草业学报 ›› 2025, Vol. 34 ›› Issue (8): 54-65.DOI: 10.11686/cyxb2024320
樊文娟(
), 宋建超, 张小娟, 盛宇航, 史金涛, 张龙骥, 鱼小军(
)
收稿日期:2024-08-26
修回日期:2024-11-20
出版日期:2025-08-20
发布日期:2025-06-16
通讯作者:
鱼小军
作者简介:E-mail: yuxj@gsau.edu.cn基金资助:
Wen-juan FAN(
), Jian-chao SONG, Xiao-juan ZHANG, Yu-hang SHENG, Jin-tao SHI, Long-ji ZHANG, Xiao-jun YU(
)
Received:2024-08-26
Revised:2024-11-20
Online:2025-08-20
Published:2025-06-16
Contact:
Xiao-jun YU
摘要:
为探明氮磷配施对扁蓿豆种子产量、产量构成因子及质量的影响,为种子生产提供技术支撑。在甘肃省武威灌区以陇中1号扁蓿豆为材料,采用双因素试验,设置4个氮肥水平0(N0)、47(N1)、94(N2)和141(N3) kg·hm-2,4个磷肥水平0(P0)、60(P1)、120(P2)和180(P3) kg·hm-2,研究了氮磷肥配施下播种当年扁蓿豆种子产量、产量构成因子及质量的变化特征。结果表明,每花序小花数、每结荚花序荚果数、每荚果种子数及千粒重是影响扁蓿豆种子产量的主要因素。单施氮肥或磷肥有一定的增产效果但不能充分发挥扁蓿豆种子的产量潜力,氮磷配施显著提高了扁蓿豆种子产量。当施肥量为N1P2时,实际种子产量最高,达844 kg·hm2。单施氮肥可以提升扁蓿豆种子的发芽势、发芽率、活力指数,但对发芽指数无显著影响;单施磷肥可提升扁蓿豆种子的发芽率,但对发芽势、活力指数和发芽指数有一定程度的抑制作用;施肥量为N1P2时可提高扁蓿豆种子品质。因此,在武威灌区扁蓿豆种子生产的播种当年,建议施肥量为47 kg N
樊文娟, 宋建超, 张小娟, 盛宇航, 史金涛, 张龙骥, 鱼小军. 氮磷配施对甘肃省武威灌区扁蓿豆种子产量和质量的影响[J]. 草业学报, 2025, 34(8): 54-65.
Wen-juan FAN, Jian-chao SONG, Xiao-juan ZHANG, Yu-hang SHENG, Jin-tao SHI, Long-ji ZHANG, Xiao-jun YU. The effects of combined nitrogen and phosphorus fertilization on seed yield and quality of Medicago ruthenica in the Wuwei irrigation district, Gansu Province[J]. Acta Prataculturae Sinica, 2025, 34(8): 54-65.
| pH | 有机质 Organic matter (g | 速效氮 Available nitrogen (mg | 速效磷 Available phosphorus (mg | 速效钾 Available potassium (mg |
|---|---|---|---|---|
| 8.66 | 10.56 | 56.87 | 9.52 | 128.94 |
表1 试验地土壤特性
Table 1 Soil characteristics of the test site
| pH | 有机质 Organic matter (g | 速效氮 Available nitrogen (mg | 速效磷 Available phosphorus (mg | 速效钾 Available potassium (mg |
|---|---|---|---|---|
| 8.66 | 10.56 | 56.87 | 9.52 | 128.94 |
处理 Treatment | 施肥量Fertilizer application | 处理 Treatment | 施肥量Fertilizer application | ||
|---|---|---|---|---|---|
| N | P2O5 | N | P2O5 | ||
| N0P0 | 0 | 0 | N2P0 | 94 | 0 |
| N0P1 | 0 | 60 | N2P1 | 94 | 60 |
| N0P2 | 0 | 120 | N2P2 | 94 | 120 |
| N0P3 | 0 | 180 | N2P3 | 94 | 180 |
| N1P0 | 47 | 0 | N3P0 | 141 | 0 |
| N1P1 | 47 | 60 | N3P1 | 141 | 60 |
| N1P2 | 47 | 120 | N3P2 | 141 | 120 |
| N1P3 | 47 | 180 | N3P3 | 141 | 180 |
表2 施肥处理
Table 2 Fertilizer treatments (kg·hm-2)
处理 Treatment | 施肥量Fertilizer application | 处理 Treatment | 施肥量Fertilizer application | ||
|---|---|---|---|---|---|
| N | P2O5 | N | P2O5 | ||
| N0P0 | 0 | 0 | N2P0 | 94 | 0 |
| N0P1 | 0 | 60 | N2P1 | 94 | 60 |
| N0P2 | 0 | 120 | N2P2 | 94 | 120 |
| N0P3 | 0 | 180 | N2P3 | 94 | 180 |
| N1P0 | 47 | 0 | N3P0 | 141 | 0 |
| N1P1 | 47 | 60 | N3P1 | 141 | 60 |
| N1P2 | 47 | 120 | N3P2 | 141 | 120 |
| N1P3 | 47 | 180 | N3P3 | 141 | 180 |
图2 氮磷配施对扁蓿豆产量构成因子的影响不同小写字母表示不同处理间差异达0.05显著性水平Different lowercase letters indicate significant differences of 0.05 level between different treatments;***, **, *: P<0.001,P<0.01,P<0.05; ns: 差异不显著No significant difference; N, P, N×P: 氮肥、磷肥及氮磷肥间的交互作用Nitrogen fertilizer, phosphorus fertilizer, and the interaction between nitrogen and phosphorus.
Fig.2 Effect of nitrogen and phosphorus rationing on yield components of M. ruthenica
图3 氮、磷及其交互作用对扁蓿豆产量构成因子解释的方差NRB: 每m2生殖枝数 Number of reproductive branches·m-2; NI: 每生殖枝花序数 Number of flowers per reproductive branch; NF: 每花序小花数 Number of florets per inflorescence; PI: 每生殖枝结荚花序数 Number of pod inflorescences per reproductive branch; NP: 每结荚花序荚果数 Number of pods per pod inflorescence; NS: 每荚果种子数 Number of seeds per pod; TSW: 千粒重 1000-seed weight (g); PH: 株高 Plant height (cm).
Fig.3 The variance of nitrogen, phosphorus, and their interactions in explaining the yield components of M. ruthenica
处理 Treatment | 表现种子产量 Expressed seed yield | 实际种子产量 Actual seed yield | 处理 Treatment | 表现种子产量 Expressed seed yield | 实际种子产量 Actual seed yield |
|---|---|---|---|---|---|
| N0 P0 | 6228.50gh | 634.00ef | N2P0 | 6622.64fgh | 636.47ef |
| N0P1 | 10658.44bcdefg | 677.30de | N2P1 | 11398.09bcdef | 638.40ef |
| N0P2 | 15288.58abc | 818.97ab | N2P2 | 10337.72cdefg | 763.83bc |
| N0P3 | 11319.72bcdef | 716.73cde | N2P3 | 16511.86a | 746.67bcd |
| N1P0 | 13563.53abcde | 690.20cde | N3P0 | 14938.72abcd | 550.53g |
| N1P1 | 15569.76ab | 764.03bc | N3P1 | 12232.85abcde | 591.37fg |
| N1P2 | 15579.61ab | 844.30a | N3P2 | 9827.12efg | 641.13ef |
| N1P3 | 9991.03defg | 725.37cd | N3P3 | 3908.10h | 471.00h |
| 方差分析ANOVA (F) | |||||
| 氮N | 3.95* | 42.058*** | 氮 | 7.63*** | 3.194** |
| 磷P | 2.89ns | 21.772*** | |||
表3 氮磷肥配施对扁蓿豆表现种子产量和实际种子产量的影响
Table 3 Effect of combined application of nitrogen and phosphorus fertilizers on the expressed seed yield and actual seed yield of M. ruthenica (kg·hm-2)
处理 Treatment | 表现种子产量 Expressed seed yield | 实际种子产量 Actual seed yield | 处理 Treatment | 表现种子产量 Expressed seed yield | 实际种子产量 Actual seed yield |
|---|---|---|---|---|---|
| N0 P0 | 6228.50gh | 634.00ef | N2P0 | 6622.64fgh | 636.47ef |
| N0P1 | 10658.44bcdefg | 677.30de | N2P1 | 11398.09bcdef | 638.40ef |
| N0P2 | 15288.58abc | 818.97ab | N2P2 | 10337.72cdefg | 763.83bc |
| N0P3 | 11319.72bcdef | 716.73cde | N2P3 | 16511.86a | 746.67bcd |
| N1P0 | 13563.53abcde | 690.20cde | N3P0 | 14938.72abcd | 550.53g |
| N1P1 | 15569.76ab | 764.03bc | N3P1 | 12232.85abcde | 591.37fg |
| N1P2 | 15579.61ab | 844.30a | N3P2 | 9827.12efg | 641.13ef |
| N1P3 | 9991.03defg | 725.37cd | N3P3 | 3908.10h | 471.00h |
| 方差分析ANOVA (F) | |||||
| 氮N | 3.95* | 42.058*** | 氮 | 7.63*** | 3.194** |
| 磷P | 2.89ns | 21.772*** | |||
项目 Item | 生殖枝数·m-2 NRB | 每生殖枝花序数NI | 每花序小花数NF | 每生殖枝结荚花序数NPI | 每结荚花序荚果数NP | 每荚果种子数NS | 千粒重TSW | 株高PH |
|---|---|---|---|---|---|---|---|---|
| 每生殖枝花序数NI | 0.367* | 1.000 | ||||||
| 每花序小花数NF | 0.115 | 0.230 | 1.000 | |||||
| 每生殖枝结荚花序数NPI | 0.415** | 0.871** | 0.213 | 1.000 | ||||
| 每结荚花序荚果数NP | 0.122 | 0.099 | 0.623** | 0.109 | 1.000 | |||
| 每荚果种子数NS | 0.102 | -0.056 | 0.337* | 0.024 | 0.165 | 1.000 | ||
| 千粒重TSW | -0.039 | -0.069 | 0.220 | 0.001 | 0.382** | -0.088 | 1.000 | |
| 株高PH | 0.058 | 0.115 | 0.009 | 0.227 | 0.126 | 0.203 | -0.018 | 1.000 |
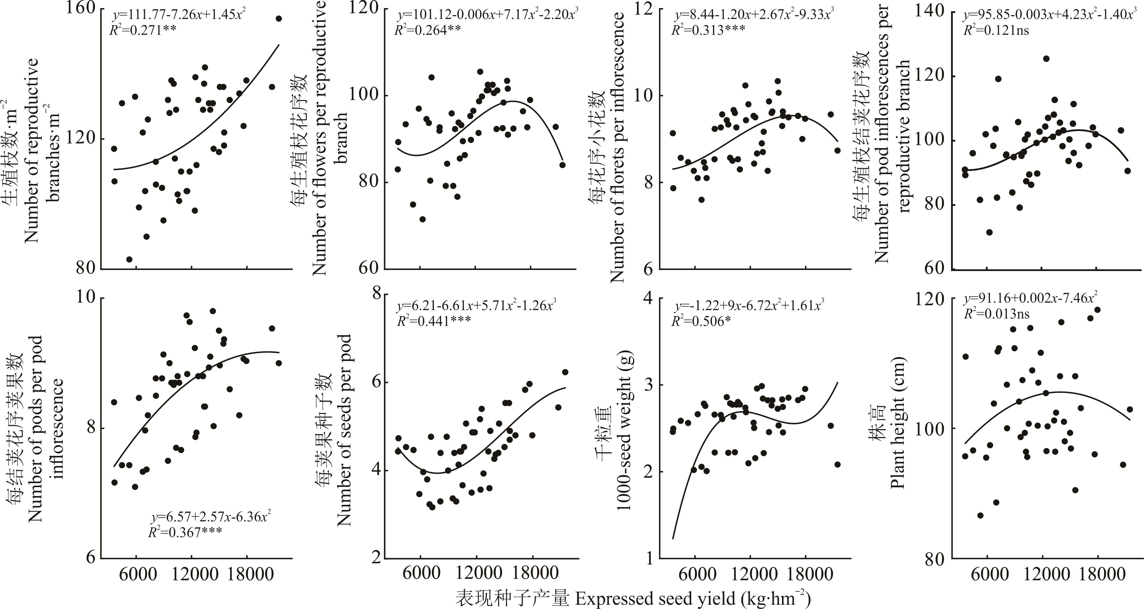
| 表现种子产量Expressed seed yield | 0.526** | 0.322* | 0.530** | 0.380** | 0.599** | 0.585** | 0.223 | 0.145 |
表4 扁蓿豆表现种子产量与产量构成因子间的相关分析
Table 4 Correlation analysis of M. ruthenica expressed seed yield and yield composition factor
项目 Item | 生殖枝数·m-2 NRB | 每生殖枝花序数NI | 每花序小花数NF | 每生殖枝结荚花序数NPI | 每结荚花序荚果数NP | 每荚果种子数NS | 千粒重TSW | 株高PH |
|---|---|---|---|---|---|---|---|---|
| 每生殖枝花序数NI | 0.367* | 1.000 | ||||||
| 每花序小花数NF | 0.115 | 0.230 | 1.000 | |||||
| 每生殖枝结荚花序数NPI | 0.415** | 0.871** | 0.213 | 1.000 | ||||
| 每结荚花序荚果数NP | 0.122 | 0.099 | 0.623** | 0.109 | 1.000 | |||
| 每荚果种子数NS | 0.102 | -0.056 | 0.337* | 0.024 | 0.165 | 1.000 | ||
| 千粒重TSW | -0.039 | -0.069 | 0.220 | 0.001 | 0.382** | -0.088 | 1.000 | |
| 株高PH | 0.058 | 0.115 | 0.009 | 0.227 | 0.126 | 0.203 | -0.018 | 1.000 |
| 表现种子产量Expressed seed yield | 0.526** | 0.322* | 0.530** | 0.380** | 0.599** | 0.585** | 0.223 | 0.145 |
项目 Item | 生殖枝数·m-2 NRB | 每生殖枝花序数NI | 每花序小花数NF | 每生殖枝结荚花序数NPI | 每结荚花序荚果数NP | 每荚果种子数NS | 千粒重TSW | 株高PH |
|---|---|---|---|---|---|---|---|---|
| 每生殖枝花序数NI | 0.367* | |||||||
| 每花序小花数NF | 0.115 | 0.230 | ||||||
| 每生殖枝结荚花序数NPI | 0.415** | 0.871** | 0.213 | |||||
| 每结荚花序荚果数NP | 0.122 | 0.099 | 0.623** | 0.109 | ||||
| 每荚果种子数NS | 0.102 | -0.056 | 0.337* | 0.024 | 0.165 | |||
| 千粒重TSW | -0.039 | -0.069 | 0.220 | 0.001 | 0.382** | -0.088 | ||
| 株高PH | 0.058 | 0.115 | 0.009 | 0.227 | 0.126 | 0.203 | -0.018 | |
| 实际种子产量Actual seed yield | 0.213 | 0.133 | 0.392** | 0.088 | 0.384** | 0.272 | -0.157 | 0.081 |
表5 扁蓿豆实际种子产量与产量构成因子间的相关分析
Table 5 Correlation analysis of M. ruthenica actual seed yield and yield composition factor
项目 Item | 生殖枝数·m-2 NRB | 每生殖枝花序数NI | 每花序小花数NF | 每生殖枝结荚花序数NPI | 每结荚花序荚果数NP | 每荚果种子数NS | 千粒重TSW | 株高PH |
|---|---|---|---|---|---|---|---|---|
| 每生殖枝花序数NI | 0.367* | |||||||
| 每花序小花数NF | 0.115 | 0.230 | ||||||
| 每生殖枝结荚花序数NPI | 0.415** | 0.871** | 0.213 | |||||
| 每结荚花序荚果数NP | 0.122 | 0.099 | 0.623** | 0.109 | ||||
| 每荚果种子数NS | 0.102 | -0.056 | 0.337* | 0.024 | 0.165 | |||
| 千粒重TSW | -0.039 | -0.069 | 0.220 | 0.001 | 0.382** | -0.088 | ||
| 株高PH | 0.058 | 0.115 | 0.009 | 0.227 | 0.126 | 0.203 | -0.018 | |
| 实际种子产量Actual seed yield | 0.213 | 0.133 | 0.392** | 0.088 | 0.384** | 0.272 | -0.157 | 0.081 |
| 1 | Xie J X, Mao J P, Li Z R, et al. Complete chloroplast genome of a high-quality forage in north China, Medicago ruthenica (Fabaceae:Trifolieae). Mitochondrial DNA Part B, 2021, 6(1): 29-30. |
| 2 | Guo M W, Zhu L, Li H Y, et al. Mechanism of pod shattering in the forage legume Medicago ruthenica. Plant Physiology and Biochemistry, 2022, 185: 260-267. |
| 3 | Li Y, Wang L L, Ma K K, et al. Effects of γ-aminobutyric acid on seed germination of Medicago ruthenica under low temperature. Grassland and Turf, 2023, 43(3): 118-125. |
| 李颖, 汪玲玲, 马凯凯, 等. 低温条件下γ-氨基丁酸对扁蓿豆种子萌发的影响. 草原与草坪, 2023, 43(3): 118-125. | |
| 4 | Mao P S, Sun M, Sun S J. Research on theory of alfalfa seed production in northern China. Heilongjiang Animal Science and Veterinary Medicine, 2023(11): 26-30. |
| 毛培胜, 孙铭, 孙守江. 我国北方地区苜蓿种子生产的理论与技术研究进展. 黑龙江畜牧兽医, 2023(11): 26-30. | |
| 5 | Wang Y X, Li C J, Chen S M, et al. Effects of nitrogen fertilizer application time on pod retention rate and seed yield of alfalfa. Pratacultural Science, 2015, 32(2): 231-235. |
| 王玉祥, 李陈建, 陈述明, 等. 施氮肥时间对苜蓿结荚率及种子产量的影响. 草业科学, 2015, 32(2): 231-235. | |
| 6 | Zhang W J, Yang L, Zhang L J, et al. The growth and phosphorus efficiency of different alfalfa varieties under low phosphours. Grassland and Turf, 2021, 41(6): 81-87. |
| 张文杰, 杨亮, 张龙骥, 等. 低磷土壤条件对不同苜蓿品种的生长和磷效率的影响. 草原与草坪, 2021, 41(6): 81-87. | |
| 7 | Zhao M Y, Wang B, Wang T F, et al. Effects of different seeding rates on seed yield and components of alfalfa. Pratacultural Science, 2023, 40(11): 2871-2878. |
| 赵梦雨, 王斌, 王腾飞, 等. 不同播种量对紫花苜蓿种子产量及构成因素的影响. 草业科学, 2023, 40(11): 2871-2878. | |
| 8 | Zhao Y X, Li X P, Xia F S, et al. Effect of fertilization on the seed yield of individual plants of Lespedeza davurica. Heilongjiang Animal Science and Veterinary Medicine, 2019(7): 104-107. |
| 赵宇星, 李小鹏, 夏方山, 等. 施肥对达乌里胡枝子单株种子产量的影响. 黑龙江畜牧兽医, 2019(7): 104-107. | |
| 9 | Li L, Li N, Sheng J D, et al. Effects of nitrogen and planting density on alfalfa growth and seed yield. Acta Agrestia Sinica, 2012, 20(1): 54-57, 62. |
| 李丽, 李宁, 盛建东, 等. 施氮量和种植密度对紫花苜蓿生长及种子产量的影响. 草地学报, 2012, 20(1): 54-57, 62. | |
| 10 | Yang J, Sui X Q, Wang X Y, et al. Effect of combined application of nitrogen fertiliser and compound nitrophenol sodium on the physiological characteristics and seed yield of alfalfa. Acta Agrestia Sinica, 2024, 32(5): 1471-1478. |
| 杨静, 隋晓青, 王鑫尧, 等. 氮肥与复硝酚钠复配施用对紫花苜蓿生理特性及种子产量的影响. 草地学报, 2024, 32(5): 1471-1478. | |
| 11 | Liu H X, Li N, Sheng J D, et al. Effects of phosphorus fertilizer on the growth and seed yield of alfalfa. Acta Agrestia Sinica, 2013, 21(3): 571-575. |
| 刘焕鲜, 李宁, 盛建东, 等. 磷肥对紫花苜蓿生长和种子产量的影响. 草地学报, 2013, 21(3): 571-575. | |
| 12 | Chen Q, Liu W D, Li W J. Studies on the effects of treatment with different phosphorus on alfalfa seed yield. Xinjiang Agricultural Sciences, 2007, 44(2): 231-234. |
| 陈强, 柳卫东, 李卫军. 磷肥处理对苜蓿种子产量的影响. 新疆农业科学, 2007, 44(2): 231-234. | |
| 13 | Tian X H, Du W H. Effect of nitrogen, phosphorus and potassium fertilizer on seed yield and yield components of alfalfa (Medicago sativa). Chinese Journal of Grassland, 2008, 30(4): 16-20. |
| 田新会, 杜文华. 氮、磷、钾肥对紫花苜蓿种子产量及产量构成因素的影响. 中国草地学报, 2008, 30(4): 16-20. | |
| 14 | Kuerban·Nizhamiding, Zhu J Z, Li W J, et al. Effect of applying nitrogen and phosphorus fertilizer on alfalfa seed yield. Xinjiang Agricultural Sciences, 2009, 46(1): 152-155. |
| 库尔班·尼扎米丁, 朱进忠, 李卫军, 等. 氮、磷肥对制种苜蓿种子增产效应的研究. 新疆农业科学, 2009, 46(1): 152-155. | |
| 15 | Li H X. Studies on seed growth characters and seed yield components of Ruthenian medic. Hohhot: Inner Mongolia Agricultural University, 2006. |
| 李海贤. 扁蓿豆种子发育特性和种子产量构成因子的研究. 呼和浩特: 内蒙古农业大学, 2006. | |
| 16 | Li L, Xiao R, Zhang Y L. Effects of combined application of nitrogen, phosphorus and potassium on seed maize yield and economic benefit. Crops, 2022(5): 111-117. |
| 李龙, 肖让, 张永玲. 氮磷钾配施对制种玉米产量及经济效益的影响. 作物杂志, 2022(5): 111-117. | |
| 17 | Du W H, Tian X H, Cao Z Z. Influence of row spacing and irrigation rate on seed yield of Medicago sativa. Acta Prataculturae Sinica, 2007, 16(3): 81-87. |
| 杜文华, 田新会, 曹致中. 播种行距和灌水量对紫花苜蓿种子产量及其构成因素的影响. 草业学报, 2007, 16(3): 81-87. | |
| 18 | Chen D D. Effects of irrigation frequency and application of phosphate diamine on alfalfa seed production in the Yellow River irrigated region. Lanzhou: Lanzhou University, 2016. |
| 陈冬冬. 灌溉次数和磷酸二铵施量对甘肃引黄灌区紫花苜蓿种子生产的影响. 兰州: 兰州大学, 2016. | |
| 19 | Xue X K. Effect of density and harvesting period on seed yield and quality of different strains of Medicago ruthenica. Hohhot: Inner Mongolia Agricultural University, 2023. |
| 薛晓坤. 密度和收获期对不同株型扁蓿豆种子产量及其品质的影响. 呼和浩特: 内蒙古农业大学, 2023. | |
| 20 | The People’s Republic of China State Bureau of Quality and Technical Supervision. The People’s Republic of China national standard forage seed inspection regulations, GB/T 2930.1-11-2001. Beijing: Standards Press of China, 2001: 31-48. |
| 国家质量技术监督局. 中华人民共和国国家标准牧草种子检验规程, GB/T 2930.1-11-2001. 北京: 中国标准出版社, 2001: 31-48. | |
| 21 | Song J C. Effect of combined application of nitrogen, phosphorus and potassium fertilizer on seed yield, quality of Elymus nutans and soil properties of grassland in alpine region. Lanzhou: Gansu Agricultural University, 2022. |
| 宋建超. 氮磷钾肥配施对高寒区垂穗披碱草种子产量、质量和土壤特性的影响. 兰州: 甘肃农业大学, 2022. | |
| 22 | Assefa Y, Purcell L C, Salmeron M, et al. Assessing variation in US soybean seed composition (protein and oil). Frontiers in Plant Science, 2019, 10: 298. |
| 23 | Yan J, Han X Z, Ding J, et al. Responses of growth, nodulation and yield of soybean to different nitrogen and phosphorus fertilization management. Journal of Plant Nutrition and Fertilizers, 2014, 20(2): 318-325. |
| 严君, 韩晓增, 丁娇, 等. 东北黑土区大豆生长、结瘤及产量对氮、磷的响应. 植物营养与肥料学报, 2014, 20(2): 318-325. | |
| 24 | Zhe H T. Effect of nitrogen fertilizer on reproductive allocation and seed yield of alfalfa. Urumqi: Xinjiang Agricultural University, 2020. |
| 哲海涛. 氮肥对苜蓿生殖分配及种子产量的影响. 乌鲁木齐: 新疆农业大学, 2020. | |
| 25 | Dimanno N M, Ostertag R. Reproductive response to nitrogen and phosphorus fertilization along the Hawaiian archipelago’s natural soil fertility gradient. Oecologia, 2016, 180(1): 245-255. |
| 26 | Xue Y, Zhu S, Schultze-Kraft R, et al. Dissection of crop metabolome responses to nitrogen, phosphorus, potassium, and other nutrient deficiencies. International Journal of Molecular Sciences, 2022, 23(16): 9079. |
| 27 | Zheng M N, Liang X Z, Han Z S, et al. Effects of phosphorus application levels on phosphorus accumulation and seed yield factors of alfalfa (Medicago sativa). Acta Agrestia Sinica, 2020, 28(1): 80-87. |
| 郑敏娜, 梁秀芝, 韩志顺, 等. 不同磷素水平对紫花苜蓿磷累积动态和种子产量构成因子的影响. 草地学报, 2020, 28(1): 80-87. | |
| 28 | Zhao J, Huang R, Wang X, et al. Effects of combined nitrogen and phosphorus application on protein fractions and nonstructural carbohydrate of alfalfa. Frontiers in Plant Science, 2023, 14: 112466. |
| 29 | Zhang Y Y. Study on rapid propagation, seed yield affecting components and the effect of fertilizer of Medicago ruthenica strains. Lanzhou: Gansu Agricultural University, 2010. |
| 张彦艳. 扁蓿豆新品系组培快繁、种子产量构成因子及施肥效应研究. 兰州: 甘肃农业大学, 2010. | |
| 30 | Yang J, Jiang R, Zhang H, et al. Modelling maize yield, soil nitrogen balance and organic carbon changes under long-term fertilization in Northeast China. Journal of Environmental Management, 2023, 325: 116454. |
| 31 | Liu H, Zhao Q, Cheng Y. Composted invasive plant Ageratina adenophora enhanced barley (Hordeum vulgare) growth and soil conditions. PLoS One, 2022, 17(9): e0275302. |
| 32 | Wang Q, Wang X C, Li X Y, et al. Effect of “3414” fertilization on seed yield and quality of Bromus inermis in arid area of Ningxia. Acta Agrestia Sinica, 2022, 30(12): 3470-3480. |
| 王琴, 王旭成, 李小云, 等. “3414”施肥效应对宁夏干旱区无芒雀麦种子产量和质量的影响. 草地学报, 2022, 30(12): 3470-3480. | |
| 33 | Yin Z, Guo W, Xiao H, et al. Nitrogen, phosphorus, and potassium fertilization to achieve expected yield and improve yield components of mung bean. PLoS One, 2018, 13(10): e0206285. |
| 34 | Wang Y X, Chai J L, Zhou Y Y, et al. Effects of planting method on seed yield and its components in Medicago ruthenica in an arid area of Longzhong. Acta Prataculturae Sinica, 2021, 30(8): 60-72. |
| 王玉霞, 柴锦隆, 周洋洋, 等. 种植方式对陇中干旱区扁蓿豆种子产量及构成因素的影响. 草业学报, 2021, 30(8): 60-72. | |
| 35 | Yuan S, Ling Y, Xiong Y, et al. Effect of nitrogen fertilizer on seed yield and quality of Kengyilia melanthera (Triticeae, Poaceae). PeerJ, 2022, 10: e14101. |
| 36 | Wang X G. Effects of density manipulation, cutting, fertilizer and growth regulator application on the characteristics related to alfalfa (Medicago sativa L.) seed yield and quality. Beijing: China Agricultural University, 2005. |
| 王显国. 密度调控、施肥、刈割等措施对紫花苜蓿种子产量和质量的影响. 北京: 中国农业大学, 2005. | |
| 37 | Cheng J, Ma C H, Han J G, et al. Effect of application of nitrogen fertilizer on seed quality of tall festucain Xinjiang. Agricultural Research in the Arid Areas, 2003, 21(2): 59-61, 67. |
| 程军, 马春晖, 韩建国, 等. 施氮肥对新疆高羊茅种子质量的影响. 干旱地区农业研究, 2003, 21(2): 59-61, 67. | |
| 38 | Zhang Y M. Effects of fertilizer and row spacing on the seed yield and seed quality of Medicago sativa L. and Onobrychis viciaefolia Scop. cv. Mengnong. Beijing: Chinese Academy of Agricultural Sciences, 2010. |
| 张银敏. 行距与施肥对紫花苜蓿和蒙农红豆草种子产量及质量的影响. 北京: 中国农业科学院, 2010. | |
| 39 | Gong Q. Effect of diammonium phosphate on seed yield and yield components and seed vigor of Psathyrostachys juncea ‘Mengnong No. 4’. Hohhot: Inner Mongolia Agricultural University, 2016. |
| 巩青. 施用磷酸二铵对蒙农4号新麦草种子产量及其产量构成因子和种子活力的影响. 呼和浩特: 内蒙古农业大学, 2016. | |
| 40 | Liu R L, Liu S Q, Zhang Y R, et al. Combined application of NPK fertilizers improves the seed yield and quality of Angelica dahurica var. formosana. Journal of Plant Nutrition and Fertilizers, 2024, 30(4): 812-823. |
| 刘仁浪, 刘思琴, 张宇柔, 等. 氮磷钾配合施用提高白芷种子产量和质量. 植物营养与肥料学报, 2024, 30(4): 812-823. | |
| 41 | Ge Y Z, Liu W F, Wu J P, et al. Effects of different fertilization treatments on quality of the seeds in a third generation seed orchard of Cunninghamia lanceolate. Journal of Forest and Environment, 2016, 36(4): 442-448. |
| 葛艺早, 刘文飞, 吴建平, 等. 不同施肥处理对杉木种子园种子品质的影响. 森林与环境学报, 2016, 36(4): 442-448. | |
| 42 | Duo T Q, Ji G X, Wu Y S, et al. Effects of N, K fertilizer and density on seed yield and quality of Glycine max (L.) Merr. Chinese Journal of Grassland, 2018, 40(1): 62-67. |
| 多田琦, 冀国旭, 吴雨珊, 等. 施磷钾肥和密度对秣食豆种子产量和质量的影响. 中国草地学报, 2018, 40(1): 62-67. |
| [1] | 张译尹, 王斌, 王腾飞, 兰剑, 胡海英. 苜蓿种子田间作小黑麦对饲草产量、水分利用及苜蓿种子产量的影响[J]. 草业学报, 2025, 34(8): 43-53. |
| [2] | 刘启林, 王小军, 王金兰, 刘文辉, 马巧玲, 李建辉, 张生原, 曹文侠, 李文. 氮磷配施对高寒区老芒麦饲草产量的影响[J]. 草业学报, 2025, 34(6): 193-202. |
| [3] | 刘耀博, 裴渌, 刘琛琢, 李晓霞, 邹博坤. 基于Meta分析中国老芒麦种子产量和产量组分对施肥的响应[J]. 草业学报, 2025, 34(6): 85-98. |
| [4] | 邢静, 范文强, 王佳妮, 石凤翎. 干旱胁迫下 2个扁蓿豆品种根际细菌多样性及土壤灭菌对其生长的影响[J]. 草业学报, 2024, 33(12): 147-159. |
| [5] | 王凤宇, 梁国玲, 胡泽龙, 刘文辉. 地理因子对青藏高原野生垂穗披碱草表型及种子产量的影响[J]. 草业学报, 2024, 33(11): 198-214. |
| [6] | 廖小琴, 王长庭, 刘丹, 唐国, 毛军. 氮磷配施对高寒草甸植物根系特征的影响[J]. 草业学报, 2023, 32(7): 160-174. |
| [7] | 董佳琦, 杨艳婷, 范文强, 王佳妮, 石凤翎. 扁蓿豆种内杂种鉴定及其F1和F2代主要农艺性状优势分析[J]. 草业学报, 2023, 32(7): 229-239. |
| [8] | 哈雪, 张金青, 白方旭, 马祥荣, 王安琦, 马晖玲. 甘肃野生草地早熟禾种质种子产量相关性状分析及其对矿质元素利用效应评价[J]. 草业学报, 2023, 32(4): 54-67. |
| [9] | 李彤瑶, 周青平, 陈有军, 詹圆, 汪辉. 氮肥用量对披碱草属牧草种子产量和氮肥利用效率的影响[J]. 草业学报, 2023, 32(3): 80-90. |
| [10] | 王星, 黄薇, 余淑艳, 李小云, 高雪芹, 伏兵哲. 宁夏地区地下滴灌水肥耦合对紫花苜蓿种子产量及构成因素的影响[J]. 草业学报, 2022, 31(9): 76-85. |
| [11] | 王玉霞, 柴锦隆, 周洋洋, 徐长林, 王琳, 鱼小军. 种植方式对陇中干旱区扁蓿豆种子产量及构成因素的影响[J]. 草业学报, 2021, 30(8): 60-72. |
| [12] | 王辛有, 曹文侠, 王小军, 刘玉祯, 高瑞, 王世林, 安海涛, 邓秀霞, 王文虎. 河西地区豆禾混播草地生产性能对刈割高度与施肥的响应[J]. 草业学报, 2021, 30(4): 99-110. |
| [13] | 伏兵哲, 周燕飞, 李雪, 倪彪, 高雪芹. 宁夏引黄灌区羊草水肥耦合效应研究[J]. 草业学报, 2020, 29(5): 98-108. |
| [14] | 张梦, 李本银, 刘春增, 吕玉虎, 张成兰, 陈雪青, 曹卫东. 紫云英荚果分层成熟特性及其种子产量研究[J]. 草业学报, 2020, 29(2): 64-72. |
| [15] | 刘凯强, 刘文辉, 魏小星, 贾志锋, 石正海. 不同播量和行距对‘青燕1号’燕麦种子产量的影响[J]. 草业学报, 2020, 29(2): 82-91. |
| 阅读次数 | ||||||
|
全文 |
|
|||||
|
摘要 |
|
|||||