] |
|
| [17] |
|
| [18] |
|
| [19] |
|
| [20] |
|
| [21] |
|
| [22] |
|
| [23] |
|
| [24] |
|
| [25] |
|
| [26] |
|
| [27] |
|
| [28] |
|

