欢迎访问《草业学报》官方网站,今天是

草业学报 ›› 2026, Vol. 35 ›› Issue (5): 126-138.DOI: 10.11686/cyxb2025217

• 研究论文 • 上一篇    

不同行距和播量对盐碱地湖南稷子饲草及种子产量和质量的影响

项凌飞1(), 张峰举2, 李跃3, 王学琴4, 刘金龙5, 马巧利1()   

  1. 1.宁夏大学林业与草业学院,宁夏 银川 750021
    2.宁夏大学生态环境学院,宁夏 银川 750021
    3.中国农业大学草业科学与技术学院,北京 100191
    4.宁夏科学技术发展战略和信息研究所,宁夏 银川 750021
    5.宁夏千叶青农业科技发展有限公司,宁夏 平罗 753400
  • 收稿日期:2025-05-29 修回日期:2025-07-21 出版日期:2026-05-20 发布日期:2026-03-11
  • 通讯作者: 马巧利
  • 作者简介:Corresponding author. E-mail: mql_2008@126.com
    项凌飞(1998-),男,宁夏盐池人,在读硕士。E-mail: xlf_waooo@163.com
  • 基金资助:
    国家重点研发计划(2021YFD1900603);宁夏回族自治区重点研发计划(2023BCF01012);宁夏回族自治区重点研发计划(2022BDE92070);宁夏回族自治区自然基金项目(2023AAC03729)

Effects of varied row spacings and sowing rates on forage and seed yield and quality of Echinochloa frumentacea in saline-alkali land

Ling-fei XIANG1(), Feng-ju ZHANG2, Yue LI3, Xue-qin WANG4, Jin-long LIU5, Qiao-li MA1()   

  1. 1.College of Forestry and Prataculture,Ningxia University,Yinchuan 750021,China
    2.College of Ecological Environment,Ningxia University,Yinchuan 750021,China
    3.College of Grassland Science and Technology,China Agricultural University,Beijing 100191,China
    4.Ningxia Institute of Science and Technology Development Strategy and Information,Yinchuan 750021,China
    5.Ningxia Qianyeqing Agricultural Science and Technology Development Co. ,Ltd. ,Pingluo 753400,China
  • Received:2025-05-29 Revised:2025-07-21 Online:2026-05-20 Published:2026-03-11
  • Contact: Qiao-li MA

摘要:

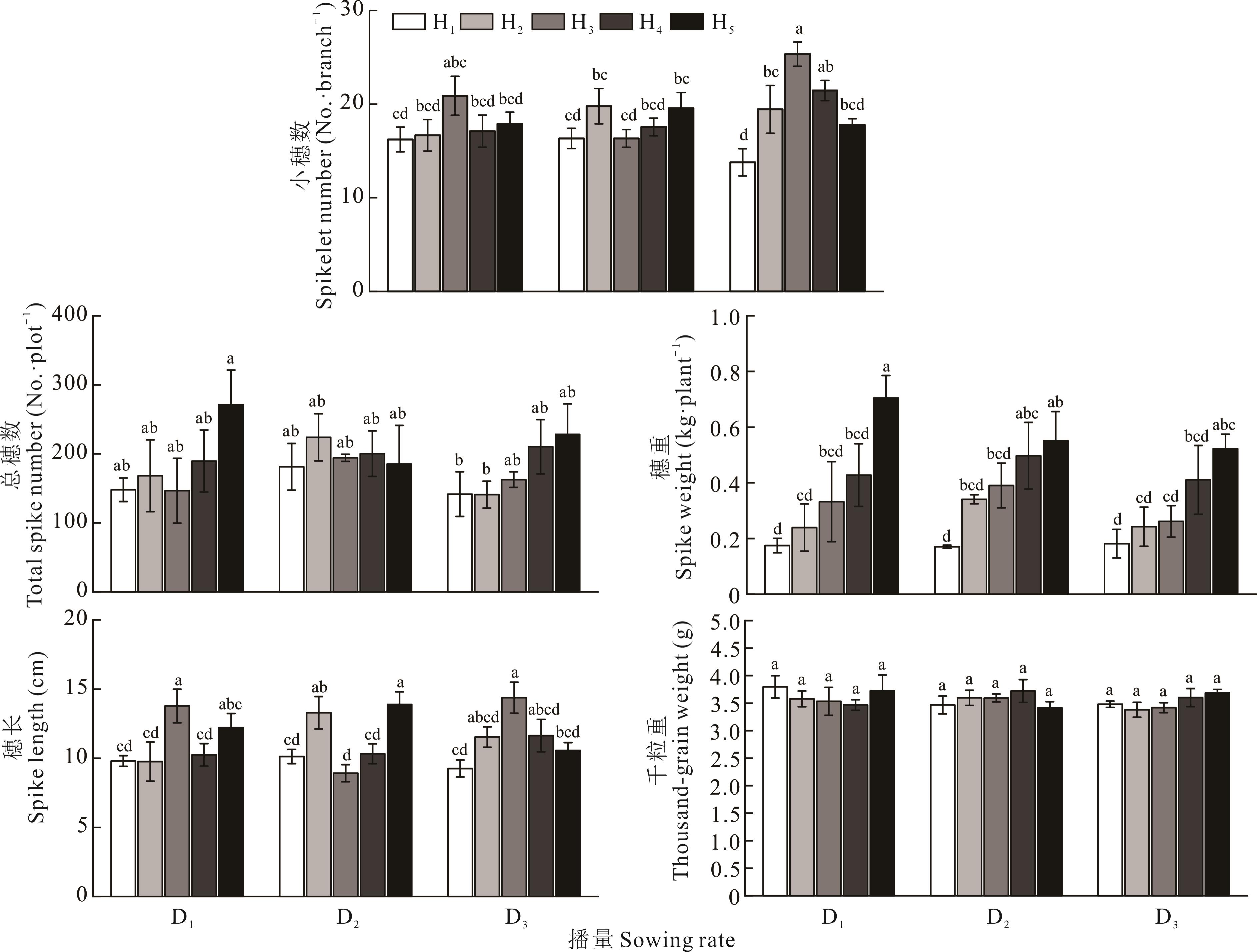
科学合理的种植密度是提升禾本科牧草生产效益的关键措施。然而,在宁夏银北盐碱地区,湖南稷子的适宜行距与播量配置及其对产量与质量的影响尚不明确。本研究采用双因素裂区试验设计,设置5个行距水平(20、30、40、50和60 cm)和3个播量水平(7.50、11.25和15.00 kg·hm-2),探究其对饲草和种子产量及质量的影响,为盐碱地牧草种植的精准管理提供科学依据。结果表明:行距对湖南稷子鲜草产量有极显著影响(P<0.01),在H1D2(行距20 cm、播量11.25 kg·hm-2)处理下鲜草产量最高,为36129.17 kg·hm-2;种子产量在H5D1(行距60 cm、播量7.50 kg·hm-2)处理下最高,达1631.95 kg·hm-2。H3D1(行距40 cm、播量7.50 kg·hm-2)处理的发芽势、发芽指数和活力指数最高,表明该处理下种子质量最优。行距对种子的小穗数、穗重、穗长和发芽势均有极显著影响(P<0.01),而播量对实际种子产量、发芽率和发芽势有极显著影响(P<0.01),行距和播量的交互作用对实际种子产量以及种子的各项指标均产生极显著影响(P<0.01)。相关性分析显示,行距与穗重、总穗数呈极显著正相关(P<0.01),与鲜草产量呈极显著负相关(P<0.01);通径分析表明,总穗数对种子产量的直接贡献最大。主成分分析结果表明,H5D1处理的综合得分最高。因此,为实现盐碱地湖南稷子饲草和种子的高产,建议鲜草生产采用窄行距(20 cm)和中等播量(11.25 kg·hm-2),种子生产则以宽行距(60 cm)和低播量(7.50 kg·hm-2)为宜。

关键词: 湖南稷子, 行距, 播量, 种子产量, 种子质量, 通径分析

Abstract:

A scientifically based and rational planting density is a key measure to improve the production efficiency of Poaceae forage. The aim of this study, therefore, was to determine the optimal row spacing and seeding rate for Echinochloa frumentacea in saline-alkali land in Yinbei, Ningxia, and to determine the impacts of these factors on yield and quality. We conducted a field experiment with a split-plot experimental design with five row spacings (20, 30, 40, 50, and 60 cm; designated as H1-H5) and three sowing rates (7.50, 11.25, and 15.00 kg·ha-1; designated as D1-D3). The results show that row spacing exerted a highly significant influence on the fresh yield of E. frumentaceaP<0.01), with the highest yield of 36129.17 kg·ha-1 in the H1D2 treatment (row spacing 20 cm, sowing rate 11.25 kg·ha-1); and the highest seed yield of 1631.95 kg·ha-1 in the H5D1 treatment (row spacing 60 cm, sowing rate 7.50 kg·ha-1). In terms of seed quality, the best results (highest germination potential, germination index, and vigor index) were in the H3D1 treatment (row spacing 40 cm, sowing rate 7.50 kg·ha-1). Row spacing had an extremely significant effect on the spikelet number, spike weight, spike length, and germination potential of seeds (P<0.01), whereas the sowing rate had an extremely significant effect on actual seed yield, germination rate, and germination potential (P<0.01). The row spacing×sowing rate interaction was highly significant for both seed production and quality parameters (P<0.01). Correlation analysis showed that row spacing was extremely significantly positively correlated with spike weight and total spike number (P<0.01), and extremely significantly negatively correlated with fresh forage yield (P<0.01). A Path analysis indicated that the total spike number made the largest direct contribution to seed yield. In a principal component analysis, the H5D1 treatment had the highest score. Therefore, to achieve high yields of forage and seeds of E. frumentacea in saline-alkali land, it is recommended to use narrow row spacing (20 cm) and a medium sowing rate (11.25 kg·ha-1) for forage production, and wide row spacing (60 cm) and a low sowing rate (7.50 kg·ha-1) for seed production. These findings provide scientific evidence for the precise management of forage cultivation in saline-alkali land.

Key words: Echinochloa frumentacea, row spacing, sowing rate, seed yield, seed quality, Path analysis