欢迎访问《草业学报》官方网站,今天是

草业学报, 2025, 34(1): 151-160 DOI: 10.11686/cyxb2024090

研究论文

内生真菌浸种对燕麦生长和根部内生真菌群落的影响

郭璟,1,2, 王越1,2, 祁存英1,2, 李静1,2

1.青海理工学院生态与环境科学学院,青海 西宁 810016

2.青海省高原气候变化及其生态环境效应重点实验室,青海 西宁 810016

Effects of endophytic fungi seed soaking on growth and root endophytic fungal communities of Avena sativa

GUO Jing,1,2, WANG Yue1,2, QI Cun-ying1,2, LI Jing1,2

1.School of Ecology and Environmental Science,Qinghai University of Science and Technology,Xining 810016,China

2.Qinghai Provincial Key Laboratory of Plateau Climate Change and Corresponding Ecological and Environmental Effects,Xining 810016,China

通讯作者: 郭璟(1994-),女,青海乐都人,博士。E-mail:guojing2146@163.com

收稿日期: 2024-03-20   修回日期: 2024-04-17  

基金资助: 青海师范大学孵化青海理工大学(筹)新进教师博士论文延伸科研培育计划项目.  202302lwys010

Received: 2024-03-20   Revised: 2024-04-17  

作者简介 About authors

郭璟(1994-),女,青海乐都人,博士。E-mail:guojing2146@163.com

摘要

内生真菌在促进植物生长、增强抗逆性、改变植物根部微生物群落结构等方面有着重大的研究和开发价值。本研究采用内生真菌(木霉菌ADK和黄绿卷毛菇AF)浸种燕麦的方法开展田间试验,通过测定燕麦生长指标、生理生化指标、根际土壤理化指标,评价内生真菌浸种对燕麦的促生效果,并利用高通量测序技术研究内生真菌浸种对燕麦根部内生真菌群落组成的影响。结果表明:2种内生真菌均能促进燕麦株高生长,增加根长、干重、鲜重等,其中,ADK对燕麦生长性状影响最显著(P<0.05),AF对燕麦产量增加最显著(P<0.05)。内生真菌对燕麦生理也有显著影响(P<0.05),ADK和AF组过氧化物酶(POD)活性和维生素C(Vc)含量较CK分别增加87.53、86.03%%和5.56%、58.11%,脯氨酸(Pro)和丙二醛(MDA)含量分别减少64.62%、72.85%和54.82%、63.85%。此外,ADK和AF能够提高土壤全磷含量,且AF显著(P<0.05)提高土壤有机碳含量。Illumina高通量测序结果表明内生真菌浸种增加了燕麦根部内生真菌的Shannon指数、Pielou指数以及特有OTU的数量,改变了燕麦根部内生真菌群落结构。主成分分析(PCA)结果显示ADK促进了燕麦生长,增加了燕麦根部内生真菌多样性;AF提高了燕麦产量,增强了燕麦抗逆性。本研究揭示出内生真菌浸种对燕麦有显著的促生效果,并能增强燕麦的抗逆性及改变燕麦根部内生真菌群落结构,为后期开发植物促生菌剂提供了菌种资源,也有助于开发木霉菌及黄绿卷毛菇在生物菌肥方面的潜能。

关键词: 内生真菌 ; 燕麦 ; 浸种 ; 促生 ; 群落结构

Abstract

Endophytic fungi with the capacity to enhance plant growth, bolster plant stress tolerance, and modulate the composition of plant rhizosphere microbial communities offer significant implications for research and development of crop growth promotants. In a plot experiment, two endophytic fungus, Trichoderma rossicum and Floccularia luteovirens were applied. To assess the growth promoting effects of these endophytic fungi on Avena sativa, a range of indicators were measured, encompassing growth characteristics, physiological and biochemical parameters, soil physical and chemical properties, and others. In addition, high-throughput sequencing technology was utilized to assess the influence of endophytic fungus soaking on the composition of A. sativa root endophytic fungal communities. It was found that the application of the two endophytic fungi noticeably enhanced the growth of A. sativa, with increase in plant height, root length, dry weight, fresh weight, and other parameters observed. Particularly noteworthy was the pronounced influence of T. rossicum on the growth traits of A. sativa, while F. luteovirens had the greatest effect on the yield of A. sativa. Additionally, endophytic fungi significantly influenced physiological traits of A. sativaP<0.05). For instance, compared to CK, the peroxidase activity was increased by 87.53%, and 86.03%, respectively, with T. rossicum and F. luteovirens seed soaking, while vitamin C content was increased by 5.56% and 58.11%. Conversely, proline and malondialdehyde levels were decreased, respectively by 64.62% and 54.82% with T. rossicum and by 72.85% and 63.85% with F. luteovirens seed soaking. Furthermore, the two endophytic fungi exerted distinct effects on soil physicochemical properties. Specifically, T. rossicum and F. luteovirens increased soil total phosphorus concentration, while F. luteovirens dramatically elevated soil organic carbon concentration. The high-throughput sequencing findings demonstrated that soaking endophytic fungi significantly influenced the diversity of endophytic fungi in the A. sativa rhizosphere. This was evidenced by increases in the Shannon index, Pielou index, and the number of unique OTUs of endophytic fungi in A. sativa roots, as well as changes in the community structure of endophytic fungi in the A. sativa roots. Additionally, a principal component analysis revealed that T. rossicum enhanced growth and diversified the variety of root endophytic fungi associated with A. sativa, whereas F. luteovirens enhanced productivity and bolstered stress tolerance of A. sativa. This study highlights the significant stimulatory impact of endophytic fungus soaking on the growth of A. sativa, enhancing its stress resistance, and altering the root endophytic fungal community. These findings pave the way for the utilization of F. luteovirens and T. rossicum as microbial fertilizers, thereby providing valuable fungal resources for the development of plant growth-promoting preparations in subsequent research.

Keywords: endophytic fungi ; Avena sativa ; seed soaking ; growth promotion ; community structure

PDF (1285KB) 元数据 多维度评价 相关文章 导出 EndNote| Ris| Bibtex  收藏本文

本文引用格式

郭璟, 王越, 祁存英, 李静. 内生真菌浸种对燕麦生长和根部内生真菌群落的影响. 草业学报[J], 2025, 34(1): 151-160 DOI:10.11686/cyxb2024090

GUO Jing, WANG Yue, QI Cun-ying, LI Jing. Effects of endophytic fungi seed soaking on growth and root endophytic fungal communities of Avena sativa. Acta Prataculturae Sinica[J], 2025, 34(1): 151-160 DOI:10.11686/cyxb2024090

内生真菌是指定殖在健康植物组织内完成其全部或部分阶段的生活史,且不造成宿主明显病害的一类真菌1-2。在长期协同发展进化过程中,内生真菌与植物形成互惠共利的关系3。一方面,宿主植物能够提供内生真菌生长繁殖所必需的微环境和营养物质4-5。另一方面,内生真菌可通过产生吲哚乙酸(indole-3-acetic acid, IAA)和减少乙烯合成促进植物种子萌发及根、茎、叶的生长6,同时也能通过调节活性氧协助植物抵抗逆境胁迫4;此外,内生真菌通过真菌诱导子刺激植物次级代谢产物的生物合成,并在植物代谢过程中将某些关键基因垂直传递给内生真菌,导致真菌产生与其宿主植物相同或相似的代谢产物7-8。木霉属内生真菌(Trichoderma spp.)是目前研究和应用最为广泛的内生真菌之一,具有显著的生物防治效果和植物生长促进能力9-10。Hou等11研究发现,木霉属Th62菌株能促进鸡冠花(Celosia cristata)的生长,并能显著提高鸡冠花植物的光合效率、光合能力和对强光的适应性。Mayo等12研究表明,接种木霉属真菌能增加豆类植物的发芽率、根长及生物量等。此外,本团队前期研究发现,黄绿卷毛菇(Floccularia luteovirens)作为青藏高原的特有真菌,是优质的植物促生长菌种资源,能显著促进矮嵩草(Kobresia humilis)等牧草的生长。然而,这两种内生真菌对燕麦(Avena sativa)的促生效果鲜有报道。

燕麦根系发达,是防止水土流失和提高贫瘠土地植被覆盖率的重要栽培牧草,其对非生物胁迫(盐碱、干旱、低温)具有较强的耐受性与适应性13-16。由于青藏高原特殊的气候条件,加之干旱、低温等自然因素的影响,燕麦的生产受到限制,因此,提高其在恶劣环境中的产草量和品质迫在眉睫。有研究表明,在盐胁迫下芽孢杆菌(Bacillus sp.)LrM2能显著促进燕麦总根长、根表面积、根体积、株高和生物量17;萎缩芽孢杆菌(Bacillus atrophaeus)CKL1能显著促进燕麦种子萌发及幼苗生长,增强燕麦的抗盐性18,但鲜有研究用内生真菌制剂应用在燕麦促生方面。因此,本研究从绿色生态出发,选择从本土分离得到的2种内生真菌为研究对象,通过2种内生真菌发酵液浸种燕麦后将其种植在野外试验田中,研究不同内生真菌对燕麦的促生效果,并探究不同内生真菌对燕麦根部内生真菌群落结构的影响,以期为开发燕麦专用微生物菌肥提供菌种资源和数据支撑。

1 材料与方法

1.1 试验地点

试验地点位于青海省奔盛草业德令哈万亩饲草田(海拔:2890.3 m,经度:97°37′,纬度:37°25′),该地属高原大陆性气候区,年平均日照3554 h,年平均气温11 ℃,年平均降水量为169 mm,土地类型为荒漠化沙土地。田间试验于2021年6-10月开展,其中,于2021年6月7日进行小区种植。

1.2 试验材料

菌株ADK[木霉菌(Trichoderma rossicum),GenBank登录号: KR995112.1]分离自矮嵩草,菌株AF(F. luteovirens,GenBank登录号: EU365877.1)分离自黄绿卷毛菇子实体,两株菌均由青海大学极端微生物研究室提供。燕麦品种为青甜1号(千粒重31.1 g),由青海大学畜牧兽医科学院提供。

1.3 试验设计与方法

1.3.1 真菌发酵液制备

菌株ADK在PDA固体培养基[马铃薯(Solanum tuberosum)200 g;葡萄糖20 g;琼脂20 g;蒸馏水1000 mL]上活化5 d,取0.5 cm×0.5 cm的菌饼接种至PDB液体培养基(马铃薯200 g;葡萄糖20 g;蒸馏水1000 mL),置于摇床150 r·min-1,25 ℃培养7 d,备用。菌株AF在PDA固体培养基上活化20 d,取0.5 cm×0.5 cm的菌饼接种至PDB液体培养基,25 ℃静置培养30 d,备用。

1.3.2 试验设置及采样

田间试验共设2个处理T. rossicum(ADK)和F. luteovirens F18-3(AF);以未接种的PDA液体培养基做对照(ACK)。在燕麦播种前,将燕麦种子在上述菌液中浸泡6 h后取出阴干。田间试验采用区组设计,小区面积为5 m×6 m,间距1 m,每个处理重复3个小区。播种方式为人工条播,每个小区20行,行宽为25 cm。除浸种燕麦菌液不同外,其他田间管理措施保持一致(播种前施磷酸二铵10 kg·hm-2,期间无追肥)。在燕麦生长至3个月时(2021年9月7日),以S型取样法15采集植株和相应的根际土壤,根际土壤采用抖根法19获取,土壤样品过2 mm筛,去除土壤中的杂质,用于土壤理化性质分析。植物样品进行生长指标、生理指标测定和高通量测序。

1.3.3 生长指标测定

用卷尺、直尺和游标卡尺测量燕麦的株高、根长。用自来水冲洗植株根部,蒸馏水洗净后将其地上、地下部分自然风干后称其鲜重,然后105 ℃杀青20 min,于70 ℃烘干至恒重后称其干重。大田试验燕麦收获后(2021年10月7日)每个小区取5 m2进行燕麦产量测定。

1.3.4 生理指标测定

采集燕麦植株新鲜叶片,用液氮研磨后,按南京建成生物工程研究所的相应试剂盒(A084-3-1、A009-1-1、A107-1-1、A003-1-1)操作说明测定过氧化物酶(peroxidase,POD)活性、维生素C(vitamin C,Vc)含量、脯氨酸(proline,Pro)含量、丙二醛(malondialdehyde,MDA)含量,每个处理重复3次。

1.3.5 土壤理化性质分析

采用烘干法测定土壤持水量19,将土壤样品置于105 ℃的电热鼓风干燥箱(OSTC105142,上海一恒科学仪器有限公司)烘干至恒重。使用pH计(PHSJ-5T,上海仪电科学仪器)在土水比为1.0∶2.5的悬浮液中测定土壤pH20。土壤全氮、全磷和总有机碳含量的测定分别采用凯氏定氮法、氢氧化钠碱熔-钼锑抗比色法和重铬酸钾容量法-外加热法21

1.3.6 植物根系DNA提取及Illumina Miseq测序

称取0.5 g燕麦根系,采用CTAB法提取根系总DNA,利用1%琼脂糖凝胶电泳检测DNA提取质量。对ITS高变区片段作PCR扩增,选择引物序列为ITS1F(5′-CTT GGTCATTTAGAGGAAGTAA-3′)和ITS4R(5′-TCCTCCGCTTATTGATATGC-3′),PCR扩增程序和扩增体系参考王桥美等3和唐慧敏等22的研究。使用Omega凝胶回收试剂盒(美国)切胶回收PCR产物,将PCR产物用NanoDrop 2000核酸检测仪(NanoPhotometer N60 Touch,德国)检测定量,根据每个样本测序量要求,按照相应比例混合,委托四川博贝特生物科技有限公司利用Illumina Miseq平台测序。

1.4 数据分析

利用Microsoft Excel 2019软件进行数据整理,用SPSS 17.0软件进行单因素方差分析,在OmicShare云平台(https://www.omicshare.com/tools)作图,主成分分析(principal component analysis,PCA)图在Origin软件中绘制。对高通量测序原始数据进行质筛,并在相似性97%的水平上,使用QIIME软件对序列进行操作分类单元(operational taxonomic unit,OTU)聚类并与UNITE数据库(Release 7.2,http://unite.ut.ee/index.php)进行物种注释23。基于OTU的分析结果,用Mothur v.1.3024计算样品的α多样性指数(Shannon指数、Simpson指数和Pielou指数)。

2 结果与分析

2.1 内生真菌浸种对燕麦生长和产量的影响

不同内生真菌浸种对燕麦生长和产量的影响不同,但ADK和AF浸种处理均能显著促进燕麦生长(P<0.05,表1)。ADK浸种处理显著提高了燕麦株高、根长、鲜重和干重(P<0.05),相比于对照(ACK),其株高和根长分别增加44.02%和15.55%。AF处理对燕麦产量的提高效果最为明显,与对照(ACK)相比产量提高了19.68%;ADK浸种处理也表现出较好的增产效果,增产率达12.13%。

表1   内生真菌浸种对燕麦株高、根长、鲜重、干重和产量的影响

Table 1  Effect of endophytic fungi soaking on plant height, root length, fresh weight, dry weight, and yield of A. sativa

处理

Treatment

株高

Plant height (cm)

根长

Root length (cm)

鲜重

Fresh weight (g·plant-1

干重

Dry weight (g·plant-1

产量

Yield (kg·30 m-2

ACK61.90±7.52c11.90±0.96b10.94±1.75c3.11±0.39c50.30±1.13b
ADK89.15±4.06a13.75±2.46a23.96±1.77a7.28±0.66a56.40±2.83a
AF72.13±1.64b12.28±0.95ab17.15±3.47b5.40±1.20b60.20±3.53a

不同小写字母表示处理间差异显著(P<0.05)。下同。Different lowercase letters indicate significant difference among differents treatments (P<0.05). The same below.

新窗口打开| 下载CSV


2.2 内生真菌浸种对燕麦生理生化指标的影响

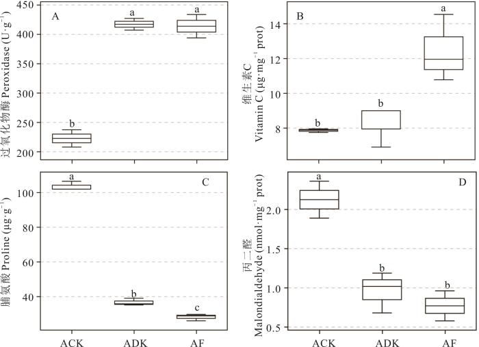
内生真菌ADK和AF浸种处理均不同程度地影响燕麦丙二醛(MDA)、脯氨酸(Pro)、维生素C(Vc)含量和过氧化物酶(POD)活性(图1)。内生真菌ADK和AF浸种处理均能显著提高燕麦的过氧化物酶(POD)活性,相比于对照(ACK)分别增加87.53%和86.03%(P<0.05,图1A)。AF浸种处理对燕麦维生素C含量的增加效果最为显著,与对照(ACK)相比维生素C(Vc)含量提高了58.11%(图1B)。对照组(ACK)燕麦脯氨酸(Pro)和丙二醛(MDA)含量均最高,分别为103.31 ug·g-1和2.12 nmol·mg-1 prot,而以ADK和AF浸种处理后燕麦脯氨酸(Pro)和丙二醛(MDA)含量显著降低(P<0.05,图1C,D)。

图1

图1   内生真菌浸种对燕麦生理生化指标的影响

不同小写字母表示处理间差异显著(P<0.05)。Different lowercase letters indicate significant differences among different treatments (P<0.05).

Fig.1   Effects of endophytic fungi soaking on physiological and biochemical indexes of A. sativa


2.3 内生真菌浸种对燕麦根际土壤理化性质的影响

内生真菌浸种对燕麦大田土壤理化性状具有一定的影响(表2)。与对照(ACK)相比,ADK浸种处理显著降低了土壤全氮含量(P<0.05),其全氮含量降低32.65%。ADK和AF浸种处理提高了土壤全磷含量,分别提高了17.83%和3.88%。AF浸种处理土壤总有机碳的含量提升作用显著(P<0.05),较对照(ACK)增加15.82%。ADK和AF浸种处理还会在一定程度上改变土壤的pH值,其中AF浸种处理土壤pH比对照(ACK)高0.18。

表2   内生真菌浸种对燕麦土壤理化性质的影响

Table 2  The influence of endophytic fungi soaking on soil physical and chemical properties of A. sativa

处理

Treatment

pH

全氮

Total nitrogen (TN, g·kg-1

全磷

Total phosphorus (TP, g·kg-1

总有机碳

Total organic carbon (TOC, g·kg-1

ACK7.92±0.04ab0.49±0.09a1.29±0.08b3.35±0.90b
ADK7.68±0.22b0.33±0.04b1.52±0.56a2.69±0.33c
AF8.10±0.02a0.41±0.02ab1.34±0.02b3.88±0.45a

新窗口打开| 下载CSV


2.4 内生真菌浸种对燕麦根系真菌群落组成的影响

2.4.1 内生真菌浸种对燕麦根系真菌多样性的影响

采用Illumina Miseq从ACK、ADK和AF浸种处理组燕麦根部样品中测得有效序列数分别为12480、28835和42860条,所形成的OTU数分别为18、98和359个。在相似度为97%条件下,Shannon指数由高到低依次为ADK>AF>ACK,Pielou指数表现为ADK>AF>ACK(表3),说明内生真菌ADK和AF浸种处理均能增加燕麦根系真菌多样性。

表3   内生真菌浸种对燕麦根际真菌群落的α-多样性影响

Table 3  Alpha diversity analysis of endophytic fungi soaking on A. sativa root fungal community

处理

Treatment

序列数量

Number of tag

OTU数量

Number of OTU

Shannon指数Shannon indexSimpson指数Simpson indexPielou指数Pielou index
ACK12480181.300.690.30
ADK28835981.630.580.48
AF428603591.320.540.40

新窗口打开| 下载CSV


2.4.2 内生真菌浸种对燕麦根系真菌群落结构的影响

ACK、ADK和AF共有OTU数为14,特有OTU数分别为2、29和288(图2A)。从真菌门含有物种的相对丰度Circos图可以看出(图2B),ACK根系真菌群落仅注释了3个门,依次为油壶菌门(Olpidiomycota,63.72%)、担子菌门(Basidiomycota,56.53%)和子囊菌门(Ascomycota,2.94%),而ADK和AF根系真菌群落共注释了5个门,优势菌门分别为担子菌门(66.53%)和油壶菌门(76.93%),说明内生真菌浸种增加了燕麦根系真菌群落组成。在科水平上(图2C),ACK、ADK和AF根系真菌群落分别注释了4、9和23科,壶菌科(Olpidiaceae)为ACK和AF浸种处理组的共同优势菌科,相对丰度分别占63.72%和6.93%,而ADK浸种处理组的优势菌科为红菇科(Russulaceae, 63.88%)。在属水平上(图2D),油壶菌属(Olpidium)为对照组(ACK)的第一优势属,乳菇属(Lactarius)为ADK的第一优势菌属;AF处理组的优势菌属主要有油壶菌属、乳菇属和Cystofilobasidium,相对丰度依次为76.93%、27.91%和16.79%。

图2

图2   内生真菌浸种对燕麦根际真菌群落组成影响

A: OTU水平真菌群落组成Distribution of endophytic fungal communities at OTU level; B, C: 门和科水平真菌群落组成Distribution of endophytic fungal communities at phylum and family level, respectively; D: 相对丰度排名前10属真菌群落组成The top 10 genera with higher relative abundance.

Fig.2   Effects of endophytic fungi soaking on A. sativa root fungal community


2.5 内生真菌浸种对燕麦生长、生理、土壤理化性状和根系真菌群落的主成分分析

主成分分析(PCA)显示了用ACK、ADK和AF浸种处理燕麦对其生长、生理、根际土壤理化性状和根部内生真菌群落结构的PCA得分结果(图3)。PC1和PC2的贡献率分别为49.00%和23.72%,累计贡献率为72.72%。ADK处理组在PC1右侧,表明其在PC1水平为正相关。然而,ACK处理组在PC1左侧,意味着其在PC1水平呈负相关。此外,PCA结果显示,具有显著生长指标的数据均在PC1右侧,其对应ADK和AF处理组,表明内生真菌浸种燕麦可促进其生长、增强其抗逆性、增加其根部内生真菌多样性。

图3

图3   内生真菌浸种燕麦对其生长、生理、土壤理化性质和根部内生真菌群落影响的PCA分析

Fig.3   PCA analysis of the effects of endophytic fungi soaking A. sativa on its growth, physiology, soil physicochemical properties and fungal community


3 讨论

研究发现内生真菌菌株不仅对植物生长有显著的促进作用,而且还可以显著增加宿主植物的株高、根长和生物量1925。本研究用两种内生真菌浸种燕麦发现株高、根长、鲜重、干重和产量相比于对照组均显著提高。有学者也得到类似的结果,赵振锐等26和Zhang等27用甘肃内生真菌(Epichloë gansuensis)侵染醉马草(Achnatherum inebrians)显著增加了其20.03%的鲜重和15.07%的干重,蒋瑞娟等28用新疆阿魏内生真菌AW57菌液浸种小麦(Triticum aestivum),其鲜重和干重分别比对照提高了54.41%和45.45%,Lara29用球孢白僵菌(Beauveria bassiana)和褐色绿僵菌(Metarhizium brunneum)处理小麦种子后其根长、地下生物量等均显著增加,但本研究中内生真菌ADK浸种对燕麦的促生作用更强。

在本研究中,内生真菌浸种通过提高燕麦过氧化物酶(POD)活性和维生素C含量,降低丙二醛和脯氨酸含量,从而提高燕麦的抗逆性。研究报道丙二醛、脯氨酸、维生素C含量和过氧化物酶活性可以反映植物体代谢功能和抗逆性的强弱30,植物体在遭受逆境破坏时,体内的保护酶活性会显著提高以应对逆境31。本研究中,内生真菌ADK和AF浸种燕麦POD活性显著高于对照(ACK),说明植物体内活性氧自由基的增加,提高了脂质过氧化物的含量,进而增强了燕麦对逆境胁迫的适应性。维生素C作为一种抗氧化剂,帮助植物抵抗干旱、臭氧和强紫外线32,内生真菌AF浸种燕麦显著提高了维生素C含量,增强了燕麦的抗氧化性能。丙二醛含量可以影响细胞膜的功能和完整性30,内生真菌ADK和AF浸种燕麦显著降低了MDA含量,说明内生真菌浸种能够缓解燕麦植株的细胞膜过氧化作用,减缓细胞膜受到的伤害。这与田凡等33的研究结果一致,接种内生真菌可以降低植物丙二醛含量,强化渗透调节能力,从而增强植物的抗性,因此内生真菌ADK和AF在促进植物生长和提高植物抗逆性方面有巨大的开发潜力。

内生真菌可以影响植物对氮、磷、碳的吸收,并会对土壤碳氮库等产生影响34-35。其中,氮、磷和碳等含量可以直接体现土壤肥力36和间接反映土壤分解矿物的能力37,土壤pH会对土壤中化学元素的有效性产生影响,从而影响植物对营养物质的吸收38-4019。燕麦是一种抗逆性很强的植物,本研究结果显示,真菌浸种通过改变燕麦根际土壤pH和氮、磷、碳元素的含量来影响燕麦生长,其中,内生真菌ADK浸种对燕麦根际土壤氮、碳的影响最为显著,推测其为燕麦生长可能提供了部分营养物质,增强了其持久性。金媛媛等19发现内生真菌侵染显著提高了土壤pH值,较对照高出0.20。本研究发现AF处理组土壤pH高于ACK处理组,高出0.18,说明内生真菌浸种可以增加土壤碱性来促进燕麦的生长。

内生真菌会影响植物根际微生态环境,进而改变其微生物群落结构37。本研究中,内生真菌ADK和AF浸种燕麦均显著增加了燕麦根部内生真菌多样性和OTU数量,其中特有OTU数量分别为29和288,而对照组特有OTU数量仅为2,由此可见,真菌浸种改变了燕麦根系内生真菌群落结构。唐慧敏等22研究发现内生真菌感染苇状羊茅(Festuca arundinacea)增加了其根系的丛枝菌根真菌(arbuscular mycorrhizal fungi,AMF)多样性。刘圣越等5和Zhong等37发现类似的现象,内生真菌增加了植物根系和土壤的真菌多样性,且改变了其群落组成。此外,本研究发现内生真菌ADK浸种处理改变了燕麦优势属的组成,第一优势属为乳菇属。文献报道乳菇属含有凝集素和酶等多种结构类型功能成分,并能够产生丰富的次级代谢产物,这些功能成分具有良好的抑菌功能,并能促进植物生长41-42,因此,本研究推测其产生的凝集素可能有助于促进燕麦生长。本研究结果表明内生真菌AF浸种处理后燕麦的产量显著提高,且根际真菌多样性增加,这可能与学者报道的黄绿卷毛菇通过调节碳水化合物和氨基酸代谢影响有机酸和类黄酮水平,并与其产生的挥发性有机化合物会通过诱导碳/氮代谢和抗氧化防御,同时抑制多种次生代谢途径,进而调节植物生长发育和环境适应能力,从而改变其群落组成有关43-44,但具体机制还不明晰,后续有待进一步研究。

4 结论

内生真菌ADK和AF浸种处理后能够促进燕麦的生长与生理过程,改变燕麦根际土壤的理化性质,增加燕麦根部内生真菌多样性。其中,内生真菌ADK促进了燕麦生长,增加了燕麦根际真菌多样性;内生真菌AF提高了燕麦产量,增强了燕麦抗逆性。因此,这2种菌可作为燕麦专用生物改良剂的潜在菌种资源,为内生真菌菌剂开发利用提供了数据支持和思路。

参考文献

Yan C, Dai C C. Recent advances on endophytic fungi optimising soil environment. International Journal of Environmental Engineering, 2013, 5(4): 387-404.

[本文引用: 1]

Zhou W Q, Terry A W, Wheeler J L S, et al. A fungal endophyte defensive symbiosis affects plant-nematode interactions in cotton. Plant and Soil, 2018, 422: 251-266.

[本文引用: 1]

Wang Q M, Yan L, Hu X Q, et al. Effects of tea grey blight on the community structure of endophytic fungi in tea leaves. Acta Microbiologica Sinica, 2021, 61(9): 2949-2961.

[本文引用: 2]

王桥美, 严亮, 胡先奇, 等. 茶轮斑病对茶树叶片内生真菌群落结构的影响. 微生物学报, 2021, 61(9): 2949-2961.

[本文引用: 2]

Lu Y, Zhu J, Zhao X X, et al. Beneficial effects of endophytic fungi colonization on plants. Applied Microbiology and Biotechnology, 2019, 103(3): 3327-3340.

[本文引用: 2]

Liu S Y, Wang Y F, He Y Z, et al. Research progress on the effect of endophytic fungi on the growths and secondary metabolites of host plants. Journal of Tianjin Unviersity of Traditional Chinese Medicine, 2021, 40(1): 128-136.

[本文引用: 2]

刘圣越, 王跃飞, 何永志, 等. 内生真菌对宿主植物生长和次级代谢产物影响研究进展. 天津中医药大学学报, 2021, 40(1): 128-136.

[本文引用: 2]

Ahlem N, Rania A B A, Hayfa J K, et al. Ability of endophytic fungi associated with Withania somnifera L. to control Fusariem crown and root rot and to promote growth in tomato. Brazillian Journal of Microbiology, 2019, 50(2): 481-494.

[本文引用: 1]

Lubna B, Sajjad A, Muhammad H, et al. Plant growth promoting endophytic fungi Asprgillus fumigatus TS1 and Fusarium proliferatum BRL1 produce gibberellins and regulates plant endogenous hormones. Symbiosis, 2018, 76(17): 117-127.

[本文引用: 1]

Dang H L, Zhang T, Wang Z K, et al. Succession of endophytic fungi and arbuscular mycorrhizal fungi associated with the growth of plant and their correlation with secondary metabolites in the roots of plants. BMC Plant Biology, 2021, 21(1): 165.

[本文引用: 1]

Yuan Z L, Chen Y C, Zhang C L, et al. Trichoderma chlorosporum, a new record of endophytic fungi from Dendrobium nobile in China. Mycosystema, 2008, 27(4): 608-610.

[本文引用: 1]

Azeir A H, Dwi H P, Linda A, et al. Molecular characterization of Trichoderma strains from west Sumatera, Indonesia and their beneficial effects on rice seedling growth. Journal of Crop Science and Biotechnology, 2021, 24(4): 441-448.

[本文引用: 1]

Hou X Y, Wang Y F, Jiang C Y, et al. A native Trichoderma harzianum strain Th62 displays antagonistic activities against phytopathogenic fungi and promotes the growth of Celosia cristata. Horticulture, Environment, and Biotechnology, 2022, 63(1): 147.

[本文引用: 1]

Mayo P S, Campelo M P, Lorenzana A, et al. Antifungal activity and bean growth promotion of Trichoderma strains isolated from seed vs soil. European Journal of Plant Pathology, 2021,159(3): 273-292.

[本文引用: 1]

Ye W X, Shi F L, Zhao M L, et al. Screening of suitable forage oat varieties in central and western regions of Inner Mongolia. Chinese Journal of Grassland, 2022, 44(3): 66-71.

[本文引用: 1]

叶文兴, 石凤翎, 赵萌莉, 等. 适宜内蒙古中西部地区饲用燕麦品种筛选. 中国草地学报, 2022, 44(3): 66-71.

[本文引用: 1]

Yang P N, Du W H, Tian X H. Study on the mixed effect of Canadian forage oats and peas in Gannan alpine pasture area. Chinese Journal of Grassland, 2022, 44(3): 39-48.

杨鹏年, 杜文华, 田新会. 甘南高寒牧区加拿大饲用燕麦与豌豆的混播效果研究. 中国草地学报, 2022, 44(3): 39-48.

Liu Y D, Zhao B P, Zhang Y, et al. Relationship between yield differences of different genotypes of oats and leaf physiological characteristics. Acta Agronomica Sinica, 2022, 48(11): 2953-2964.

[本文引用: 1]

柳妍娣, 赵宝平, 张宇, 等. 不同基因型燕麦产量差异与叶片生理特性的关系. 作物学报, 2022, 48(11): 2953-2964.

[本文引用: 1]

Meenakshi G, Navreet K. Low temperature induced oxidative stress tolerance in oats (Avena sativa L.) genotypes. Indian Journal of Plant Physiology, 2018, 23(2): 316-324.

[本文引用: 1]

Zhang Y C, Yao T, Zhao G Q, et al. Screening and identification of salt-tolerant growth promoting rhizobacteria and its effects on oat growth under salt stress. Acta Agrestia Sinica, 2021, 29(12): 2645-2652.

[本文引用: 1]

张银翠, 姚拓, 赵桂琴, 等. 耐盐促生菌筛选鉴定及对盐胁迫燕麦生长的影响. 草地学报, 2021, 29(12): 2645-2652.

[本文引用: 1]

Chen L, Xie Y L, Wu X H, et al. Avena sativa growth-promoting activity of Bacillus atrophaeus CKL1 under salt stress and the functional genes. Microbiology China, 2022, 49(8): 3150-3164.

[本文引用: 1]

陈兰, 谢永丽, 吴晓晖, 等. 萎缩芽胞杆菌CKL1促盐胁迫下燕麦生长活性及其功能基因分析. 微生物学通报, 2022, 49(8): 3150-3164.

[本文引用: 1]

Jin Y Y, Bowatte S, Jia Q M, et al. Effects of Epichloë endophytic fungi infection in wild barely (Hordeum brevisubulatum) on soil chemical properties and the soil microbial community. Acta Prataculturae Sinica, 2019, 28(10): 66-77.

[本文引用: 5]

金媛媛, Bowatte Saman, 贾倩民, 等. 内生真菌侵染对野大麦根际土壤化学特性和微生物群落的影响. 草业学报, 2019, 28(10): 66-77.

[本文引用: 5]

He S B, Hu W G, Jin X T, et al. Soil bacterial community composition and diversity respond to soil environment in the Ebinur Lake Wetland. Archives of Microbiology, 2022, 203(11): 1175-1182.

[本文引用: 1]

Liu Y H. Effects of plant growth-promoting bacteria on the root metabolites and microbial community of Phyllostachys edulis seeding. Nanchang: Jiangxi Agricultural University, 2023.

[本文引用: 1]

刘耀辉. 促生菌对毛竹幼苗根系代谢物及微生物群落的影响. 南昌: 江西农业大学, 2023.

[本文引用: 1]

Tang H M, Ni X Z, Wang Y C, et al. Effects of soil saline-alkali stress on arbuscular mycorrhizal fungal community diversity and composition of roots of endophyte-infected and endophyte-free tall fescue. Mycosystema, 2022, 41(8): 1268-1278.

[本文引用: 2]

唐慧敏, 倪晓臻, 王颖超, 等. 盐碱胁迫对染内生菌和不染菌苇状羊茅根系丛枝菌根真菌群落多样性和组成的影响. 菌物学报, 2022, 41(8): 1268-1278.

[本文引用: 2]

Urmas K, Henrik N, Kessy A, et al. Towards a unified paradigm for sequence-based identification of fungi. Molecular Ecology, 2013, 22(6): 5271-5277.

[本文引用: 1]

Segata N, Izard J, Waldron L, et al. Metagenomic biomarker discovery and explanation. Genome Biology, 2011, 12(6): R60.

[本文引用: 1]

Latch G C M, Hunt W F, Musgrave D R. Endophytic fungi affect growth of perennial ryegrass. New Zealand Journal of Agricultural Research, 1985, 28(1): 165-168.

[本文引用: 1]

Zhao Z R, Zhong R, Zhang X X. Effects of interaction of Epichloë gansuensis and arbuscular mycorrhizal fungi on the seedling growth and cadmium (Cd) tolerance of Achnatherum inebrians. Pratacultural Science, 2020, 37(3): 432-443.

[本文引用: 1]

赵振锐, 钟睿, 张兴旭. 内生真菌和丛枝菌根真菌互作对醉马草幼苗生长和镉耐性的影响. 草业科学, 2020, 37(3): 432-443.

[本文引用: 1]

Zhang X X, Li C J, Nan Z B. Effects of cadmium stress on growth and anti-oxidative systems in Achnatherum inebrians symbiotic with Neotyphodium gansuense. Journal of Hazardous Materials, 2010, 175(1): 703-709.

[本文引用: 1]

Jiang R J, He Q, Zhu J, et al. Effects of endophytic fungus AW57 from Ferula sinkiangensis K. M. Shen on seed germination and seedling growth of wheat (Triticum aestivum L.). Xinjiang Agriculture Sciences, 2019, 56(3): 393-402.

[本文引用: 1]

蒋瑞娟, 何权, 朱军, 等. 新疆阿魏内生真菌AW57菌液对小麦种子萌发及幼苗生长的影响. 新疆农业科学, 2019, 56(3): 393-402.

[本文引用: 1]

Lara R J. Seed inoculation with endophytic fungal entomopathogens promotes plant growth and reduces crown and root rot (CRR) caused by Fusarium culmorum in wheat. Planta, 2018, 248(8): 1525-1535.

[本文引用: 1]

Li K, Shi C, He F Y, et al. Effects of endophyte infection on growth and physiological characteristics of Melica transsilvanica under Pb stress. Acta Prataculturae Sinica, 2020, 29(3): 112-120.

[本文引用: 2]

李柯, 施宠, 何飞焱, 等. Pb胁迫下内生真菌浸染对德兰臭草生长及生理的影响. 草业学报, 2020, 29(3): 112-120.

[本文引用: 2]

Zhao J Y, Cai J R, Xu C Y, et al. Effects of citrus essential oil combined with chitosan treatment on post harvest physiology and storability of Chinese olive fruits. Journal of Tropical and Subtropical Botany, 2023, 31(1): 53-61.

[本文引用: 1]

赵俊跃, 蔡净蓉, 徐成妍, 等. 柑橘精油及壳聚糖复合处理对橄榄果实采后生理和耐贮性的影响. 热带亚热带植物学报, 2023, 31(1): 53-61.

[本文引用: 1]

Shi L M, Wang D M, Ying J H. Correlation analysis on pigment accumulation and physiological indexes of cherry-tomato fruit. Hubei Agriculture Sciences, 2013, 52(16): 1849-1851.

[本文引用: 1]

施林妹, 王东明, 应俊辉. 樱桃番茄果实色素积累与生理指标的相关性分析. 湖北农业科学, 2013, 52(16): 1849-1851.

[本文引用: 1]

Tian F, Liao X F, Yan F X, et al. Effects of different arbuscular mycorrhizal fungi on seedling growth and physiological metabolism in Ardisia mamillata. Northern Horticulture, 2021, 7(10): 59-65.

[本文引用: 1]

田凡, 廖小锋, 颜凤霞, 等. 不同AMF对虎舌红幼苗生长与生理代谢的影响. 北方园艺, 2021, 7(10): 59-65.

[本文引用: 1]

Erich I, Torgny N. The below-ground perspective of forest plants: soil provides mainly organic nitrogen for plants and mycorrhizal fungi. New Phytologist, 2012, 195(2): 329-334.

[本文引用: 1]

Li S J, Wang F X, Wen C Q, et al. Microbial community structure and environmental response of desert soil in Hexi Corridor. Acta Pedologica Sinica, 2022, 59(6): 1718-1728.

[本文引用: 1]

李善家, 王福祥, 文从倩, 等. 河西走廊荒漠土壤微生物群落结构及环境响应. 土壤学报, 2022, 59(6): 1718-1728.

[本文引用: 1]

Stewart T M, Mercer C F, Grant J L. Development of Meloidogyne naasi on endophyte-infected and endophyte-free perennial ryegrass. Australasian Plant Pathology, 1993, 22(2): 40-41.

[本文引用: 1]

Zhong R, Xia C, Ju Y W, et al. A foliar Epichloë endophyte and soil moisture modified belowground arbuscular mycorrhizal fungal biodiversity associated with Achnatherum inebrians. Plant and Soil, 2021, 458(112): 123.

[本文引用: 3]

Chen Z J, Liu J, Wei X K, et al. Effects of latosols extracts with different pH and endophytic fungi on growth and physiology of Lolium perenne seedling. Acta Botanica Boreali-Occidentalia Sinica, 2017, 37(7): 1348-1356.

[本文引用: 1]

陈振江, 刘静, 魏学凯, 等. 不同pH砖红壤浸提液和内生真菌对黑麦草幼苗生长生理的影响. 西北植物学报, 2017, 37(7): 1348-1356.

[本文引用: 1]

Chen Z J, Jin Y Y, Yao X, et al. Fungal endophyte improves survival of Lolium perenne in low fertility soils by increasing root growth, metabolic activity and absorption nutrients. Plant and Soil, 2020, 452(1): 185-206.

Lu P, Shi M C, Randy D D, et al. Plant growth, ion accumulation, and antioxidant enzymes of endophyte-infected and endophyte-free tall fescue to salinity stress. Acta Physiologiza Plantarum, 2021, 43(6): 1-10.

[本文引用: 1]

Comandini O, Erős-Honti Z, Jakucs E, et al. Molecular and morpho-anatomical description of mycorrhizas of Lactarius rimosellus on Quercus sp., with ethnomycological notes on Lactarius in Guatemala. Mycorrhizal, 2012, 22(4): 279-287.

[本文引用: 1]

Montoya L, Bandala V, Ramos A, et al. The ectomycorrhizae of Lactarius rimosellus and Lactarius acatlanensis with the endangered Fagus grandifolia var. mexicana. Symbiosis, 2017, 73(2): 135-144.

[本文引用: 1]

Sun L L, Cao M, Liu F, et al. The volatile organic compounds of Floccularia luteovirens modulate plant growth and metabolism in Arabidopsis thaliana. Plant and Soil, 2020, 456(9): 207-221.

[本文引用: 1]

Cao M, Liu F, Sun L L, et al. Floccularia luteovirens modulates the growth of alpine meadow plants and affects soil metabolite accumulation on the Qinghai-Tibet Plateau. Plant and Soil, 2021, 459(9): 125-136.

[本文引用: 1]

/