草业学报 ›› 2026, Vol. 35 ›› Issue (3): 128-157.DOI: 10.11686/cyxb2025137
• 研究论文 • 上一篇
王贝贝1(
), 杨畅1, 朱文琰2, 徐世晓3, 孙平1(
)
收稿日期:2025-04-17
修回日期:2025-05-16
出版日期:2026-03-20
发布日期:2026-01-19
通讯作者:
孙平
作者简介:Corresponding author. E-mail: pingsunny@msn.com基金资助:
Bei-bei WANG1(
), Chang YANG1, Wen-yan ZHU2, Shi-xiao XU3, Ping SUN1(
)
Received:2025-04-17
Revised:2025-05-16
Online:2026-03-20
Published:2026-01-19
Contact:
Ping SUN
摘要:
瑞香狼毒是青藏高原草地生态系统中具有双重特性的关键物种。为了探究不同龄级瑞香狼毒对根际及其周围土壤微生物的多样性及群落结构的影响,本研究于2024年8月在青海省海南藏族自治州高寒草甸进行野外采样。选择Ⅲ、Ⅳ、Ⅴ这3个龄级瑞香狼毒,在水平距离0(根际)、30(近根区)、50 cm(远根区)和垂直深度10和20 cm处采集土壤样品,每处理3个生物学重复,共54份样品。采用宏基因组测序技术分别对16S rRNA和ITS区域进行细菌和真菌群落分析。结果表明:随着瑞香狼毒龄级提高,根际及周围土壤的细菌和真菌物种数量及潜在物种丰富度显著增加(P<0.05);采样位点和植物龄级极显著影响土壤微生物群落结构(P<0.001),其中细菌群落对空间变化的响应尤为显著。水平维度上,10 cm深度时Ⅲ龄级根际细菌多样性显著高于近根区和远根区(P<0.05);真菌多样性受采样距离影响不显著。垂直维度上,20 cm时根际细菌α多样性指数极显著低于10 cm深度(P<0.01),但在近根区和远根区,不同深度的细菌和真菌多样性差异不明显。此外,各空间差异下优势菌门稳定,优势细菌门类包括变形菌门、绿弯菌门、酸杆菌门等,优势真菌门为子囊菌门、担子菌门等,但优势菌属的相对丰度存在明显差异。由此可见,瑞香狼毒对土壤中细菌丰度和多样性的影响根据其龄级、土壤深度、水平距离而表现不同,瑞香狼毒对土壤中真菌多样性无显著影响。在根际区域,土壤深度对细菌多样性具有显著影响,表明瑞香狼毒与土壤环境因子共同调控微生物群落结构。研究通过整合瑞香狼毒根际及周围土壤微生物多样性数据,首次构建了瑞香狼毒与土壤微生物互作的三维空间模型,为解析毒害植物-微生物协同进化机制提供了新的理论框架。
王贝贝, 杨畅, 朱文琰, 徐世晓, 孙平. 不同龄级瑞香狼毒根系周围微生物群落结构的空间差异研究[J]. 草业学报, 2026, 35(3): 128-157.
Bei-bei WANG, Chang YANG, Wen-yan ZHU, Shi-xiao XU, Ping SUN. Spatial differences in microbial communities around the root system of Stellera chamaejasme plants of different ages[J]. Acta Prataculturae Sinica, 2026, 35(3): 128-157.
分组 Group | 样本名称 Sample name | 细菌/真菌 Bacteria/fungi | 总测序片段数 Total number of reads | 总测序碱基数 Total sequencing base number (bp) | 总OTU数目 Total number of OTUs |
|---|---|---|---|---|---|
| 1 | A1-1、A2-1、A3-1;B1-1、B2-1、B3-1;C1-1、C2-1、C3-1 | 细菌Bacteria | 576143 | 241452646 | 29518 |
| 真菌Fungi | 601165 | 142146558 | 5062 | ||
| 2 | A1-2、A2-2、A3-2;B1-2、B2-2、B3-2;C1-2、C2-2、C3-2 | 细菌Bacteria | 299433 | 122552686 | 14365 |
| 真菌Fungi | 579338 | 137116973 | 4347 | ||
| 3 | A1-3、A2-3、A3-3;B1-3、B2-3、B3-3;C1-3、C2-3、C3-3 | 细菌Bacteria | 421359 | 173300560 | 18997 |
| 真菌Fungi | 549393 | 134968751 | 5035 | ||
| 4 | A1-4、A2-4、A3-4;B1-4、B2-4、B3-4;C1-4、C2-4、C3-4 | 细菌Bacteria | 519368 | 217130860 | 20329 |
| 真菌Fungi | 544665 | 129402703 | 4429 | ||
| 5 | A1-5、A2-5、A3-5;B1-5、B2-5、B3-5;C1-5、C2-5、C3-5 | 细菌Bacteria | 702469 | 295474670 | 29003 |
| 真菌Fungi | 564010 | 134045411 | 4896 | ||
| 6 | A1-6、A2-6、A3-6;B1-6、B2-6、B3-6;C1-6、C2-6、C3-6 | 细菌Bacteria | 673482 | 283722657 | 25629 |
| 真菌Fungi | 556919 | 136174811 | 4488 | ||
| 7 | A1-1、A2-1、A3-1;A1-3、A2-3、A3-3;A1-5、A2-5、A3-5 | 细菌Bacteria | 525212 | 218913044 | 24271 |
| 真菌Fungi | 570403 | 133260335 | 4704 | ||
| 8 | B1-1、B2-1、B3-1;B1-3、B2-3、B3-3;B1-5、B2-5、B3-5 | 细菌Bacteria | 551501 | 230470277 | 24576 |
| 真菌Fungi | 623551 | 146098308 | 5683 | ||
| 9 | C1-1、C2-1、C3-1;C1-3、C2-3、C3-3;C1-5、C2-5、C3-5 | 细菌Bacteria | 623258 | 260844555 | 29098 |
| 真菌Fungi | 520614 | 131802077 | 5167 | ||
| 10 | A1-2、A2-2、A3-2;A1-4、A2-4、A3-4;A1-6、A2-6、A3-6 | 细菌Bacteria | 444110 | 185317968 | 16859 |
| 真菌Fungi | 582645 | 138979134 | 4295 | ||
| 11 | B1-2、B2-2、B3-2;B1-4、B2-4、B3-4;B1-6、B2-6、B3-6 | 细菌Bacteria | 508515 | 213012898 | 23110 |
| 真菌Fungi | 562485 | 133882165 | 4850 | ||
| 12 | C1-2、C2-2、C3-2;C1-4、C2-4、C3-4;C1-6、C2-6、C3-6 | 细菌Bacteria | 539658 | 225075337 | 22152 |
| 真菌Fungi | 535792 | 129833188 | 4395 | ||
| 13 | A1-1、A2-1、A3-1;A1-2、A2-2、A3-2 | 细菌Bacteria | 273856 | 113761515 | 11715 |
| 真菌Fungi | 402235 | 95350682 | 2463 | ||
| 14 | B1-1、B2-1、B3-1;B1-2、B2-2、B3-2 | 细菌Bacteria | 279763 | 116314450 | 12657 |
| 真菌Fungi | 396167 | 92769601 | 3379 | ||
| 15 | C1-1、C2-1、C3-1;C1-2、C2-2、C3-2 | 细菌Bacteria | 321957 | 133929367 | 14301 |
| 真菌Fungi | 382101 | 91143248 | 3280 | ||
| 16 | A1-3、A2-3、A3-3;A1-4、A2-4、A3-4 | 细菌Bacteria | 270451 | 111525900 | 10691 |
| 真菌Fungi | 377282 | 88991395 | 3165 | ||
| 17 | B1-3、B2-3、B3-3;B1-4、B2-4、B3-4 | 细菌Bacteria | 287818 | 119611639 | 11718 |
| 真菌Fungi | 368067 | 86562959 | 3388 | ||
| 18 | C1-3、C2-3、C3-3;C1-4、C2-4、C3-4 | 细菌Bacteria | 382458 | 159293881 | 13093 |
| 真菌Fungi | 348709 | 88817100 | 2675 | ||
| 19 | A1-5、A2-5、A3-5;A1-6、A2-6、A3-6 | 细菌Bacteria | 425015 | 178943597 | 15634 |
| 真菌Fungi | 373531 | 87897392 | 2713 | ||
| 20 | B1-5、B2-5、B3-5;B1-6、B2-6、B3-6 | 细菌Bacteria | 492435 | 207557086 | 17906 |
| 真菌Fungi | 421802 | 100647913 | 3587 | ||
| 21 | C1-5、C2-5、C3-5;C1-6、C2-6、C3-6 | 细菌Bacteria | 458501 | 192696644 | 18087 |
| 真菌Fungi | 325596 | 81674917 | 3062 |
表1 各处理下获得的测序数据及OTU统计数据
Table 1 Sequencing data and OTU statistical data obtained under different treatments
分组 Group | 样本名称 Sample name | 细菌/真菌 Bacteria/fungi | 总测序片段数 Total number of reads | 总测序碱基数 Total sequencing base number (bp) | 总OTU数目 Total number of OTUs |
|---|---|---|---|---|---|
| 1 | A1-1、A2-1、A3-1;B1-1、B2-1、B3-1;C1-1、C2-1、C3-1 | 细菌Bacteria | 576143 | 241452646 | 29518 |
| 真菌Fungi | 601165 | 142146558 | 5062 | ||
| 2 | A1-2、A2-2、A3-2;B1-2、B2-2、B3-2;C1-2、C2-2、C3-2 | 细菌Bacteria | 299433 | 122552686 | 14365 |
| 真菌Fungi | 579338 | 137116973 | 4347 | ||
| 3 | A1-3、A2-3、A3-3;B1-3、B2-3、B3-3;C1-3、C2-3、C3-3 | 细菌Bacteria | 421359 | 173300560 | 18997 |
| 真菌Fungi | 549393 | 134968751 | 5035 | ||
| 4 | A1-4、A2-4、A3-4;B1-4、B2-4、B3-4;C1-4、C2-4、C3-4 | 细菌Bacteria | 519368 | 217130860 | 20329 |
| 真菌Fungi | 544665 | 129402703 | 4429 | ||
| 5 | A1-5、A2-5、A3-5;B1-5、B2-5、B3-5;C1-5、C2-5、C3-5 | 细菌Bacteria | 702469 | 295474670 | 29003 |
| 真菌Fungi | 564010 | 134045411 | 4896 | ||
| 6 | A1-6、A2-6、A3-6;B1-6、B2-6、B3-6;C1-6、C2-6、C3-6 | 细菌Bacteria | 673482 | 283722657 | 25629 |
| 真菌Fungi | 556919 | 136174811 | 4488 | ||
| 7 | A1-1、A2-1、A3-1;A1-3、A2-3、A3-3;A1-5、A2-5、A3-5 | 细菌Bacteria | 525212 | 218913044 | 24271 |
| 真菌Fungi | 570403 | 133260335 | 4704 | ||
| 8 | B1-1、B2-1、B3-1;B1-3、B2-3、B3-3;B1-5、B2-5、B3-5 | 细菌Bacteria | 551501 | 230470277 | 24576 |
| 真菌Fungi | 623551 | 146098308 | 5683 | ||
| 9 | C1-1、C2-1、C3-1;C1-3、C2-3、C3-3;C1-5、C2-5、C3-5 | 细菌Bacteria | 623258 | 260844555 | 29098 |
| 真菌Fungi | 520614 | 131802077 | 5167 | ||
| 10 | A1-2、A2-2、A3-2;A1-4、A2-4、A3-4;A1-6、A2-6、A3-6 | 细菌Bacteria | 444110 | 185317968 | 16859 |
| 真菌Fungi | 582645 | 138979134 | 4295 | ||
| 11 | B1-2、B2-2、B3-2;B1-4、B2-4、B3-4;B1-6、B2-6、B3-6 | 细菌Bacteria | 508515 | 213012898 | 23110 |
| 真菌Fungi | 562485 | 133882165 | 4850 | ||
| 12 | C1-2、C2-2、C3-2;C1-4、C2-4、C3-4;C1-6、C2-6、C3-6 | 细菌Bacteria | 539658 | 225075337 | 22152 |
| 真菌Fungi | 535792 | 129833188 | 4395 | ||
| 13 | A1-1、A2-1、A3-1;A1-2、A2-2、A3-2 | 细菌Bacteria | 273856 | 113761515 | 11715 |
| 真菌Fungi | 402235 | 95350682 | 2463 | ||
| 14 | B1-1、B2-1、B3-1;B1-2、B2-2、B3-2 | 细菌Bacteria | 279763 | 116314450 | 12657 |
| 真菌Fungi | 396167 | 92769601 | 3379 | ||
| 15 | C1-1、C2-1、C3-1;C1-2、C2-2、C3-2 | 细菌Bacteria | 321957 | 133929367 | 14301 |
| 真菌Fungi | 382101 | 91143248 | 3280 | ||
| 16 | A1-3、A2-3、A3-3;A1-4、A2-4、A3-4 | 细菌Bacteria | 270451 | 111525900 | 10691 |
| 真菌Fungi | 377282 | 88991395 | 3165 | ||
| 17 | B1-3、B2-3、B3-3;B1-4、B2-4、B3-4 | 细菌Bacteria | 287818 | 119611639 | 11718 |
| 真菌Fungi | 368067 | 86562959 | 3388 | ||
| 18 | C1-3、C2-3、C3-3;C1-4、C2-4、C3-4 | 细菌Bacteria | 382458 | 159293881 | 13093 |
| 真菌Fungi | 348709 | 88817100 | 2675 | ||
| 19 | A1-5、A2-5、A3-5;A1-6、A2-6、A3-6 | 细菌Bacteria | 425015 | 178943597 | 15634 |
| 真菌Fungi | 373531 | 87897392 | 2713 | ||
| 20 | B1-5、B2-5、B3-5;B1-6、B2-6、B3-6 | 细菌Bacteria | 492435 | 207557086 | 17906 |
| 真菌Fungi | 421802 | 100647913 | 3587 | ||
| 21 | C1-5、C2-5、C3-5;C1-6、C2-6、C3-6 | 细菌Bacteria | 458501 | 192696644 | 18087 |
| 真菌Fungi | 325596 | 81674917 | 3062 |
图2 不同龄级瑞香狼毒细菌和真菌微生物群落α多样性差异*: P<0.05; **: P<0.01; ***: P<0.001; ****: P<0.0001. 在每个采样位点内,采用单因素方差分析(One-way ANOVA)比较不同龄级间微生物多样性的差异,多重比较采用Tukey HSD检验。每个子图代表一个特定的采样位点(不同水平距离和垂直深度的组合位置),下同。a: 细菌Bacteria; b: 真菌Fungi. One-way ANOVA was performed within each sampling site to compare microbial diversity among different age classes, with Tukey HSD test used for multiple comparisons. Each subplot represents a specific sampling site (combination of different horizontal distances and vertical depths). The same below.
Fig.2 Differences in the α diversity of bacterial and fungal microbial communities of S. chamaejasme at different age classes
图3 不同龄级瑞香狼毒根际及周围微生物细菌菌属间组成差异Acidimicrobiales_uncultured: 嗜酸微菌目未培养; Acidobacteria_norank: 酸杆菌门未分级; Actinobacteria_norank: 放线菌门未分级; Anaerolineaceae_uncultured: 厌氧绳菌科未培养; Bacteria_unclassified: 细菌域未分类; Blastocatellaceae_Subgroup_4_uncultured: 爆炸分枝杆菌科亚群4未培养; Bradyrhizobiaceae_unclassified: 慢生根瘤菌科未分类; DA101_soil_group_norank: DA101土壤群未分级; Gemmatimonadaceae_uncultured: 芽单胞菌科未培养; Gitt-GS-136_norank: Gitt-GS-136未分级; JG30-KF-CM45_norank: JG30-KF-CM45未分级; KD4-96_norank: KD4-96未分级; Nitrospira: 硝化螺菌属; Nitrosomonadaceae_uncultured: 亚硝化单胞菌科未培养; S085_norank: S085未分级; Saccharibacteria_norank: 糖杆菌门未分级; Sphingomonas: 鞘氨醇单胞菌属; Others: 其他。 下同The same below.
Fig.3 Compositional differences of microbial bacterial genera in the rhizosphere and surrounding soil across different age classes of S. chamaejasme
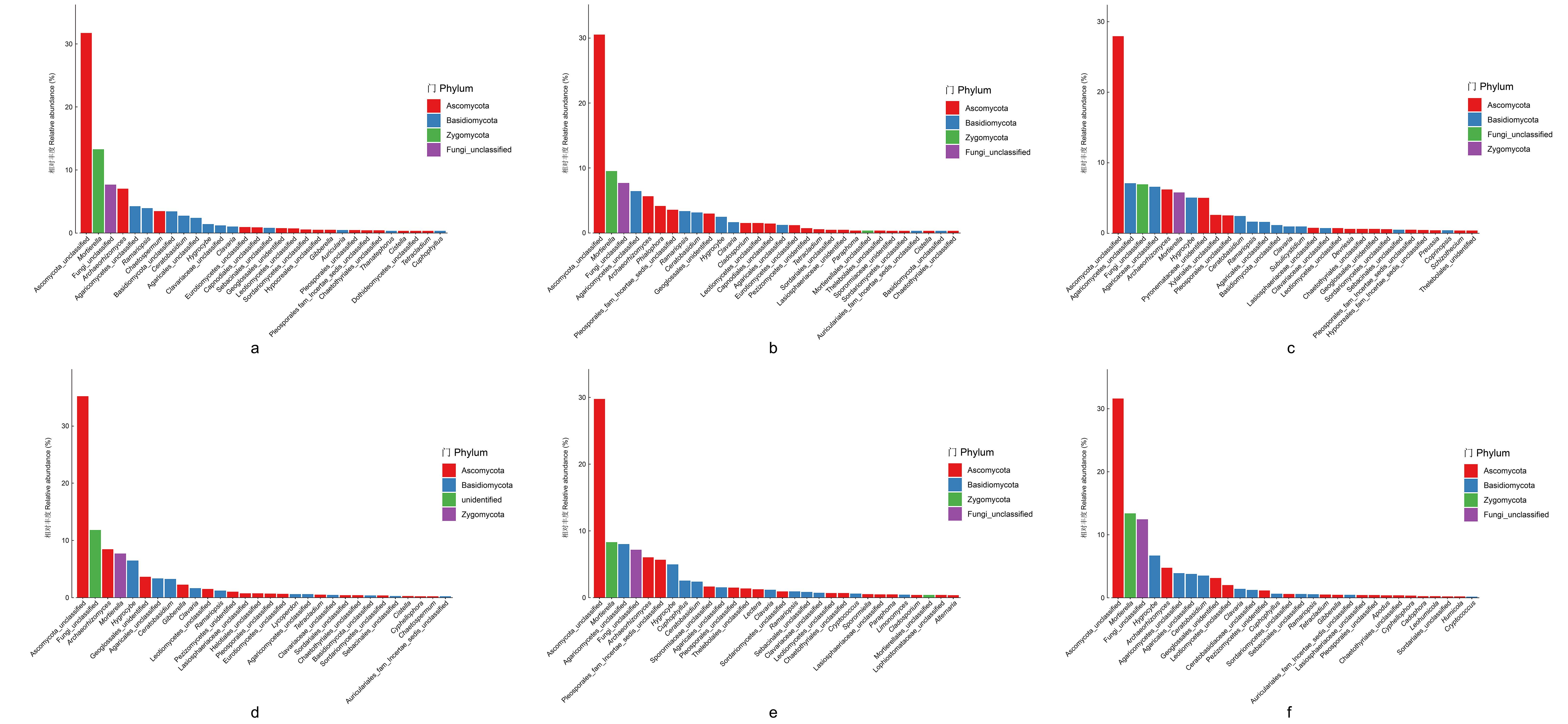
图4 不同龄级瑞香狼毒根际及周围微生物真菌菌属间组成差异Agaricaceae_unclassified: 蘑菇科未分类; Agaricales_unclassified: 伞菌目未分类; Agaricomycetes_unclassified: 伞菌纲未分类; Archaeorhizomyces: 古根菌属; Ascomycota_unclassified: 子囊菌门未分类; Basidiomycota_unclassified: 担子菌门未分类; Ceratobasidium: 角担菌属; Chaetospermum: 毛孢菌属; Cuphophyllus: 杯伞菌属; Fungi_unclassified: 真菌界未分类; Geoglossales_unidentified: 地舌菌目未鉴定; Hygrocybe: 湿伞菌属; Mortierella: 被孢霉属; Phialophora: 瓶霉属; Pleosporales_fam_Incertae_sedis_unclassified: 格孢菌目地位未定科未分类; Pleosporales_unclassified: 格孢菌目未分类; Pyronemataceae_unidentified: 盘菌科未鉴定; Ramariopsis: 拟珊瑚菌属; Sporormiaceae_unclassified: 粪壳菌科未分类; Xylariales_unclassified: 炭角菌目未分类. 下同The same below.
Fig.4 Compositional differences of fungal genera in the rhizosphere and surrounding soil across different age classes of S. chamaejasme
图5 不同龄级瑞香狼毒根际及周围细菌优势菌属组成综合分析a: 根际区,10 cm深度Rhizosphere at 10 cm depth; b: 根际区,20 cm深度Rhizosphere at 20 cm depth; c: 近根区,10 cm深度Near-root zone at 10 cm depth; d: 近根区,20 cm深度Near-root zone at 20 cm depth; e: 远根区,10 cm深度Far-root zone at 10 cm depth; f: 远根区,20 cm深度Far-root zone at 20 cm depth. Acidimicrobiales_unclassified: 嗜酸微菌目未分类; Acidobacteria_unclassified: 酸杆菌门未分类; Actinobacteria_unclassified: 放线菌门未分类; Andibacter: 安迪杆菌属; Bacteroidetes: 拟杆菌门; Bin1_norank: Bin1未分级; Bradyrhizobium: 慢生根瘤菌属; Bryobacter: 苔藓杆菌属; Caulobacter: 柄杆菌属; Chitinophagaceae_uncultured: 噬纤维菌科未培养; Chloroflexi: 绿弯菌门; Comamonadaceae_uncultured: 丛毛单胞菌科未培养; Cyanobacteria_unclassified: 蓝细菌门未分类; Cyronemataceae_uncultured: 丝线菌科未培养; Cytophagaceae_uncultured: 噬胞菌科未培养; Gemmatimonadetes: 芽单胞菌门; Gemmatimonadetes_norank: 芽单胞菌门未分级; Halomonas: 盐单胞菌属; Kofleria: 科夫勒菌属; Lysobacter: 溶杆菌属; Mesorhizobium: 中慢生根瘤菌属; Nordella: 诺德菌属; Nitrospirae: 硝化螺菌门; OM1_clade_norank: OM1进化支未分级; OM190_norank: OM190未分级; Panacagae_norank: Panacagae未分级; Parcubacteria: 小杆菌门; Parcubacteria_norank: 小杆菌门未分级; Phenylobacterium: 苯基杆菌属; Planctomycetaceae_unclassified: 浮霉菌科未分类; Planctomycetes: 浮霉菌门; Proteobacteria: 变形菌门; Rhodoplanes: 红平菌属; Rhodospirillaceae_uncultured: 红螺菌科未培养; Roseiflexus: 玫瑰弯菌属; Subgroup_4: 亚群4; Subgroup_6_norank: 亚群6未分级; Subgroup_7_norank: 亚群7未分级; TK10_norank: TK10未分级; TR3-20_norank: TR3-20未分级; Verrucomicrobia: 疣微菌门; Verrucomicrobia_unclassified: 疣微菌门未分类; Xanthobacter: 黄杆菌属. 下同The same below.
Fig.5 Comprehensive analysis of dominant bacterial genera composition in the rhizosphere and surrounding soil of S. chamaejasme at different age classes
图6 不同龄级瑞香狼毒根际及周围真菌优势菌属组成综合分析Alternaria: 链格孢菌属; Apodus: 无柄菌属; Ascomycota: 子囊菌门; Auricularia: 木耳属; Auriculariales_fam_Incertae_sedis_unclassified: 木耳目地位未定科未分类; Basidiomycota: 担子菌门; Capnodiales_unclassified: 煤炱目未分类; Ceratobasidiaceae_unclassified: 角担菌科未分类; Chaetothyriales_unclassified: 毛球菌目未分类; Cistella: 囊盘菌属; Cladosporium: 枝孢菌属; Clavaria: 珊瑚菌属; Clavariaceae_unclassified: 珊瑚菌科未分类; Coprinopsis: 鬼伞属; Cryptococcus: 隐球菌属; Cyphellophora: 杯状瓶霉属; Cystofilobasidium: 囊丝担子菌属; Dothideomycetes_unclassified: 座囊菌纲未分类; Eurotiomycetes_unclassified: 散囊菌纲未分类; Gibberella: 赤霉菌属; Helicobasidiales_unclassified: 螺旋担子菌目未分类; Humicola: 腐殖菌属; Hypocreales_fam_Incertae_sedis_unclassified: 肉座菌目地位未定科未分类; Hypocreales_unclassified: 肉座菌目未分类; Lasiosphaeriaceae_unclassified: 毛壳菌科未分类; Leohumicola: 狮腐殖菌属; Leotiomycetes_unclassified: 锤舌菌纲未分类; Leotiomycetes_unidentified: 锤舌菌纲未鉴定; Limonomyces: 柠檬菌属; Lophiostomataceae_unclassified: 脊孔壳菌科未分类; Lycoperdon: 马勃属; Mortierellaceae_unclassified: 被孢霉科未分类; Paraphoma: 拟茎点霉属; Pezizomycetes_unclassified: 盘菌纲未分类; Pezizomycetes_unidentified: 盘菌纲未鉴定; Pezizomycotina_unclassified: 盘菌亚门未分类; Preussia: 普劳斯菌属; Schizothecium: 裂壳菌属; Sebacinales_unclassified: 脂膜菌目未分类; Sordariales_unclassified: 粪壳菌目未分类; Sordariomycetes_unclassified: 粪壳菌纲未分类; Sporormiella: 粪壳菌属; Subulicystidium: 锥囊菌属; Tetracladium: 四枝菌属; Thanatephorus: 丝核菌属; Thelebolales_unclassified: 小球菌目未分类; Thelebolales_unidentified: 小球菌目未鉴定; unidentified: 未鉴定; Zygomycota: 接合菌门。下同The same below.
Fig.6 Comprehensive analysis of dominant fungal genera composition in the rhizosphere and surrounding soil of S. chamaejasme at different age classes
图7 不同龄级瑞香狼毒根际及周围土壤细菌和真菌菌属间LefSe分析
Fig.7 LefSe analysis of bacterial and fungal genera in the rhizosphere and surrounding soil of S. chamaejasme at different age classes
续图7 不同龄级瑞香狼毒根际及周围土壤细菌和真菌菌属间LefSe分析(a), (g): 根际区,10 cm深度Rhizosphere at 10 cm depth; (b), (h): 根际区,20 cm深度Rhizosphere at 20 cm depth; (c), (i): 近根区,10 cm深度Near-root zone at 10 cm depth; (d), (j): 近根区,20 cm深度Near-root zone at 20 cm depth; (e), (k): 远根区,10 cm深度Far-root zone at 10 cm depth; (f), (l): 远根区,20 cm深度Far-root zone at 20 cm depth; (a)~(f): 细菌Bacteria; (g)~(l): 真菌Fungi. 01D2Z36_g_norank: 01D2Z36属无等级; Acrocarpospora: 顶果孢菌属; Actinocorallia: 放线珊瑚菌属; Acidimicrobiaceae: 酸微菌科; Acidobacteriales: 酸杆菌目; AcidobacterlaceaSubgroup_1_: 酸杆菌科亚群1; AcidobacterlaceaSubgroup_g_uncultured: 酸杆菌科亚群属未培养; Aeromicrobium: 气微菌属; Agaricicola: 伞菌栖菌属; Agaricales: 伞菌目; Agaricales_f_Agaricales_fam_Incertae_sedis: 伞菌目地位未定科; Amphiplicatus: 双褶菌属; Amycolatopsis: 拟无枝酸菌属; Anthracoideaceae: 炭黑菌科; Asanoa: 浅野菌属; Auriculariales_f_Auriculariales_fam_incertae_sedis: 木耳目地位未定科; Auriculariales_f_unidentified: 木耳目科未鉴定; Auriculariales_g_unidentified: 木耳目属未鉴定; Chthonomonadales: 土单胞菌目; Chthonomonadetes: 土单胞菌纲; Chryseolinea: 金黄线菌属; Clavicipitaceae_g_unclassified: 麦角菌科属未分类; Clitopilus: 杯伞属; Coniochaeta: 粉黑壳菌属; Coniochaetaceae_g_unidentified: 粉黑壳菌科属未鉴定; Coprinus: 鬼伞属; Corticiales: 皮壳菌目; Corticlaceae: 皮壳菌科; Crocinitomix: 番红土菌属; Cryptosporangium: 隐孢囊菌属; Cryptosporangiaceae: 隐孢囊菌科; Cryomorphaceae_g_unclassified: 低温形菌科属未分类; Cystobasidiomycetes: 囊孢酵母菌纲; Cystobasidiomycetes_f_Cystobasidiomycetes_fam_Incertae_sedis: 囊孢酵母菌纲地位未定科; Cystobasidiomycetes_o_Cystobasidiomycetes_ord_Incertae_sedis: 囊孢酵母菌纲地位未定目; DS_100: DS_100; EC3: EC3; EC3_f_norank: EC3科无等级; EC3_g_norank: EC3属无等级; Endocarpon: 内果菌属; Entolomataceae: 粉褶菌科; Eocronartium: 古柱锈菌属; Eocronartiaceae: 古柱锈菌科; FFCH5858_g_norank: FFCH5858属无等级; Galellales_f_unclassified: 加勒菌目科未分类; Galellales_g_unclassified: 加勒菌目属未分类; Geoglossum: 地舌菌属; Geoglossaceae: 地舌菌科; Glomeromycetes_f_unclassified: 球囊菌纲科未分类; Glomeromycetes_g_unclassified: 球囊菌纲属未分类; Glomeromycetes_o_unclassified: 球囊菌纲目未分类; Halanaerobiales: 厌氧盐菌目; Hydnodontaceae: 齿菌科; Hygrophoraceae: 蜡伞科; Kineosporia: 动孢菌属; Kineosporiaceae: 动孢菌科; Kineosporiales: 动孢菌目; Labrys: 拉布里斯菌属; Leptosphaerulina: 小球腔菌属; Litorilinea: 海滨线菌属; Lysinimonas: 赖氨酸单胞菌属; Massilia: 马赛菌属; Microbotryomycetes_f_unclassified: 微束菌纲科未分类; Microbotryomycetes_g_unclassified: 微束菌纲属未分类; Microbotryomycetes_o_unclassified: 微束菌纲目未分类; Microascales_f_unidentified: 小囊菌目科未鉴定; Microascales_g_unidentified: 小囊菌目属未鉴定; Myxotrichaceae: 黏毛菌科; Niastella: 柔嫩菌属; Nocardioidaceae: 类诺卡氏菌科; NS9_marine_group: NS9海洋群; NS9_marine_group_g_norank: NS9海洋群属无等级; ODP1230B8_23_9_norank: ODP1230B8_23_9无等级; Oldiodendron: 老枝菌属; OM27_clade: OM27进化支; Omnitrophica_c_norank: 全养菌门纲无等级; Omnitrophica_f_norank: 全养菌门科无等级; Omnitrophica_g_norank: 全养菌门属无等级; Omnitrophica_o_norank: 全养菌门目无等级; OpB35_soil_group: OpB35土壤群; OpB35_soil_group_f_norank: OpB35土壤群科无等级; OpB35_soil_group_g_norank: OpB35土壤群属无等级; OPB35_soil_group_o_norank: OPB35土壤群目无等级; Opitutaceae: 丰佑菌科; Opitutae: 丰佑菌纲; Opitutae_vadinHA64: 丰佑菌纲vadinHA64; Opitutae_vadinHA64_f_norank: 丰佑菌纲vadinHA64科无等级; Opitutae_vadinHA64_g_norank: 丰佑菌纲vadinHA64属无等级; Opitutales: 丰佑菌目; Oxalobacteraceae: 草酸杆菌科; P2_11E_f_norank: P2_11E科无等级; P2_11E_g_norank: P2_11E属无等级; P2_11E_o_norank: P2_11E目无等级; Panaeolus: 光盖伞属; Parvularculaceae: 小弧菌科; Parvularculales: 小弧菌目; Peziza: 盘菌属; Pezizaceae: 盘菌科; Phycisphaeraceae: 藻球菌科; Phycisphaeraceae_g_uncultured: 藻球菌科属未培养; Phycisphaerales: 藻球菌目; Pilidium: 帽菌属; Platygloeales: 扁胶菌目; Pleosporales_f_unidentified: 格孢菌目科未鉴定; Pleosporales_g_unidentified: 格孢菌目属未鉴定; Propionibacteri: 丙酸杆菌; Pseudoduganella: 假杜甘菌属; Pseudoxanthomonas: 假黄单胞菌属; Pucciniomycetes: 柄锈菌纲; Reyranella: 雷拉内菌属; Rhizophlyctis: 根壶菌属; Rhizophlyctidaceae: 根壶菌科; Rhizophlyctidales: 根壶菌目; Rhodospirillales_f_Rhodospirillales_Incertae_Sedis: 红螺菌目地位未定科; Sakaguchia: 坂口菌属; Sandaracinus: 黄松脂菌属; Schizonella: 裂孢菌属; SolibacteraceaSubgroup_g_unclassified: 单独杆菌科亚群属未分类; Solitalea: 单独菌属; Sporormiella: 粪壳菌属; Streptomyces: 链霉菌属; Streptomycetaceae: 链霉菌科; Streptomycetales: 链霉菌目; Subgroup_7_f_norank: 亚群7科无等级; Subulicystidlum: 锥囊菌属; Syntrophaceae: 互养菌科; Syntrophaceae_g_uncultured: 互养菌科属未培养; Syntrophobacterales: 互养菌目; Tagaea: 田贺菌属; Thelebolales_f_unclassified: 小球菌目科未分类; Thelebolales_g_unclassified: 小球菌目属未分类; Thermomonosporaceae: 高温单胞菌科; TK34_g_norank: TK34属无等级; Trechisporales: 毛齿菌目; Tremellales: 银耳目; Tremellales_f_Tremellales_fam_incertae_sedis: 银耳目地位未定科; Umonomyces: 乌莫菌属; Urocystidaceae: 尾囊菌科; Urocystidales: 尾囊菌目; Vampirovibrionales: 吸血弧菌目; Vampirovibrionales_f_norank: 吸血弧菌目科无等级; Vampirovibrionales_g_norank: 吸血弧菌目属无等级; Vankya: 万基菌属; Verrucariales: 疣菌目; Verrucariaceae: 疣菌科; Verrucomicrobiaceae_g_unclassified: 疣微菌科属未分类; Wojnowicia: 沃伊诺菌属; WWE3_c_norank: WWE3纲无等级; WWE3_f_norank: WWE3科无等级; WWE3_g_norank: WWE3属无等级; WWE3_o_norank: WWE3目无等级; Xanthomonadaceae_g_uncultured: 黄单胞菌科属未培养; Xanthomonadales_g_unclassified: 黄单胞菌目属未分类。下同The same below.
Continued Fig.7 LefSe analysis of bacterial and fungal genera in the rhizosphere and surrounding soil of S. chamaejasme at different age classes
图8 不同水平距离下各龄级瑞香狼毒土壤中细菌和真菌微生物群落α多样性差异A1-135、A2-135、A3-135分别表示III龄级3个重复在根际区10 cm深度、近根区10 cm深度和远根区10 cm深度的组合样本数据;A1-246、A2-246、A3-246分别表示III龄级3个重复在根际区20 cm深度、近根区20 cm深度和远根区20 cm深度的组合样本数据。B、C同A。A1-135, A2-135, and A3-135 represent the combined sample data of three replicates for age class III at rhizosphere 10 cm depth, near-root zone 10 cm depth, and far-root zone 10 cm depth, respectively; A1-246, A2-246, and A3-246 represent the combined sample data of three replicates for age class III at rhizosphere 20 cm depth, near-root zone 20 cm depth, and far-root zone 20 cm depth, respectively. With the same classification applying to B and C.
Fig.8 Differences in α diversity of bacterial and fungal microbial communities in the soil of S. chamaejasme at different age classes under varying horizontal distances
图9 不同水平距离下各龄级瑞香狼毒根际及周围土壤中细菌菌属间组成差异Bradyrhizobium: 慢生根瘤菌属. 下同The same below.
Fig.9 Differences in bacterial genus composition in the rhizosphere and surrounding soil of S.chamaejasme at different age classes under varying horizontal distances
图10 不同水平距离下各龄级瑞香狼毒根际及周围土壤中真菌菌属间组成差异Xylariaceae_unclassified: 炭角菌科_未分类. 下同The same below.
Fig.10 Differences in fungal genus composition in the rhizosphere and surrounding soil of S. chamaejasme at different age classes under varying horizontal distances
图11 不同龄级瑞香狼毒根际及周围细菌优势菌属组成a, d: Ⅲ龄级Age class Ⅲ; b, e: Ⅳ龄级Age class Ⅳ; c, f: Ⅴ龄级Age class Ⅴ; a~c: 10 cm深度Samples at 10 cm depth; d~f: 20 cm深度Samples at 20 cm depth. Ardibacter: 热土杆菌属; Byobacter: 拜氏杆菌属; Gaiellales_uncultured: 盖勒菌目未培养; Haliangium: 海洋菌属; Planctomycetaceae_uncultured: 浮霉菌科未培养; Variibacter: 变异杆菌属; Xanthobacteraceae_uncultured: 黄杆菌科未培养. 下同The same below.
Fig.11 Composition of dominant bacterial genera in the rhizosphere and surrounding soil of S. chamaejasme at different age classes
图12 不同龄级瑞香狼毒根际及周围真菌优势菌属组成Agaricaceae: 蘑菇科; Auriculariales: 木耳目; Capnodiales: 煤炱目; Ceratobasidiaceae: 丝核菌科; Chaetothyriales: 着色菌目; Chaetothyriales_unidentified: 着色菌目未鉴定; Clavariaceae: 珊瑚菌科; Eurotiomycetes: 散囊菌纲; Geoglossales: 地舌菌目; Helotiales: 柔膜菌目; Helotiales_unclassified: 柔膜菌目未分类; Hypocreales: 肉座菌目; Lasiosphaeriaceae: 毛球壳菌科; Leotiomycetes: 锤舌菌纲; Mortierellales: 被孢霉目; Mortierellales_unclassified: 被孢霉目未分类; Myrothecium: 座壳孢属; Pleosporales: 格孢菌目; Pleosporales_fam_Incertae_sedis: 格孢菌目分类地位不明科; Pezizomycetes: 盘菌纲; Pyronemataceae: 火丝菌科; Rachicladosporium: 链状枝孢菌属; Sebacinales: 丝膜菌目; Sebacinales_unidentified: 丝膜菌目未鉴定; Sordariales: 粪壳菌目; Sordariomycetes: 粪壳菌纲; Sporormiaceae: 虫粪菌科; Sporormiaceae_unidentified: 虫粪菌科未鉴定; Tetracladium: 四枝孢属; Thelebolales: 粪杯菌目; Lectera: 假小麦赤霉属. 下同The same below.
Fig.12 Composition of dominant fungal genera in the rhizosphere and surrounding soil of S. chamaejasme at different age classes
图12 不同龄级瑞香狼毒根际及周围真菌优势菌属组成Agaricaceae: 蘑菇科; Auriculariales: 木耳目; Capnodiales: 煤炱目; Ceratobasidiaceae: 丝核菌科; Chaetothyriales: 着色菌目; Chaetothyriales_unidentified: 着色菌目未鉴定; Clavariaceae: 珊瑚菌科; Eurotiomycetes: 散囊菌纲; Geoglossales: 地舌菌目; Helotiales: 柔膜菌目; Helotiales_unclassified: 柔膜菌目未分类; Hypocreales: 肉座菌目; Lasiosphaeriaceae: 毛球壳菌科; Leotiomycetes: 锤舌菌纲; Mortierellales: 被孢霉目; Mortierellales_unclassified: 被孢霉目未分类; Myrothecium: 座壳孢属; Pleosporales: 格孢菌目; Pleosporales_fam_Incertae_sedis: 格孢菌目分类地位不明科; Pezizomycetes: 盘菌纲; Pyronemataceae: 火丝菌科; Rachicladosporium: 链状枝孢菌属; Sebacinales: 丝膜菌目; Sebacinales_unidentified: 丝膜菌目未鉴定; Sordariales: 粪壳菌目; Sordariomycetes: 粪壳菌纲; Sporormiaceae: 虫粪菌科; Sporormiaceae_unidentified: 虫粪菌科未鉴定; Tetracladium: 四枝孢属; Thelebolales: 粪杯菌目; Lectera: 假小麦赤霉属. 下同The same below.
Fig.12 Composition of dominant fungal genera in the rhizosphere and surrounding soil of S. chamaejasme at different age classes
图13 不同水平距离下瑞香狼毒土壤细菌和真菌菌属间LefSe分析
Fig.13 LefSe analysis of bacterial and fungal genera in the soil of S. chamaejasme under different horizontal distances
图13 不同水平距离下瑞香狼毒土壤细菌和真菌菌属间LefSe分析
Fig.13 LefSe analysis of bacterial and fungal genera in the soil of S. chamaejasme under different horizontal distances
续 图13 不同水平距离下瑞香狼毒土壤细菌和真菌菌属间LefSe分析(a), (d), (g), (j): Ⅲ龄级Age class Ⅲ; (b), (e), (h), (k): Ⅳ龄级Age class Ⅳ; (c), (f), (i), (l): Ⅴ龄级Age class Ⅴ; (a)~(c), (g)~(i): 10 cm深度Samples at 10 cm depth; (d)~(f), (j)~(l): 20 cm深度Samples at 20 cm depth. (a)~(f): 细菌Bacteria; (g)~(l): 真菌Fungi. Armatimonadia: 铠甲菌纲; Armatimonadales: 铠甲菌目; Armatimonadales_g_norank: 铠甲菌目无等级属; Armatimonadales_f_norank: 铠甲菌目无等级科; Cyclobacteriaceae: 环形菌科; Cyclobacteriaceae_g_uncultured: 环形菌科未培养属; Spirosoma: 螺旋菌属; Ktedonobacteraceae: 梳菌科; Ktedonobacteraceae_g_uncultured: 梳菌科未培养属; Ktedonobacterales: 梳菌目; Rickettsiaceae: 立克次体科; Rickettsiaceae_g_unclassified: 立克次体科未分类属; Nannocystis: 小囊菌属; CL500_29_marine_group: CL500-29海洋菌群; Arthrobacter: 节杆菌属; Ohtaekwangia: 吴德光菌属; Fluvicola: 河流菌属; Cryomorphaceae: 冷形菌科; Flavobacteriales: 黄杆菌目; Flavobacteriia: 黄杆菌纲; Chitinophaga: 噬几丁质菌属; Hados_Sed_Eubac_3: 海洋沉积物真细菌3; Hados_Sed_Eubac_3_g_norank: 海洋沉积物真细菌3无等级属; Fusobacteriales: 梭杆菌目; Fusobacteriia: 梭杆菌纲; Woodsholea: 林穴菌属; Candidatus_Odyssella: 候选奥德赛菌属; Solimonadaceae: 土壤单胞菌科; Solimonadaceae_g_unclassified: 土壤单胞菌科未分类属; Actinophytocola: 放线植物菌属; Actinomadura: 放线马杜拉菌属; Flavitalea: 黄土菌属; Chloroflexi_g_unclassified: 绿弯菌门未分类属; Chloroflexi_f_unclassified: 绿弯菌门未分类科; Chloroflexi_o_unclassified: 绿弯菌门未分类目; Chloroflexi_c_unclassified: 绿弯菌门未分类纲; Bradyrhizobiaceae: 缓生根瘤菌科; Bradyrhizobiaceae_g_unclassified: 缓生根瘤菌科未分类属; Chloroflexales: 绿弯菌目; Chloroflexales_g_unclassified: 绿弯菌目未分类属; Chloroflexales_f_unclassified: 绿弯菌目未分类科; Polymorphobacter: 多形菌属; Actinobacteria: 放线菌门; Actinobacteria_g_unclassified: 放线菌门未分类属; Actinobacteria_f_unclassified: 放线菌门未分类科; Actinobacteria_o_unclassified: 放线菌门未分类目; Streptosporangiaceae: 链孢囊菌科; Bacteroidales: 拟杆菌目; Bacteroidia: 拟杆菌纲; Anaeromyxobacter: 厌氧粘细菌属; Blastococcus: 芽球菌属; Geodermatophilaceae: 土皮菌科; Propionibacteriaceae: 丙酸杆菌科; Propionibacteriaceae_g_unclassified: 丙酸杆菌科未分类属; Pseudonocardiaceae: 假诺卡氏菌科; Pseudonocardiaceae_g_unclassified: 假诺卡氏菌科未分类属; Rubrobacter: 红杆菌属; Rubrobacteriaceae: 红杆菌科; Rubrobacterales: 红杆菌目; Phycosphaeraceae: 藻球菌科; Phycosphaeraceae_g_uncultured: 藻球菌科未培养属; I_10_g_norank: I_10无等级属; KCM_B_15_g_norank: KCM-B-15无等级属; Pelagibius: 海栖菌属; Rhodospirillaceae: 红螺菌科; Rhodospirillaceae_g_uncultured: 红螺菌科未培养属; Betaproteobacteria: β-变形菌纲; Betaproteobacteria_g_unclassified: β-变形菌纲未分类属; Betaproteobacteria_f_unclassified: β-变形菌纲未分类科; Betaproteobacteria_o_unclassified: β-变形菌纲未分类目; Candidatus_Xiphinematobacter: 候选剑线虫菌属; Xiphinematobacteraceae: 剑线虫菌科; Fusobacteria: 梭杆菌门. 下同The same below.
Continued Fig.13 LefSe analysis of bacterial and fungal genera in the soil of S. chamaejasme under different horizontal distances
续 图13 不同水平距离下瑞香狼毒土壤细菌和真菌菌属间LefSe分析(a), (d), (g), (j): Ⅲ龄级Age class Ⅲ; (b), (e), (h), (k): Ⅳ龄级Age class Ⅳ; (c), (f), (i), (l): Ⅴ龄级Age class Ⅴ; (a)~(c), (g)~(i): 10 cm深度Samples at 10 cm depth; (d)~(f), (j)~(l): 20 cm深度Samples at 20 cm depth. (a)~(f): 细菌Bacteria; (g)~(l): 真菌Fungi. Armatimonadia: 铠甲菌纲; Armatimonadales: 铠甲菌目; Armatimonadales_g_norank: 铠甲菌目无等级属; Armatimonadales_f_norank: 铠甲菌目无等级科; Cyclobacteriaceae: 环形菌科; Cyclobacteriaceae_g_uncultured: 环形菌科未培养属; Spirosoma: 螺旋菌属; Ktedonobacteraceae: 梳菌科; Ktedonobacteraceae_g_uncultured: 梳菌科未培养属; Ktedonobacterales: 梳菌目; Rickettsiaceae: 立克次体科; Rickettsiaceae_g_unclassified: 立克次体科未分类属; Nannocystis: 小囊菌属; CL500_29_marine_group: CL500-29海洋菌群; Arthrobacter: 节杆菌属; Ohtaekwangia: 吴德光菌属; Fluvicola: 河流菌属; Cryomorphaceae: 冷形菌科; Flavobacteriales: 黄杆菌目; Flavobacteriia: 黄杆菌纲; Chitinophaga: 噬几丁质菌属; Hados_Sed_Eubac_3: 海洋沉积物真细菌3; Hados_Sed_Eubac_3_g_norank: 海洋沉积物真细菌3无等级属; Fusobacteriales: 梭杆菌目; Fusobacteriia: 梭杆菌纲; Woodsholea: 林穴菌属; Candidatus_Odyssella: 候选奥德赛菌属; Solimonadaceae: 土壤单胞菌科; Solimonadaceae_g_unclassified: 土壤单胞菌科未分类属; Actinophytocola: 放线植物菌属; Actinomadura: 放线马杜拉菌属; Flavitalea: 黄土菌属; Chloroflexi_g_unclassified: 绿弯菌门未分类属; Chloroflexi_f_unclassified: 绿弯菌门未分类科; Chloroflexi_o_unclassified: 绿弯菌门未分类目; Chloroflexi_c_unclassified: 绿弯菌门未分类纲; Bradyrhizobiaceae: 缓生根瘤菌科; Bradyrhizobiaceae_g_unclassified: 缓生根瘤菌科未分类属; Chloroflexales: 绿弯菌目; Chloroflexales_g_unclassified: 绿弯菌目未分类属; Chloroflexales_f_unclassified: 绿弯菌目未分类科; Polymorphobacter: 多形菌属; Actinobacteria: 放线菌门; Actinobacteria_g_unclassified: 放线菌门未分类属; Actinobacteria_f_unclassified: 放线菌门未分类科; Actinobacteria_o_unclassified: 放线菌门未分类目; Streptosporangiaceae: 链孢囊菌科; Bacteroidales: 拟杆菌目; Bacteroidia: 拟杆菌纲; Anaeromyxobacter: 厌氧粘细菌属; Blastococcus: 芽球菌属; Geodermatophilaceae: 土皮菌科; Propionibacteriaceae: 丙酸杆菌科; Propionibacteriaceae_g_unclassified: 丙酸杆菌科未分类属; Pseudonocardiaceae: 假诺卡氏菌科; Pseudonocardiaceae_g_unclassified: 假诺卡氏菌科未分类属; Rubrobacter: 红杆菌属; Rubrobacteriaceae: 红杆菌科; Rubrobacterales: 红杆菌目; Phycosphaeraceae: 藻球菌科; Phycosphaeraceae_g_uncultured: 藻球菌科未培养属; I_10_g_norank: I_10无等级属; KCM_B_15_g_norank: KCM-B-15无等级属; Pelagibius: 海栖菌属; Rhodospirillaceae: 红螺菌科; Rhodospirillaceae_g_uncultured: 红螺菌科未培养属; Betaproteobacteria: β-变形菌纲; Betaproteobacteria_g_unclassified: β-变形菌纲未分类属; Betaproteobacteria_f_unclassified: β-变形菌纲未分类科; Betaproteobacteria_o_unclassified: β-变形菌纲未分类目; Candidatus_Xiphinematobacter: 候选剑线虫菌属; Xiphinematobacteraceae: 剑线虫菌科; Fusobacteria: 梭杆菌门. 下同The same below.
Continued Fig.13 LefSe analysis of bacterial and fungal genera in the soil of S. chamaejasme under different horizontal distances
图14 不同深度下各龄级瑞香狼毒细菌微生物群落α多样性a: 根际区Rhizosphere; b: 远根区Far-root zone.
Fig.14 α diversity of bacterial microbial communities of S. chamaejasme at different age classes under varying soil depths
图14 不同深度下各龄级瑞香狼毒细菌微生物群落α多样性a: 根际区Rhizosphere; b: 远根区Far-root zone.
Fig.14 α diversity of bacterial microbial communities of S. chamaejasme at different age classes under varying soil depths
图15 不同深度下各龄级瑞香狼毒根际及周围土壤中细菌菌属间组成差异
Fig.15 Differences in bacterial genus composition in the rhizosphere and surrounding soil of S. chamaejasme at different age classes under varying soil depths
图15 不同深度下各龄级瑞香狼毒根际及周围土壤中细菌菌属间组成差异
Fig.15 Differences in bacterial genus composition in the rhizosphere and surrounding soil of S. chamaejasme at different age classes under varying soil depths
图16 不同深度下各龄级瑞香狼毒根际及周围土壤中真菌菌属间组成差异
Fig.16 Differences in fungal genus composition in the rhizosphere and surrounding soil of S. chamaejasme at different age classes under varying soil depths
图16 不同深度下各龄级瑞香狼毒根际及周围土壤中真菌菌属间组成差异
Fig.16 Differences in fungal genus composition in the rhizosphere and surrounding soil of S. chamaejasme at different age classes under varying soil depths
续图15 不同深度下各龄级瑞香狼毒根际及周围土壤中细菌菌属间组成差异a, d, g: Ⅲ龄级Age class Ⅲ; b, e, h: Ⅳ龄级Age class Ⅳ; c, f, i: Ⅴ龄级Age class Ⅴ; a~c: 根际区Rhizosphere; d~f: 近根区Near-root zone; g~i: 远根区Far-root zone. Acidobacteria: 酸杆菌门; Anaerolineaceae: 厌氧绳菌科; Blastocatellaceae: 芽球菌科; Blastocatellaceae__Subgroup_4: 芽球菌科第4亚群; Blastocatellaceae_Subgroup_4_uncultured: 芽球菌科第4亚群未培养; KD4_96_norank: KD4-96无等级; JG30_KF_CM45_norank: JG30-KF-CM45无等级; DA101_soil_group: DA101土壤菌群; DA101_soil_group_norank: DA101土壤菌群无等级; Nitrosomonadaceae: 亚硝化单胞菌科. 下同The same below.
Continued Fig.15 Differences in bacterial genus composition in the rhizosphere and surrounding soil of S. chamaejasme at different age classes under varying soil depths
续图15 不同深度下各龄级瑞香狼毒根际及周围土壤中细菌菌属间组成差异a, d, g: Ⅲ龄级Age class Ⅲ; b, e, h: Ⅳ龄级Age class Ⅳ; c, f, i: Ⅴ龄级Age class Ⅴ; a~c: 根际区Rhizosphere; d~f: 近根区Near-root zone; g~i: 远根区Far-root zone. Acidobacteria: 酸杆菌门; Anaerolineaceae: 厌氧绳菌科; Blastocatellaceae: 芽球菌科; Blastocatellaceae__Subgroup_4: 芽球菌科第4亚群; Blastocatellaceae_Subgroup_4_uncultured: 芽球菌科第4亚群未培养; KD4_96_norank: KD4-96无等级; JG30_KF_CM45_norank: JG30-KF-CM45无等级; DA101_soil_group: DA101土壤菌群; DA101_soil_group_norank: DA101土壤菌群无等级; Nitrosomonadaceae: 亚硝化单胞菌科. 下同The same below.
Continued Fig.15 Differences in bacterial genus composition in the rhizosphere and surrounding soil of S. chamaejasme at different age classes under varying soil depths
图17 不同土壤深度瑞香狼毒根际及周围土壤细菌和真菌菌属间LefSe分析
Fig.17 LefSe analysis of bacterial and fungal genera in the rhizosphere and surrounding soil of S. chamaejasme under different soil depths
图17 不同土壤深度瑞香狼毒根际及周围土壤细菌和真菌菌属间LefSe分析
Fig.17 LefSe analysis of bacterial and fungal genera in the rhizosphere and surrounding soil of S. chamaejasme under different soil depths
续图17 不同土壤深度瑞香狼毒根际及周围土壤细菌和真菌菌属间LefSe分析a~c, g~i: 10 cm深度Samples at 10 cm depth; d~f, j~l: 20 cm深度Samples at 20 cm depth; a~f: 细菌Bacteria; g~l: 真菌Fungi. Minutisphaera: 小球菌属; Paraphaeosphaeria: 拟暗球腔菌属; Trichocomaceae: 发菌科; Nectriaceae: 丛赤壳科; Glomerellaceae: 胶孢炭疽菌科; Entoloma: 粉褶菌属; Cystobasidiomycetes: 囊担菌纲; Hymenula: 薄膜菌属; Exophiala: 外瓶霉属; Pezizales: 盘菌目; Coniochaetaceae: 毛壳菌科; Coniochaetales: 毛壳菌目; Metarhizium: 绿僵菌属; Ilyonectria: 疣孢菌属; Conocybe: 锥盖伞属; Bolbitiaceae: 粪伞科; Microbotryomycetes: 小孢子菌纲; Chytridiomycetes: 壶菌纲; Glomeraceae: 球囊菌科; Septoglomus: 隔球囊菌属; Periglandula: 周腺菌属; Pseudeurotium: 假散沫花菌属; Pseudeurotiaceae: 假散沫花菌科; Herpotrichiellaceae: 发状瓶霉科; Neoerysiphe: 新白粉菌属; Cadophora: 球瓶霉属; Stachybotrys: 葡萄穗霉属; Marasmius: 小皮伞属; Marasmiaceae: 小皮伞科; Tricholomataceae: 口蘑科; Leotiomycetes_fam_Incertae_sedis: 锤舌菌纲分类地位不明科; Pezizella: 小盘菌属; Thelebolaceae: 粪杯菌科; Pluteus: 光柄菇属; Pluteaceae: 光柄菇科; Glomeromycetes: 球囊菌纲; Montagnulaceae: 蒙大拿菌科; Lecanoromycetes: 茶渍纲; Pulvinula: 垫盘菌属; Pezizales_fam_Incertae_sedis: 盘菌目分类地位不明科; Scutellinia: 盾盘菌属; Microascaceae: 小囊菌科; Microascales: 小囊菌目; Volvariella: 草菇属; Funneliformis: 漏斗菌属; Ramicandelaber: 枝烛台菌属; Kickxellaceae: 掷孢菌科; Kickxellales: 掷孢菌目; Ophiosphaerella: 蛇孢腔菌属; Phaeosphaeria: 暗球腔菌属.
Continued Fig.17 LefSe analysis of bacterial and fungal genera in the rhizosphere and surrounding soil of S. chamaejasme under different soil depths
续图17 不同土壤深度瑞香狼毒根际及周围土壤细菌和真菌菌属间LefSe分析a~c, g~i: 10 cm深度Samples at 10 cm depth; d~f, j~l: 20 cm深度Samples at 20 cm depth; a~f: 细菌Bacteria; g~l: 真菌Fungi. Minutisphaera: 小球菌属; Paraphaeosphaeria: 拟暗球腔菌属; Trichocomaceae: 发菌科; Nectriaceae: 丛赤壳科; Glomerellaceae: 胶孢炭疽菌科; Entoloma: 粉褶菌属; Cystobasidiomycetes: 囊担菌纲; Hymenula: 薄膜菌属; Exophiala: 外瓶霉属; Pezizales: 盘菌目; Coniochaetaceae: 毛壳菌科; Coniochaetales: 毛壳菌目; Metarhizium: 绿僵菌属; Ilyonectria: 疣孢菌属; Conocybe: 锥盖伞属; Bolbitiaceae: 粪伞科; Microbotryomycetes: 小孢子菌纲; Chytridiomycetes: 壶菌纲; Glomeraceae: 球囊菌科; Septoglomus: 隔球囊菌属; Periglandula: 周腺菌属; Pseudeurotium: 假散沫花菌属; Pseudeurotiaceae: 假散沫花菌科; Herpotrichiellaceae: 发状瓶霉科; Neoerysiphe: 新白粉菌属; Cadophora: 球瓶霉属; Stachybotrys: 葡萄穗霉属; Marasmius: 小皮伞属; Marasmiaceae: 小皮伞科; Tricholomataceae: 口蘑科; Leotiomycetes_fam_Incertae_sedis: 锤舌菌纲分类地位不明科; Pezizella: 小盘菌属; Thelebolaceae: 粪杯菌科; Pluteus: 光柄菇属; Pluteaceae: 光柄菇科; Glomeromycetes: 球囊菌纲; Montagnulaceae: 蒙大拿菌科; Lecanoromycetes: 茶渍纲; Pulvinula: 垫盘菌属; Pezizales_fam_Incertae_sedis: 盘菌目分类地位不明科; Scutellinia: 盾盘菌属; Microascaceae: 小囊菌科; Microascales: 小囊菌目; Volvariella: 草菇属; Funneliformis: 漏斗菌属; Ramicandelaber: 枝烛台菌属; Kickxellaceae: 掷孢菌科; Kickxellales: 掷孢菌目; Ophiosphaerella: 蛇孢腔菌属; Phaeosphaeria: 暗球腔菌属.
Continued Fig.17 LefSe analysis of bacterial and fungal genera in the rhizosphere and surrounding soil of S. chamaejasme under different soil depths
续图16 不同深度下各龄级瑞香狼毒根际及周围土壤中真菌菌属间组成差异
Continued Fig.16 Differences in fungal genus composition in the rhizosphere and surrounding soil of S. chamaejasme at different age classes under varying soil depths
续图16 不同深度下各龄级瑞香狼毒根际及周围土壤中真菌菌属间组成差异
Continued Fig.16 Differences in fungal genus composition in the rhizosphere and surrounding soil of S. chamaejasme at different age classes under varying soil depths
| [1] | Dong R, Chu B, Hua R, et al. Prediction of the geographical distribution of Stellera chamaejasme on the Qinghai-Tibet Plateau under future climate scenarios. Chinese Journal of Grassland, 2022, 44(4): 10-20. |
| 董瑞, 楚彬, 花蕊, 等. 未来气候情景下青藏高原瑞香狼毒(Stellera chamaejasme)的地理分布预测. 中国草地学报, 2022, 44(4): 10-20. | |
| [2] | Li X H, Xiang X, Tang X P, et al. Research progress of Stellera chamaejasme. Progress in Veterinary Medicine, 2019, 40(4): 96-99. |
| 李晓惠, 项勋, 唐晓萍, 等. 瑞香狼毒研究进展. 动物医学进展, 2019, 40(4): 96-99. | |
| [3] | Geng C L, Wang Y Y, Liu S J, et al. Research progress of three kinds of toxic Mongolian medicines with antitumor effects. Chinese Traditional and Herbal Drugs, 2023, 54(10): 3329-3336. |
| 耿晨蕾, 王玉玉, 刘思佳, 等. 3种抗肿瘤有毒蒙药的研究进展. 中草药, 2023, 54(10): 3329-3336. | |
| [4] | Quan X L, Chen M C, Shi H L, et al. Effects of degradation of poisonous weeds on soil microbial diversity. Southwest China Journal of Agricultural Sciences, 2024, 37(4): 844-851. |
| 全小龙, 陈梦词, 史慧兰, 等. 毒杂草降解对土壤微生物多样性的影响. 西南农业学报, 2024, 37(4): 844-851. | |
| [5] | An D Y, Han L, Wu J Y, et al. Effects of Stellera chamaejasme on the soil characteristics of the grassland in the farming-pastoral ecotone. Acta Agrestia Sinica, 2016, 24(3): 9-15. |
| 安冬云, 韩蕾, 武菊英, 等. 瑞香狼毒对农牧交错带草原土壤特性的影响. 草地学报, 2016, 24(3): 9-15. | |
| [6] | Hu H Y, Deng Y W, Wei L, et al. Accumulation characteristics of amino sugars in non-rhizosphere and rhizosphere soils under wheat and rice cultivation conditions. Journal of Nuclear Agricultural Sciences, 2025, 39(3): 633-640. |
| 胡航宇, 邓扬悟, 魏亮, 等. 小麦和水稻种植条件下非根际和根际土壤中氨基糖积累特征. 核农学报, 2025, 39(3): 633-640. | |
| [7] | Yang S C, Yan J, Gao R M, et al. Effects of the after-effects of straw returning to the field on the functional diversity of soil microbial communities. Soils and Crops, 2025, 14(1): 64-72. |
| 杨舒纯, 严君, 高瑞敏, 等. 秸秆还田后效对土壤微生物群落功能多样性的影响. 土壤与作物, 2025, 14(1): 64-72. | |
| [8] | Rousk J, Bååth E. Growth of saprotrophic fungi and bacteria in soil. FEMS Microbiology Ecology, 2011, 78(1): 17-30. |
| [9] | Zhang Z J, Liu Y J, Yuan L, et al. Effect of allelopathy on plant performance: a Meta analysis. Ecology Letters, 2021, 24(2): 348-362. |
| [10] | Cui X, Pan Y, Wang Y N, et al. Effects of Stellera chamaejasme in degraded grasslands on the composition of small-scale communities and the physical and chemical properties of the soil. Chinese Journal of Ecology, 2020, 39(8): 2581-2592. |
| 崔雪, 潘瑶, 王亚楠, 等. 退化草地瑞香狼毒对小尺度群落组成及土壤理化性质的影响. 生态学杂志, 2020, 39(8): 2581-2592. | |
| [11] | Sun G, Luo P, Wu N, et al. Stellera chamaejasme L. increases soil N availability, turnover rates and microbial biomass in an alpine meadow ecosystem on the eastern Tibetan Plateau of China. Soil Biology and Biochemistry, 2009, 41(1): 86-91. |
| [12] | Zhang L, Zhang Y X, Song B, et al. Heavy metal enrichment characteristics and application potential of dominant plants in the Lanping Lead-Zinc mining area, Yunnan. Environmental Science, 2020, 41(9): 8. |
| 张龙, 张云霞, 宋波, 等. 云南兰坪铅锌矿区优势植物重金属富集特性及应用潜力. 环境科学, 2020, 41(9): 8. | |
| [13] | An D Y. Analysis of the morphological characteristics of Stellera chamaejasme and the soil characteristics of its typical suitable habitats. Beijing: Chinese Academy of Forestry, 2015. |
| 安冬云.瑞香狼毒形态学特征及典型适生区土壤特性分析. 北京: 中国林业科学研究院, 2015. | |
| [14] | Guo L Z, Zhao H, Lyu J Y, et al. Population structure and quantity dynamics of Stellera chamaejasme in degraded typical grasslands. Chinese Journal of Applied Ecology, 2020, 31(9): 2977-2984. |
| 郭丽珠, 赵欢, 吕进英, 等. 退化典型草原瑞香狼毒种群结构与数量动态. 应用生态学报, 2020, 31(9): 2977-2984. | |
| [15] | Guo L Z, Zhao H, Zhai X J, et al. Study on life histroy traits of Stellera chamaejasme provide insights into its control on degraded typical steppe. Journal of Environmental Management, 2021, 291: 112716. |
| [16] | Guo H, Cui H, Jin H, et al. Potential allelochemicals in root zone soils of Stellera chamaejasme L. and variations at different geographical growing sites. Plant Growth Regulation, 2015, 77: 335-342. |
| [17] | Luo W, Zai X, Sun J, et al. Coupling root diameter with rooting depth to reveal the heterogeneous assembly of root-associated bacterial communities in soybean. Frontiers in Microbiology, 2021, 12: 783563. |
| [18] | Hao L, Liu X, Ji R, et al. Indirect regulation of topsoil nutrient cycling by groundwater depth: impacts on sand-fixing vegetation and rhizosphere bacterial communities. Frontiers in Microbiology, 2023, 14: 1285922. |
| [19] | Zhou P. Effects of Stellera chamaejasme on the rhizosphere microbial community and changes in the protein expression profile of Stellera chamaejasme under drought stress. Xi’an: Northwest University, 2015. |
| 周攀. 瑞香狼毒对根际微生物群落的影响及在干旱胁迫下瑞香狼毒蛋白表达谱的变化. 西安: 西北大学, 2015. | |
| [20] | Banerjee S, Zhao C, Kirkby C A, et al. Microbial interkingdom associations across soil depths reveal network connectivity and keystone taxa linked to soil fine-fraction carbon content. Agriculture, Ecosystems & Environment, 2021, 320: 107559. |
| [21] | Tao Y H, Fan Y, Pang S, et al. Depth-dependent effects of leguminous crops on soil nitrogen-fixing microbial communities. Journal of Plant Ecology, 2024, 17(6): rtae092. |
| [22] | Zhang S M, Huang Y M, Ni Y X, et al. Effects of artificial forests and grasslands in the southern Ningxia mountainous area on soil fungal communities. China Environmental Science, 2018, 38(4): 1449-1458. |
| 张树萌, 黄懿梅, 倪银霞, 等.宁南山区人工林草对土壤真菌群落的影响.中国环境科学, 2018, 38(4): 1449-1458. | |
| [23] | Zhu W Y, Yang C, Xu M Y, et al. Effects of Stellera chamaejasme development on community structure of micro-scale topography in alpine meadow. Chinese Journal of Grassland, 2024, 46(2): 83-91. |
| 朱文琰, 杨畅, 许明圆, 等. 不同龄级瑞香狼毒影响微尺度高寒草甸群落结构. 中国草地学报, 2024, 46(2): 83-91. |
| [1] | 刘阳, 肖红, 徐长林, 邓明月, 魏文强, 韩奥, 马凯, 王昀. 东祁连山高寒草甸山生柳灌木扩张对草本植物群落特征的影响[J]. 草业学报, 2026, 35(3): 13-25. |
| [2] | 周诗杰, 王义莲, 孙攀, 尚静, 杨文钰, 王学贵, 杨继芝. 四川省玉米大豆带状复合种植田杂草发生种类及群落特征分析[J]. 草业学报, 2026, 35(2): 143-154. |
| [3] | 何佳奇, 吴林, 邱智敏, 高绪勇, 高伦伦, 付双彬, 杨燕萍, 王培龙, 徐婉, 周庄. 温州绕城高速公路边坡杂草物种多样性及群落特征[J]. 草业学报, 2026, 35(2): 40-53. |
| [4] | 向泽宇, 唐忠炳, 彭昕桁, 杨晓龙, 杨创明, 邱相东, 陈春发, 彭焱松, 周赛霞. 武功山山地草甸植物群落特征和生态位[J]. 草业学报, 2025, 34(9): 12-25. |
| [5] | 彭浩, 董宝珠, 马利娟, 于晓东, 张艺帆, 李晓芳. 内蒙古典型草原和荒漠草原土壤固碳微生物组成及其固碳途径差异分析[J]. 草业学报, 2025, 34(8): 123-131. |
| [6] | 唐伟, 李子光, 赵庆田, 孙娟. 燕麦种植密度对马唐和稗草生长及根际真菌群落结构的影响[J]. 草业学报, 2025, 34(8): 149-164. |
| [7] | 汤珊珊, 胡敏. 禾本科植物根际土壤酶活性和细菌群落结构差异[J]. 草业学报, 2025, 34(8): 99-108. |
| [8] | 孔天赐, 马学青, 贺晨帮, 樊泰延, 芦光新, 祁鹤兴. 青贮玉米真菌性病害对青贮发酵微生物多样性的影响[J]. 草业学报, 2025, 34(7): 95-106. |
| [9] | 严双, 夏菲, 魏巍, 王敬龙, 吴皓阳, 冉林灵, 薛云尹, 石昊, 郑晒坤, 王军强, 贺俊东. 高寒草甸不同侵蚀样地植物多样性的差异及其关键影响因子[J]. 草业学报, 2025, 34(6): 1-13. |
| [10] | 李若璇, 李升郅粲, 陈奕彤, 孙雨豪, 杨培志, 崔彦农, 龙明秀, 何树斌. 保护播种下紫花苜蓿根际土壤氨氧化和反硝化微生物群落对糜子种植比例变化的响应[J]. 草业学报, 2025, 34(6): 110-121. |
| [11] | 罗顺华, 刘新宇, 孟宝平, 陈璇黎, 胡仁杰, 于红妍, 王贤颖, 张勃, 秦彧. 祁连山国家公园高寒草地功能群多样性与生产力研究[J]. 草业学报, 2025, 34(6): 14-26. |
| [12] | 李雪萍, 许世洋, 李建军, 漆永红. 青稞根腐病根际土壤细菌多样性及群落结构变化规律[J]. 草业学报, 2025, 34(5): 118-129. |
| [13] | 邓文辉, 宋珂辰, 张浩, 管思雨, 雍嘉仪, 胡海英. 降水变化条件下荒漠草原优势植物根际微生物群落结构和多样性特征研究[J]. 草业学报, 2025, 34(5): 12-26. |
| [14] | 董晓慧, 师尚礼, 尹国丽, 陈三冬, 巩海强, 刘林波. 玉米器官组织内生细菌和真菌群落多样性[J]. 草业学报, 2025, 34(5): 130-145. |
| [15] | 王守兴, 周华坤, 欧立鹏, 李成先, 王雁鹤, 宁晓春, 谷强, 魏代军, 杨明新. 三江源不同草地类型植被及土壤微生物多样性与土壤因子特征的研究[J]. 草业学报, 2025, 34(4): 16-26. |
| 阅读次数 | ||||||
|
全文 |
|
|||||
|
摘要 |
|
|||||