内生真菌浸种对燕麦生长和根部内生真菌群落的影响 |
| 郭璟, 王越, 祁存英, 李静 |
|
Effects of endophytic fungi seed soaking on growth and root endophytic fungal communities of Avena sativa |
| Jing GUO, Yue WANG, Cun-ying QI, Jing LI |
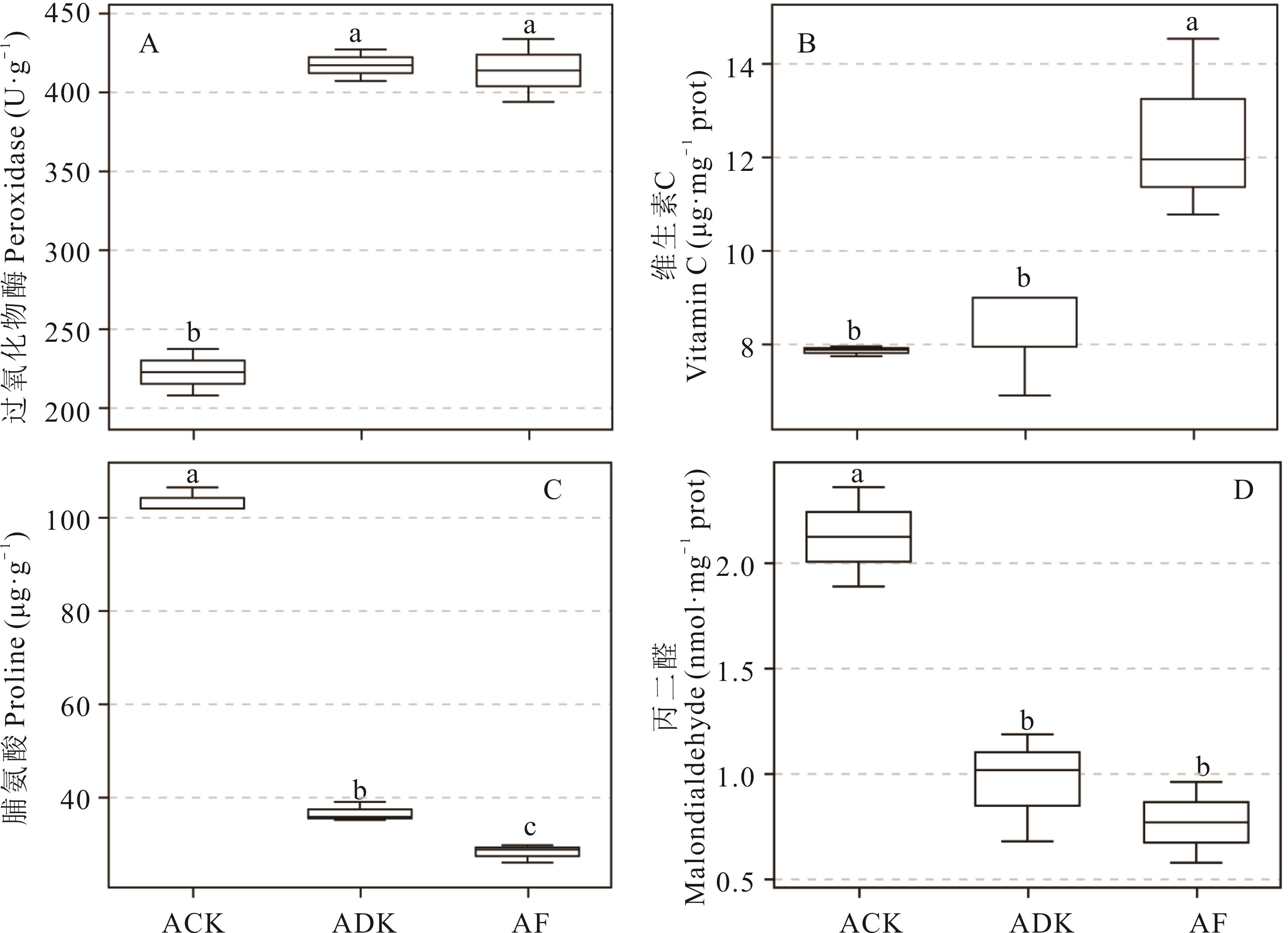
| 图1 内生真菌浸种对燕麦生理生化指标的影响 不同小写字母表示处理间差异显著(P<0.05)。Different lowercase letters indicate significant differences among different treatments (P<0.05). |
| Fig.1 Effects of endophytic fungi soaking on physiological and biochemical indexes of A. sativa |
|