作者简介:朱娟娟(1981-),女,宁夏银川人,讲师,博士。E-mail:zjj0954@163.com
为了提高饲用苎麻营养价值,本研究采用随机区组设计,以苎麻饲用专用品种“中饲苎1号”为研究试材,通过两年大田试验和一年盆栽试验,土壤基施不同量亚硒酸钠(0、0.25、0.50、0.75和1.00 kg Se·hm-2),研究外源硒对饲用苎麻草产量、粗蛋白、粗脂肪、粗灰分、中性洗涤纤维、酸性洗涤纤维、相对饲喂价值和营养元素硒(Se)、磷(P)、钾(K)及钙(Ca)含量的调控。结果表明,外源硒对饲用苎麻草产量无显著性影响,而对其营养价值有一定的影响,但变化幅度因施硒量、年份和刈割时间有所不同。与对照相比(0 kg Se·hm-2),0.25、0.50、0.75和1.00 kg Se·hm-2处理中2年大田试验平均粗蛋白含量分别提高1.52%、0.96%、-0.10%和-4.29%;粗脂肪含量分别下降0.25%、3.93%、1.54%和9.34%;粗灰分含量分别提高1.37%、1.23%、2.29%和0.85%;酸性洗涤纤维含量分别增加1.92%、2.15%、2.32%和3.22%;中性洗涤纤维含量变幅分别为-2.97%、-0.97%、2.01%和2.63%;相对饲喂价值变幅分别为1.74%、-0.103%、-3.14%和-4.30%;Ca含量变幅分别为0.07%、-2.01%、1.27%和-0.59%;P含量分别提高7.26%、7.68%、4.63%和4.54%;K含量分别变幅分别为4.59%、12.31%、-2.04%和2.83%;Se含量随着施硒量的增加逐渐增加,最高可达到2.07 mg·kg-1。通过主成分分析结合模糊数学中隶属函数法综合评价表明,0.25~0.50 kg Se·hm-2为该地区效果最佳施硒量,有利于提高饲用苎麻的营养价值。
The aim of this study was to improve the nutritional value of forage ramie by providing optimal selenium (Se) nutrition. The effects of different Se doses on the grass yield and nutritive values of forage ramie were determined using the forage ramie cultivar “Zhongsizhu No1” as the experimental material. The experiments consisted of a pot experiment (1 year) and a field experiment (2 years) with a randomized block design. The doses of applied selenium were 0, 0.25, 0.50, 0.75, and 1.00 kg Se·ha-1, applied as sodium selenite. We determined nutritive values including crude protein (CP), crude fat (CF), ash, neutral detergent fiber (NDF), acid detergent fiber (ADF), and relative feeding value (RFV), and the contents of Se, phosphorus (P), potassium (K), and calcium (Ca). The results showed that exogenous Se had no significant effect on the grass production of forage ramie. Exogenous Se had some effects on nutritional values, but these effects varied depending on the Se dose, cutting time, and year. In the 2-year field experiment with Se doses of 0.25, 0.50, 0.75, and 1.00 kg Se·ha-1, on average, crude protein content was increased by 1.52%, 0.96%, -0.10%, and -4.29%, respectively; crude fat content was decreased by 0.25%, 3.93%, 1.54%, and 9.34%, respectively; ADF content was increased by 1.92%, 2.15%, 2.32%, and 3.22%, respectively; crude ash content was increased by 1.37%, 1.23%, 2.29%, and 0.85%, respectively; the change in NDF content was -2.97%, -0.97%, 2.01%, and 2.63% respectively; the change in RFV content was 1.74%, -0.103%, -3.14%, and -4.30% respectively; the change in Ca content was 0.07%, -2.01%, 1.27%, and -0.59%, respectively; the change in P content was 7.26%, 7.68%, 4.63%, and 4.54%, respectively; and the change in K content was 4.59%, 12.31%, -2.04%, and 2.83%, respectively, compared with the control (0 kg Se·ha-1). The Se content in forage ramie increased with increasing doses of applied Se, reaching a maximum of 2.07 mg·kg-1. A comprehensive evaluation by principal component analysis combined with the membership function method showed that the range of 0.25-0.50 kg Se·ha-1 was optimal for Se application in this region to improve the nutritional value of forage ramie.
苎麻(Boehmeria nivea)又叫“ 中国草” , 为荨麻科苎麻属多年生宿根性草本植物, 是我国传统的纤维作物。20世纪80年代初, 湖南农业大学对苎麻叶的饲用价值进行研究, 结果表明苎麻叶营养丰富, 嫩茎叶的营养价值与全世界公认的“ 牧草之王” — — 苜蓿(Medicago sativa)相近, 是很好的植物蛋白饲料原料[1, 2]。嫩茎叶干料中含粗蛋白23%、粗纤维16.5%、钙3.64%、磷0.33%, 还含有丰富的类胡萝卜素、微量元素和维生素; 苎麻蛋白质的氨基酸组成合理, 高赖氨酸含量是苎麻蛋白质最突出的特点, 许多苎麻品种的赖氨酸含量超过1%[1]。苎麻的生物学特性也使苎麻作为蛋白质饲料开发具有很大的优势。苎麻是多年生作物, 其生态适应性强, 生物产量大, 在高温高湿的气候条件下也能很好地生长。在我国南方, 由于夏季高温高湿, 不适宜种植苜蓿, 但种植苎麻能获得很高的生物产量。曾日秋等[3]通过对20个苎麻品种进行营养价值分析, 发现饲用苎麻均含有17种氨基酸, 氨基酸总量同时接近或超过联合国粮食组织和世界卫生组织(FAO/WHO)提出的参考蛋白模式必需氨基酸与总氨基酸(EAA/TAA)比值达40%左右和必需氨基酸与非必需氨基酸(EAA/NAA)比值应在0.6以上的标准, 因此, 苎麻是一种营养丰富的植物蛋白饲料, 将成为我国南方优质的饲料作物。
硒元素对高等植物的生长发育具有重要的生理功能作用, 是植物有益元素之一, 甚至一些研究者认为硒是植物生长所必需的微量元素[4]。硒是谷胱甘肽过氧化物酶(GSH-Px)的必须组分, GSH-Px可清除脂氢过氧化物所产生的自由基, 降低膜受过氧化损害, 维持植物抗氧化系统, 从而保证叶绿体膜结构完好, 减轻氧化损伤。同时, 硒元素能够调节植物水分状况, 增加植物叶片净光合速率、水分含量、呼吸强度、光系统II(PSII)能量转化效率, 从而达到增加产量的效果[5, 6, 7, 8, 9]。然而, 硒对植物体而言是把双刃剑, 适宜浓度可以恢复胁迫下受损的叶绿体结构和功能并促进植物生长, 高浓度则导致叶绿体结构破坏加剧, 抑制光合作用, 从而造成植物体死亡。前人研究证明, 在缺硒的土壤上适当基施硒肥不仅增加牧草硒元素含量而且能够增加牧草生物产量、株高、叶茎比, 促进牧草生长发育, 同时提高植株粗蛋白、粗脂肪含量, 降低粗纤维含量, 提高植株抗氧化作用的能力; 但超过一定范围时牧草中的粗蛋白质和无氮浸出物含量呈下降趋势, 而粗灰分和粗纤维的含量呈上升趋势, 同时植株抗氧化能力受到抑制[10, 11, 12, 13]。国内外学者致力于苎麻的研究, 遍及各个方面如形态结构、组织培养、饲用价值、遗传转化、分子生物学、化学成分以及多用途的研究等, 但对微量元素如何影响饲用苎麻营养价值的研究较少, 尤其是硒元素对饲用苎麻营养价值的影响尚未见报道。传统中苎麻主要用于纤维生产, 其含硒量的研究意义不大; 但目前随着对苎麻饲用化研究的深入, 探索苎麻植株体内含硒量对家畜生长发育具有重要意义。众所周知, 饲草中硒元素含量不足时, 不仅影响家畜的食欲, 而且降低家畜对疾病的抵抗力和畜产品的质量, 严重时引发各种疾病, 如禽的渗出性素质、胰腺坏死以及蛋孵化率降低等, 而动物体内硒的含量与饲草中硒的水平正相关[14, 15]。故本研究以苎麻饲用专用品种“ 中饲苎1号” 为研究试材, 通过两年田间试验和一年盆栽实验, 研究基施硒元素对饲用苎麻生物量和营养价值的影响, 旨为深入挖掘苎麻饲用价值提供理论基础。
1.1.1 大田试验 试验分别于2015和2016年6-10月在中国农业科学院麻类研究所长沙望城试验基地(北纬28° 31'; 东经112° 86'; 海拔45 m)进行。该试验基地属亚热带季风气候带, 春季温度变化大, 夏初雨水多, 伏秋高温旱, 冬季少严寒; 平均温度为17.2 ℃, 年均降水量约1370 mm, 年无霜期约270~300 d, 年平均日照时数为1610.5 h, 年积温为5457 ℃。土壤类型为红壤土, 肥水条件优良, 供试苎麻采用扦插繁殖方式, 于2014 年4月进行扦插, 9 月移栽种植。试验小区面积为4.5 m(长)× 3 m(宽)=13.5 m2, 每小区5行, 行距为 60 cm, 株距50 cm。刈割后施尿素300 kg· hm-2, 试验期间田间管理一致, 同时做好病虫害防治工作。
1.1.2 盆栽试验 由于大田试验中土壤水分难以控制, 为了补充和完善大田试验, 于2016年4-8月在中国农业科学院麻类研究所日光温室中进行盆栽试验。供试土壤为中国农业科学院麻类研究所长沙望城试验基地0~30 cm的红壤土, 其田间最大持水量为 63.8%。试验前土壤自然风干, 过筛去杂后装盆, 每盆(直径 36 cm, 高 28 cm)盛干土 20 kg, 然后每盆施入7.5 g 复合肥。
供试苎麻为两年生第二茬, 品种为“ 中饲苎1号” , 是由中国农业科学院麻类研究所选育的苎麻饲用专用品种。
1.3.1 大田试验 本试验采用完全随机区组设计, 共设计5个硒肥量处理, 每处理重复3次。施入量分别为0、0.25、0.50、0.75和1.00 kg Se· hm-2, 硒肥为亚硒酸钠。2015和2016年均为头麻收割后, 开始试验处理, 具体操作方法为:每次刈割后, 将各处理中所施亚硒酸钠溶于1 L蒸馏水中均匀喷施于试验小区土壤上, 随后按照常规方法进行管理。硒肥处理后, 每当苎麻高度为65 cm左右时开始刈割取样, 2015年共刈割3次, 2016年刈割2次。一般选择在晴天下午没有露水时进行, 除去边际麻蔸, 每小区选取中间3行测定苎麻鲜重。随后, 每个小区称取1 kg左右鲜样, 带至实验室烘箱高温杀青(105 ℃, 15 min), 在65 ℃下直至烘干。烘干样品自然回潮, 用小型粉碎机粉碎, 粉碎后用密封袋密封, 待以后测定苎麻植株中营养元素含量和饲用品质性状。
1.3.2 盆栽试验 本试验采用完全随机区组设计, 共设计7个硒肥量处理, 每处理重复3次。施硒量分别为0、0.15、0.35、0.55、0.75、0.95和1.15 kg Se· hm-2, 硒肥为亚硒酸钠。根据公式Sef=Sepot/Af× 10000/1000折算为盆栽时的施硒量, 其中 Sef 为田间每公顷的施硒量(kg Se· hm-2); Sepot为试验中每盆的施硒量 (g Se· pot-1); Af为田间每株苎麻的面积。2016年4月26日进行不同施硒量处理, 将亚硒酸钠溶解于蒸馏水中均匀喷洒于土壤中并混匀, 待平衡一周后移栽苎麻扦插苗, 当苎麻高度为70 cm左右时收割取样, 测定苎麻鲜重, 随后带至实验室烘箱高温杀青(105 ℃, 15 min), 在65 ℃下直至烘干, 测定苎麻干重。本试验共收割两次。
1.4.1 苎麻地上生物量 采用称重法进行测定。
1.4.2 苎麻营养价值 将采集的苎麻植株样品洗净尘沙, 经杀青(105 ℃, 30 min)、70 ℃烘至恒重、不锈钢粉碎机粉碎, 过1 mm尼龙筛。采用凯氏定氮法测定粗蛋白(crude protein, CP), 索氏提取法测定粗脂肪(crude fat, CF)、灼烧法测定粗灰分(crude ash, Ash); 按照国家标准(GB/T 6434-2006)方法测定范氏中性洗涤纤维(neutral detergent fiber, NDF)与酸性洗涤纤维(acid detergent fiber, ADF)等营养成分含量。磷、钾和钙含量采用微波消解-电感耦合等离子体发射光谱仪(ICP-AES)测定; 硒含量采用氢化物-原子荧光光谱法(GB5009.93-2010)测定。相对饲喂价值(relative feeding value, RFV)根据NDF和ADF含量计算, 其计算公式为[16]:
RFV=[(88.9-0.779× ADF)× (120/NDF)/1.29]× 100%
本试验采用SAS 12.1统计分析软件进行方差分析, 不同处理间差异比较采用最小显著差别(least significant difference, LSD)法进行多重比较, 利用Microsoft Excel 2013和Sigma Plot 10.0软件作图。采用主成分分析和模糊数学隶属函数进行综合评价, 选择大田试验地上总生物量(fresh weight, FW)、CP、CF、Ash、NDF、ADF、P、K、Ca和Se含量及RFV共11项指标在2015和2016年的平均值进行比较。不同处理中饲用苎麻营养价值的综合评价指数(nutritional value index, NVI)计算方法和操作步骤为:
式中, Wi为各指标权重, Ni为各指标隶属度, NVI值的范围为0~1, 高NVI值代表饲用苎麻营养价值良好。其中, 各指标权重均由主成分分析获得, 评价指标权重值为各指标公因子方差占总公因子方差之和的比[17, 18]。
评价指标的隶属度由其所属的隶属度函数确定。隶属函数可将各指标归一化, 转化为0~1 的无量纲值。根据各指标对饲用苎麻营养价值的影响, 总生物量、CP、CF、Ash、P、K、Ca和RFV隶属函数采用升型函数; NDF和ADF隶属函数采用降型函数; 根据GB 26418-2010规定, 饲料中Se含量最大允许量为0.5 mg· kg-1, 则Se隶属函数采用抛物线函数。评价指标的最小值和最大值作为函数的转折点[19, 20, 21], 由于牧草中某一养分含量不可能为零, 因此最小值参考金慧芳等[21]设置为0.1, 则隶属度值取值范围为0.1~1.0, 最大值1.0表示牧草营养价值最高, 最低值0.1表示牧草营养价值最低。因此, 隶属函数升型、降型以及抛物线型表达式如下:
升型函数:0.9× (Xi-Xmin)/(Xmax-Xmin)+0.1
降型函数:0.9× (Xmax-Xi)/(Xmax-Xmin)+0.1
抛物线型函数:
由图1可知, 硒元素对苎麻草产量无显著性影响(P> 0.05), 考虑到大田试验受外界环境影响较大, 为了减少外界环境干扰, 2016年开展了温室盆栽试验。盆栽条件下不同施硒量对苎麻草产量的影响如图2所示, 其结果与大田试验相一致, 进一步表明硒元素对饲用苎麻草产量无显著性影响。
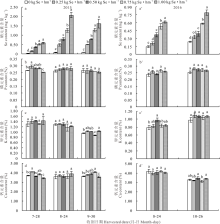
2.2.1 不同施硒量对饲用苎麻CP、CF和Ash含量的影响 由图3可知, 施用硒肥能够改善饲用苎麻营养价值, 但不同年份和不同刈割次数表现有所不同。由图3a可知, 2015年第1次施硒刈割后, 与对照相比, 0.25、0.50和0.75 kg Se· hm-2处理的CP含量分别增加17.1%、5.2%和6.7%, 但0.50和0.75 kg Se· hm-2处理与对照间无显著性差异(P> 0.05); 1.00 kg Se· hm-2的CP含量显著(P< 0.05)降低。第2次施硒刈割后, 0.25、0.50、0.75和1.00 kg Se· hm-2处理的CP含量较对照增加3.13%、7.41%、3.70%和0.28%, 但均与对照间无显著性差异。第3次施硒刈割后, 0.25、0.50、0.75和1.00 kg Se· hm-2处理的CP含量较对照分别增加7.6%、13.0%、16.2%和15.4%, 其中0.75和1.00 kg Se· hm-2处理与对照存在差异显著性。由图3a'可知, 2016年两次收获中施硒处理中苎麻CP含量与对照间均无显著性差异; 而0.5 kg Se· hm-2处理中苎麻CP含量在第2次收获中显著高于1.00 kg Se· hm-2处理。
饲料中的脂肪为动物提供能量, 测定其CF含量, 可以作为鉴别其品质优劣的一个指标。2015年第1次施硒刈割后, 0.25、0.50、0.75和1.00 kg Se· hm-2处理的CF含量较对照增加2.9%、32.4%、32.4%和2.9%, 且0.50和0.75 kg Se· hm-2处理与对照间存在差异显著性; 第2次和第3次施硒刈割后, 施硒处理中苎麻CF含量与对照间均无显著性差异(图3b)。2016年第1次施硒刈割后, 仅0.50 kg Se· hm-2处理中苎麻CF含量略高于对照, 增加幅度为9.0%, 而其他施硒处理的CF含量略低于对照, 但与对照间均无显著性差异; 第2次施硒刈割后, 施硒处理的CF含量均高于对照, 且0.50 kg Se· hm-2处理与对照间存在显著差异(图3b')。
粗灰分主要为牧草中的矿物盐或无机盐类, 是评价牧草质量的指标之一。由图3c和c'可知, 施用硒元素能够提高苎麻Ash含量, 但不同处理、不同年份和不同刈割时间, 灰分增加幅度有所不同。2015年第1次施硒刈割后, 施硒处理的Ash含量均显著(P< 0.05)高于对照, 0.25、0.50、0.75和1.00 kg Se· hm-2处理中Ash含量分别增加22.5%、10.5%、17.7%和6.7%; 且0.25和0.75 kg Se· hm-2处理的Ash含量显著高于0.50和1.00 kg Se· hm-2处理。第2次施硒刈割后, 1.00 kg Se· hm-2处理的Ash含量均显著(P< 0.05)高于对照, 而其他硒处理与对照间均无显著性差异。第3次施硒刈割后, 施硒处理的Ash含量与对照间均无显著性差异。2016年两次收获中, 喷硒处理的Ash含量与对照间均无显著性差异。总体而言, 与对照相比, 0.25、0.50 、0.75和1.00 kg Se· hm-2处理中2年大田试验平均粗蛋白含量分别提高1.52%、0.96%、-0.10%和-4.29%; 粗脂肪含量分别下降0.25%、3.93%、1.54%和9.34%; 粗灰分含量分别提高1.37%、1.23%、2.29%和0.85%。
2.2.2 不同施硒量对饲用苎麻NDF、ADF含量及RFV的影响 由图4可知, 外源硒对饲用苎麻NDF、ADF含量和RFV的影响因年份不同而有所不同。由图4a可知, 2015年第1次施硒刈割后, 0.25、0.50、0.75和1.00 kg Se· hm-2处理中苎麻NDF含量较对照增加14.0%、15.9%、8.1%和8.5%, 且0.25和0.50 kg Se· hm-2处理与对照间存在差异显著性(P< 0.05)。第2次施硒刈割后, 结果与第1次基本相同, 且0.75和1.00 kg Se· hm-2处理与对照间存在差异显著性(P< 0.05)。第3次施硒刈割后, 仅0.50 kg Se· hm-2处理中苎麻NDF含量显著高于对照(P< 0.05)。由图4b可知, 硒元素对苎麻酸性ADF含量影响较小, 只有2015年第3次施硒刈割后, 0.25、0.50、0.75和1.00 kg Se· hm-2处理的ADF含量较对照增加9.48%、9.14%、10.63%和6.61%, 且0.50 kg Se· hm-2处理与对照间无显著性差异。由图4c可知, 除第1次收割中0.75 kg Se· hm-2处理中RFV显著高于对照外, 其余硒处理中饲用苎麻RFV均低于对照。2016年两次收获中, 外源硒对饲用苎麻NDF、ADF和RFV均无显著性影响(图4a'、b'和c')。总体而言, 与对照相比, 0.25、0.50 、0.75和1.00 kg Se· hm-2处理中2年大田试验平均酸性洗涤纤维含量分别增加1.92%、2.15%、2.32%和3.22%; 中性洗涤纤维含量变幅分别为-2.97%、-0.97%、2.01%和2.63%; 相对饲喂价值变幅分别为1.74%、-0.103%、-3.14%和-4.30%。
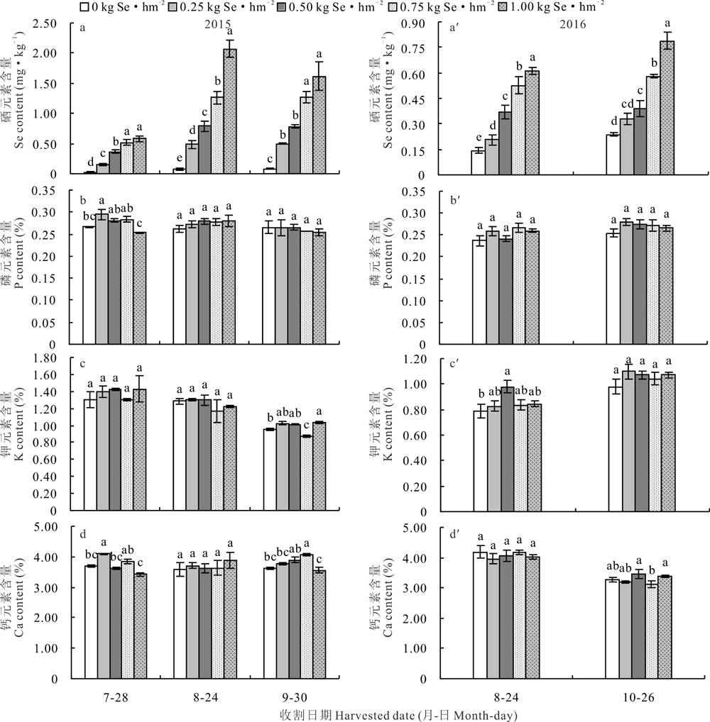
2.2.3 不同施硒量对饲用苎麻营养元素含量的影响 由图5a和5a'可知, 土壤施硒能显著提高苎麻硒含量, 且随着施硒量的增加, 苎麻Se含量也随之增加, 最高可达到2.07 mg· kg-1。2015和2016年施硒刈割后, 施硒处理中苎麻P和K含量均略有提高, 除2016年第1刈割后0.50 kg Se· hm-2处理的K含量显著高于对照外, 其他时期施硒处理与对照间均无显著性差异(图5b、5b'、5c和5c')。但施硒处理间相比较, 2015年第1次收获的苎麻中, 0.25 kg Se· hm-2处理的P含量与1.00 kg Se· hm-2处理间存在显著性差异; 第3次收获的苎麻中, 0.75与1.00 kg Se· hm-2处理间K含量存在显著性差异(图5b和5c)。2015年第1次施硒刈割后, 仅0.25 kg Se· hm-2处理中苎麻Ca含量显著高于对照(P< 0.05), 其他处理与对照间均无显著性差异(P> 0.05)(图5d)。施硒处理中, 0.25和0.75 kg Se· hm-2处理的Ca含量与1.00 kg Se· hm-2存在显著性差异。第2次施硒刈割后, 施硒处理中苎麻Ca含量略高于对照, 但与对照间均无显著性差异。第3次施硒刈割后, 0.75 kg Se· hm-2处理中苎麻Ca含量显著高于对照(P< 0.05), 其他处理与对照间均无显著性差异。同时, 施硒处理中, 0.75与1.00 kg Se· hm-2处理间Ca含量存在显著性差异。2016年两次收获中, 施硒处理中苎麻Ca含量与对照间均无差异显著性; 但第2次收获中0.50和1.00 kg Se· hm-2处理的Ca含量显著高于0.75 kg Se· hm-2处理 (图5d')。总体而言, 与对照相比, 0.25、0.50、0.75和1.00 kg Se· hm-2处理中2年大田试验平均P含量分别提高7.26%、7.68%、4.63%和4.54%; K含量变幅分别为4.59%、12.31%、-2.04%和2.83%; Ca含量变幅分别为0.07%、-2.01%、1.27%和-0.59%。
表1显示苎麻营养价值指标间具有显著的相关性(P< 0.05), 其中Ash与CF、Ca和RFV显著正相关, 与NDF、K、CP和FW显著负相关; CF与RFV显著正相关, 与NDF、K、P、CP、和FW显著负相关; NDF与K、CP、FW和Se显著正相关, 与RFV显著负相关; K与CP和FW显著正相关, 与RFV显著负相关; P与CP显著正相关; CP与RFV负相关, 而与FW正相关; RFV与FW和Se均负相关。如果直接用上述指标进行不同处理中饲用苎麻营养价值的综合评价, 必然造成信息的重叠, 从而影响评价结果的客观性。因此, 本研究以主成分分析为基础, 运用加权综合法和模糊数学中的加乘法进行综合评价。
| 表1 饲用苎麻营养价值指标间的相关系数 Table 1 Person correlation coefficient of nutritional value indicators in ramie |
采用主成分分析结合模糊数学理论, 选取大田试验条件下不同处理饲用苎麻的FW、CP、CF、Ash、NDF、ADF、P、K、Ca和Se含量及RFV共11项指标在2015和2016年的平均值进行主成分分析, 运用加权综合法和模糊数学中的加乘法进行综合评价。由表2可知, 不同处理中饲用苎麻营养价值综合评价指数(nutritional value index, NVI)依次为0.25> 0.50> 0.75> 0> 1.00 kg Se· hm-2。
| 表2 不同处理各指标权重、隶属度均值和营养价值综合评价指数(NVI)及排名 Table 2 Person correlation coefficient of nutritional value indicators in ramie |
硒元素对高等植物的生长发育具有重要的生理作用和功能, 甚至一些研究者认为硒是植物生长所必需的微量元素[22]。然而, 硒元素对植物是一把双刃剑, 适宜浓度能促进植物的生长代谢、提高产量、改善品质, 并增强植物的抗氧化性和抗逆性; 而过量浓度抑制植物的生长发育, 对植物有毒害作用[5, 6, 7, 8, 9]。同时, 不同种类植物对硒元素的表现也存在一定的差异性。
翁伯琦等[23]研究表明, 土壤施硒量低于 0.15 kg· hm-2时, 圆叶决明(Chamaecrista rotundifolia)的株高、茎叶干重及总生物量随施硒量的增加而逐渐提高; 刘巘等[13]研究表明, 适量施硒可提高紫花苜蓿产量、株高、叶茎比, 促进其生长, 以施硒 0.45 kg· hm-2 效果最好; Lyons 等[24]研究表明, 水培条件下硒元素能够使油菜(Brassica campestris)种子产量增加 43%。然而, Duma 等[25]利用水培试验研究表明, 营养液中添加硒元素对莴苣(Lactuca sativa)产量无显著性影响; Longchamp 等[26]也指出营养液中添加硒元素对玉米(Zea mays)幼苗生物量无显著性影响。本研究通过两年大田试验和一年盆栽试验均表明硒元素对饲用苎麻草产量无显著性影响, 该结果与Cartes等[27]的盆栽试验和Broadley等[28]、Põ ldma等[29]、Chilimba等[30]的大田试验结果相同。由于土壤中硒元素的有效性与pH值密切相关, 酸性土壤中硒元素与土壤矿物能够形成难溶的氧化物或水合氧化物, 并且硒酸根离子或亚硒酸根离子更易被黏土矿物吸附, 导致有效性降低[31]。南方地区土壤偏酸, 硒的有效性差, 并且南方地区容易出现暴雨导致部分硒元素的流失从而降低其生物有效性, 从而导致硒元素对饲用苎麻草产量无显著性影响。
外源硒被植物吸收后可转换成多种硒形态, 主要以硒蛋白、硒多糖以及含硒核糖核酸等形式存在, 其中硒蛋白是大分子硒的主要存在形态, 能以硒代氨基酸的形式参与蛋白质合成, 从而对植物体内氮代谢、氨基酸代谢产生影响[13, 32], 故硒元素对牧草品质有显著性影响, 但影响程度因牧草种类、施用方式和品种而异, 如适量土壤施硒能够增加黑麦草(Lolium perenne)和紫花苜蓿粗蛋白、粗灰分和粗脂肪含量, 降低粗纤维含量[11, 33]; 增加裸燕麦(Avena chinensis)粗灰分、粗脂肪和粗纤维含量, 降低粗蛋白质和无氮浸出物含量[12]; 但刘世亮等[32]采用叶面喷硒, 紫花苜蓿粗纤维和粗脂肪含量明显提高, 而对粗蛋白质、粗灰分和无氮浸出物含量无显著性影响。本研究表明, 当施硒量为0.25~0.75 kg· hm-2时, 外源硒对饲用苎麻品质有所改善, 粗蛋白、粗脂肪和粗灰分均有所提高, 但变化幅度因施硒量、年份和刈割时间有所不同。2015年, 0.25、0.50和0.75 kg Se· hm-2 处理的饲用苎麻粗蛋白、粗脂肪和粗灰分分别平均提高10.15%、15.53%和12.69%, 8.41%、15.15%和8.14%, 8.61%、10.23%和12.51%, 且中性洗涤纤维和酸性纤维含量也有所提高, 分别平均提高4.45%和4.34%, 11.26%和3.58%, 7.48%和4.65%, 则造成相对饲喂价值的降低, 其中0.75 kg Se· hm-2 处理的饲用苎麻相对饲喂价值降低最多, 达到10.19%。2016年硒元素处理中饲用苎麻粗蛋白、粗脂肪和粗灰分含量提高幅度非常小, 甚至0.75 kg Se· hm-2 处理中粗蛋白和粗灰分含量略有所下降, 且中性洗涤纤维和酸性纤维均无显著性影响, 这可能由于本年度夏季出现涝灾所致。此外, 施硒能够提高饲用苎麻的硒含量, 在低硒地区, 对解决动物食物中硒摄入水平不足的问题有重要意义。同时, 硒元素的补给也影响植物对其他营养元素的吸收和积累。大量研究表明, 硒对作物N、P、K等营养元素的吸收存在不同程度的影响, 目前普遍认为, 适量施硒有助于提高作物对N的吸收, 然而作物磷钾对硒的反应因施硒水平、作物品种而异[9]。硒能够促进生菜对N和P的吸收, 但抑制了对K、Na、Ca、Mg、Fe、Mn、Cu 和Zn的吸收[34]; 硒增加小白菜(Brassica chinens)和大豆(Glycine max)体内N含量, 但降低P、K等元素含量[35, 36]。适量施硒均可显著提高圆叶决明和紫花苜蓿植株对N、P、K 的吸收量[13, 23]; 施硒后胡萝卜(Daucus)体内P含量的变化未呈现规律性, 而K含量均有提高[37]。然而通过土施和叶面喷施, 硒肥对玉米和小麦(Triticum aestivum)籽粒中N、P、K、S、Ca、Mg、Fe、Mn、Cu等元素含量也无显著影响[38]。两年大田试验均表明, 当施硒量为0.25~0.75 kg Se· hm-2时, 外源硒能够促进饲用苎麻植株对P和K元素的吸收, 但对Ca元素的影响程度因年份和刈割时间有所不同。
饲用苎麻为多年生宿根型草本植物, 对其营养价值的评价不能只看单项指标[16]。主成分分析(PCA)是多元统计分析的重要方法[39], 能最大限度地利用几项指标反映原来较多指标所反映的信息, 综合指标之间互不相关, 还能反映原来多指标的信息, 能够典型地反映研究对象的特征。由于不同处理饲用苎麻营养价值指标间具有显著相关性, 则利用主成分分析对苎麻营养价值综合评价具有合理性。同时, 模糊数学中隶属函数法是目前饲草营养价值综合评判中常用的方法, 将主成分分析与模糊数学中隶属函数法相结合综合评价不同处理对饲用苎麻营养价值的影响更具有真实性。本研究利用两年大田试验, 选取主要营养价值指标(总生物量、CP、CF、Ash、NDF、ADF、RFV、Ca、P、K、Se), 利用主成分分析结合模糊数学中隶属函数法对不同施硒量下饲用苎麻营养价值进行综合评价, 以确定其最佳处理。总体而言, 主成分分析结合模糊数学中隶属函数法能较全面地反映各处理的综合性能, 采用该方法对饲料的综合评价切实可行性。
外源硒对饲用苎麻草产量无显著性影响, 而对其营养价值有一定的影响, 但变化幅度因施硒量、年份和刈割时间有所不同。适量的硒能提高饲用苎麻粗蛋白、粗灰分、酸性洗的纤维含量以及硒、磷、钾和钙元素含量, 而降低中性洗纤维和粗脂肪含量。通过主成分分析结合模糊数学中隶属函数法综合评价表明, 0.25~0.50 kg Se· hm-2范围为该地区效果最佳施硒量, 有利于提高饲用苎麻的营养价值。
| [1] |
|
| [2] |
|
| [3] |
|
| [4] |
|
| [5] |
|
| [6] |
|
| [7] |
|
| [8] |
|
| [9] |
|
| [10] |
|
| [11] |
|
| [12] |
|
| [13] |
|
| [14] |
|
| [15] |
|
| [16] |
|
| [17] |
|
| [18] |
|
| [19] |
|
| [20] |
|
| [21] |
|
| [22] |
|
| [23] |
|
| [24] |
|
| [25] |
|
| [26] |
|
| [27] |
|
| [28] |
|
| [29] |
|
| [30] |
|
| [31] |
|
| [32] |
|
| [33] |
|
| [34] |
|
| [35] |
|
| [36] |
|
| [37] |
|
| [38] |
|
| [39] |
|

