Acta Prataculturae Sinica ›› 2025, Vol. 34 ›› Issue (8): 30-42.DOI: 10.11686/cyxb2024447
Previous Articles Next Articles
Hai-long MAO1,2(
), Ji-cheng TAI2,3, Heng-shan YANG1,2(
), Yu-qin ZHANG1,2, Rui-fu ZHANG1,2, Zhen-zhen WANG1,2
Received:2024-11-06
Revised:2025-01-12
Online:2025-08-20
Published:2025-06-16
Contact:
Heng-shan YANG
Hai-long MAO, Ji-cheng TAI, Heng-shan YANG, Yu-qin ZHANG, Rui-fu ZHANG, Zhen-zhen WANG. Effect of strip configuration on canopy characteristics, yield, and the quality of silage produced from co-cultivated corn and soybean[J]. Acta Prataculturae Sinica, 2025, 34(8): 30-42.
项目 Item | 月份Month | |||||
|---|---|---|---|---|---|---|
| 4 | 5 | 6 | 7 | 8 | 9 | |
| 平均气温Average temperature (℃) | 10.08 | 18.18 | 23.82 | 25.16 | 23.44 | 19.70 |
| 降水量Precipitation (mm) | 1.81 | 45.72 | 10.17 | 47.29 | 2.88 | 8.14 |
Table 1 Meteorological conditions during the growing season in the test area
项目 Item | 月份Month | |||||
|---|---|---|---|---|---|---|
| 4 | 5 | 6 | 7 | 8 | 9 | |
| 平均气温Average temperature (℃) | 10.08 | 18.18 | 23.82 | 25.16 | 23.44 | 19.70 |
| 降水量Precipitation (mm) | 1.81 | 45.72 | 10.17 | 47.29 | 2.88 | 8.14 |
米豆间距 Corn-soybean spacing | 玉米 Corn | 大豆 Soybean | 株距Plant spacing (cm) | |||
|---|---|---|---|---|---|---|
| 行数Number of rows | 行距Row spacing (cm) | 行数Number of rows | 行距Row spacing (cm) | 玉米Corn | 大豆Soybean | |
| 50 cm | 2 | 40 | 2 | 40 | 14.8 | 6.2 |
| 2 | 40 | 4 | 40 | 10.3 | 8.5 | |
| 4 | 40+80 | 4 | 40 | 14.0 | 5.8 | |
| 4 | 40+80 | 6 | 40 | 11.6 | 7.2 | |
| 60 cm | 2 | 40 | 2 | 40 | 13.3 | 5.6 |
| 2 | 40 | 4 | 40 | 9.5 | 7.9 | |
| 4 | 40+80 | 4 | 40 | 13.3 | 5.5 | |
| 4 | 40+80 | 6 | 40 | 11.1 | 6.9 | |
| 70 cm | 2 | 40 | 2 | 40 | 12.1 | 5.1 |
| 2 | 40 | 4 | 40 | 8.9 | 7.4 | |
| 4 | 40+80 | 4 | 40 | 12.7 | 5.3 | |
| 4 | 40+80 | 6 | 40 | 10.7 | 6.7 | |
Table 2 Belt configuration of corn and soybean composite
米豆间距 Corn-soybean spacing | 玉米 Corn | 大豆 Soybean | 株距Plant spacing (cm) | |||
|---|---|---|---|---|---|---|
| 行数Number of rows | 行距Row spacing (cm) | 行数Number of rows | 行距Row spacing (cm) | 玉米Corn | 大豆Soybean | |
| 50 cm | 2 | 40 | 2 | 40 | 14.8 | 6.2 |
| 2 | 40 | 4 | 40 | 10.3 | 8.5 | |
| 4 | 40+80 | 4 | 40 | 14.0 | 5.8 | |
| 4 | 40+80 | 6 | 40 | 11.6 | 7.2 | |
| 60 cm | 2 | 40 | 2 | 40 | 13.3 | 5.6 |
| 2 | 40 | 4 | 40 | 9.5 | 7.9 | |
| 4 | 40+80 | 4 | 40 | 13.3 | 5.5 | |
| 4 | 40+80 | 6 | 40 | 11.1 | 6.9 | |
| 70 cm | 2 | 40 | 2 | 40 | 12.1 | 5.1 |
| 2 | 40 | 4 | 40 | 8.9 | 7.4 | |
| 4 | 40+80 | 4 | 40 | 12.7 | 5.3 | |
| 4 | 40+80 | 6 | 40 | 10.7 | 6.7 | |
行比配置 Row ratio configuration | 米豆间距 Corn-soybean spacing | 玉米Corn | 大豆 Soybean | ||
|---|---|---|---|---|---|
| 穗位上On the ear | 穗位叶Ear leaf | 穗位下Below the ear | |||
| 2∶2 | 50 cm | 56.72±3.67bc | 55.79±4.53de | 54.52±4.63def | 37.72±3.67e |
| 60 cm | 58.85±5.78ab | 61.71±5.40ab | 60.82±5.53ab | 38.43±2.78e | |
| 70 cm | 50.55±5.87e | 56.03±6.59cde | 55.26±4.94cde | 40.11±3.56e | |
| 2∶4 | 50 cm | 50.75±6.24e | 55.67±7.63ef | 51.44±5.49f | 43.34±5.18d |
| 60 cm | 55.75±6.57bcd | 60.99±3.72ab | 57.11±4.81cd | 44.16±7.21cd | |
| 70 cm | 53.30±6.88de | 55.98±7.04cde | 54.54±6.20def | 46.26±1.32cd | |
| 4∶4 | 50 cm | 54.85±5.70cd | 57.21±5.58cde | 55.87±4.87cde | 44.81±2.13cd |
| 60 cm | 60.14±5.24a | 63.03±5.58a | 61.53±5.11a | 45.31±1.64cd | |
| 70 cm | 57.58±6.74abc | 58.97±6.68bcd | 57.94±7.39bc | 47.28±5.34c | |
| 4∶6 | 50 cm | 52.99±4.74de | 52.38±5.43f | 53.01±5.68ef | 50.59±2.17b |
| 60 cm | 54.57±6.06cd | 59.14±5.05bc | 55.57±5.55cde | 52.53±3.15ab | |
| 70 cm | 52.67±6.90de | 55.42±5.83ef | 53.07±5.16ef | 54.82±5.31a | |
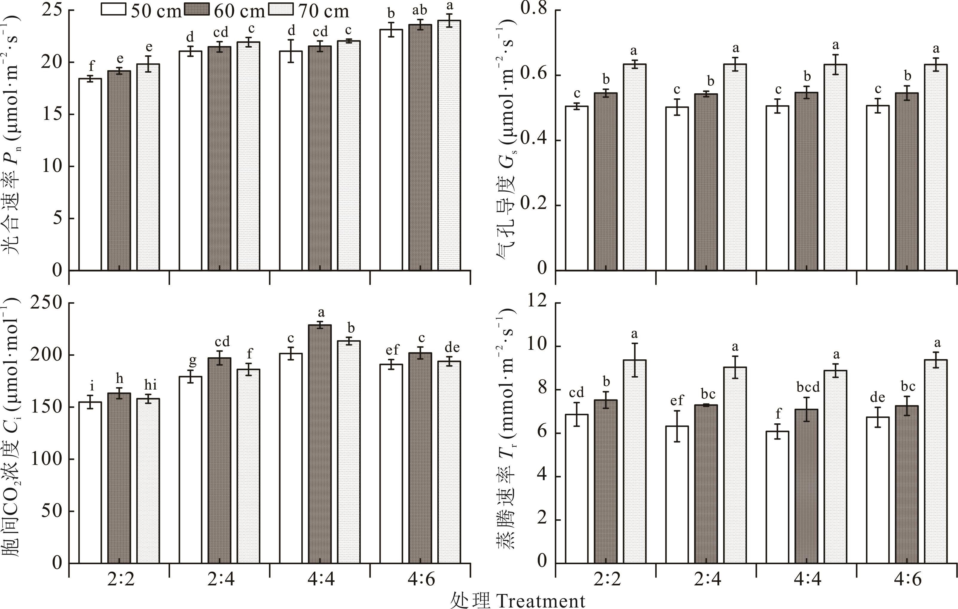
| 米豆间距Corn-soybean spacing (C) | 7.605** | 17.146** | 13.373** | 3.983* | |
| 行比配置Row ratio configuration (R) | 5.098* | 3.690* | 6.883** | 41.498** | |
| C×R | 2.128ns | 0.215ns | 0.557ns | 0.086ns | |
Table 3 Effect of band configuration on SPAD values of corn and soybean leaves in adjacent rows of corn-soybean
行比配置 Row ratio configuration | 米豆间距 Corn-soybean spacing | 玉米Corn | 大豆 Soybean | ||
|---|---|---|---|---|---|
| 穗位上On the ear | 穗位叶Ear leaf | 穗位下Below the ear | |||
| 2∶2 | 50 cm | 56.72±3.67bc | 55.79±4.53de | 54.52±4.63def | 37.72±3.67e |
| 60 cm | 58.85±5.78ab | 61.71±5.40ab | 60.82±5.53ab | 38.43±2.78e | |
| 70 cm | 50.55±5.87e | 56.03±6.59cde | 55.26±4.94cde | 40.11±3.56e | |
| 2∶4 | 50 cm | 50.75±6.24e | 55.67±7.63ef | 51.44±5.49f | 43.34±5.18d |
| 60 cm | 55.75±6.57bcd | 60.99±3.72ab | 57.11±4.81cd | 44.16±7.21cd | |
| 70 cm | 53.30±6.88de | 55.98±7.04cde | 54.54±6.20def | 46.26±1.32cd | |
| 4∶4 | 50 cm | 54.85±5.70cd | 57.21±5.58cde | 55.87±4.87cde | 44.81±2.13cd |
| 60 cm | 60.14±5.24a | 63.03±5.58a | 61.53±5.11a | 45.31±1.64cd | |
| 70 cm | 57.58±6.74abc | 58.97±6.68bcd | 57.94±7.39bc | 47.28±5.34c | |
| 4∶6 | 50 cm | 52.99±4.74de | 52.38±5.43f | 53.01±5.68ef | 50.59±2.17b |
| 60 cm | 54.57±6.06cd | 59.14±5.05bc | 55.57±5.55cde | 52.53±3.15ab | |
| 70 cm | 52.67±6.90de | 55.42±5.83ef | 53.07±5.16ef | 54.82±5.31a | |
| 米豆间距Corn-soybean spacing (C) | 7.605** | 17.146** | 13.373** | 3.983* | |
| 行比配置Row ratio configuration (R) | 5.098* | 3.690* | 6.883** | 41.498** | |
| C×R | 2.128ns | 0.215ns | 0.557ns | 0.086ns | |
行比配置 Row ratio configuration | 米豆间距 Corn-soybean spacing | 玉米Corn | 大豆 Soybean | ||
|---|---|---|---|---|---|
| 穗位上On the ear | 穗位叶Ear leaf | 穗位下Below the ear | |||
| 2∶2 | 50 cm | 1.47±0.15def | 1.70±0.26e | 2.77±0.29cd | 4.10±0.10f |
| 60 cm | 1.70±0.17ab | 2.10±0.20ab | 3.53±0.12ab | 4.27±0.06f | |
| 70 cm | 1.50±0.20cde | 1.80±0.26cde | 3.33±0.84abc | 4.57±0.06e | |
| 2∶4 | 50 cm | 1.30±0.20f | 1.67±0.31e | 2.57±0.64d | 5.20±0.10d |
| 60 cm | 1.63±0.15bcd | 1.87±0.06cde | 3.23±0.50abcd | 5.33±0.21d | |
| 70 cm | 1.47±0.21def | 1.73±0.21de | 3.03±0.46abcd | 5.63±0.21c | |
| 4∶4 | 50 cm | 1.70±0.17ab | 1.97±0.15bc | 2.87±0.29bcd | 5.10±0.10d |
| 60 cm | 1.83±0.06a | 2.20±0.20a | 3.77±0.06a | 5.23±0.21d | |
| 70 cm | 1.57±0.15bcd | 1.87±0.15cde | 3.40±0.61abc | 5.63±0.06c | |
| 4∶6 | 50 cm | 1.37±0.21ef | 1.67±0.38e | 2.67±0.06cd | 5.97±0.15b |
| 60 cm | 1.67±0.15abc | 1.93±0.15bcd | 3.27±0.12abcd | 6.07±0.25ab | |
| 70 cm | 1.47±0.06def | 1.77±0.15cde | 3.10±0.20abcd | 6.33±0.40a | |
| 米豆间距Corn-soybean spacing (C) | 7.908* | 5.302* | 9.216* | 18.317** | |
| 行比配置Row ratio configuration (R) | 3.510* | 2.339ns | 1.660ns | 142.421** | |
| C×R | 0.817ns | 0.226ns | 0.079ns | 0.127ns | |
Table 4 Effect of band configuration on leaf area index of corn and soybean in adjacent rows of corn-soybean
行比配置 Row ratio configuration | 米豆间距 Corn-soybean spacing | 玉米Corn | 大豆 Soybean | ||
|---|---|---|---|---|---|
| 穗位上On the ear | 穗位叶Ear leaf | 穗位下Below the ear | |||
| 2∶2 | 50 cm | 1.47±0.15def | 1.70±0.26e | 2.77±0.29cd | 4.10±0.10f |
| 60 cm | 1.70±0.17ab | 2.10±0.20ab | 3.53±0.12ab | 4.27±0.06f | |
| 70 cm | 1.50±0.20cde | 1.80±0.26cde | 3.33±0.84abc | 4.57±0.06e | |
| 2∶4 | 50 cm | 1.30±0.20f | 1.67±0.31e | 2.57±0.64d | 5.20±0.10d |
| 60 cm | 1.63±0.15bcd | 1.87±0.06cde | 3.23±0.50abcd | 5.33±0.21d | |
| 70 cm | 1.47±0.21def | 1.73±0.21de | 3.03±0.46abcd | 5.63±0.21c | |
| 4∶4 | 50 cm | 1.70±0.17ab | 1.97±0.15bc | 2.87±0.29bcd | 5.10±0.10d |
| 60 cm | 1.83±0.06a | 2.20±0.20a | 3.77±0.06a | 5.23±0.21d | |
| 70 cm | 1.57±0.15bcd | 1.87±0.15cde | 3.40±0.61abc | 5.63±0.06c | |
| 4∶6 | 50 cm | 1.37±0.21ef | 1.67±0.38e | 2.67±0.06cd | 5.97±0.15b |
| 60 cm | 1.67±0.15abc | 1.93±0.15bcd | 3.27±0.12abcd | 6.07±0.25ab | |
| 70 cm | 1.47±0.06def | 1.77±0.15cde | 3.10±0.20abcd | 6.33±0.40a | |
| 米豆间距Corn-soybean spacing (C) | 7.908* | 5.302* | 9.216* | 18.317** | |
| 行比配置Row ratio configuration (R) | 3.510* | 2.339ns | 1.660ns | 142.421** | |
| C×R | 0.817ns | 0.226ns | 0.079ns | 0.127ns | |
项目 Item | 玉米Corn | 大豆Soybean | ||||||
|---|---|---|---|---|---|---|---|---|
| Pn | Gs | Ci | Tr | Pn | Gs | Ci | Tr | |
| C | 7.004** | 10.004** | 3.973* | 28.960** | 19.197** | 251.434** | 57.263** | 188.700** |
| R | 2.024ns | 2.707* | 4.539* | 80.007** | 176.827** | 0.130ns | 346.937** | 4.791* |
| C×R | 0.537ns | 0.313ns | 0.041ns | 1.046ns | 0.300ns | 0.035ns | 3.881* | 0.432ns |
Table 5 Variance analysis of band configuration on photosynthetic parameters of corn and soybean in adjacent rows of corn-soybean
项目 Item | 玉米Corn | 大豆Soybean | ||||||
|---|---|---|---|---|---|---|---|---|
| Pn | Gs | Ci | Tr | Pn | Gs | Ci | Tr | |
| C | 7.004** | 10.004** | 3.973* | 28.960** | 19.197** | 251.434** | 57.263** | 188.700** |
| R | 2.024ns | 2.707* | 4.539* | 80.007** | 176.827** | 0.130ns | 346.937** | 4.791* |
| C×R | 0.537ns | 0.313ns | 0.041ns | 1.046ns | 0.300ns | 0.035ns | 3.881* | 0.432ns |
| 项目Item | 玉米Corn | 大豆Soybean |
|---|---|---|
| C | 30.396** | 37.688** |
| R | 7.548** | 314.307** |
| C×R | 0.248ns | 0.100ns |
Table 6 Variance analysis of configuration on photosynthetic capacity of corn and soybean canopies in adjacent rows of corn-soybean
| 项目Item | 玉米Corn | 大豆Soybean |
|---|---|---|
| C | 30.396** | 37.688** |
| R | 7.548** | 314.307** |
| C×R | 0.248ns | 0.100ns |
项目 Item | 玉米Corn | 大豆Soybean | ||
|---|---|---|---|---|
吐丝期 The process of silk production | 乳熟期 Milky stage | 盛花期 Prime bloom period | 鼓粒期 Tympanic period | |
| C | 35.614** | 42.743** | 49.913** | 28.385** |
| R | 618.582** | 88.853** | 516.580** | 235.898** |
| C×R | 1.828ns | 2.024ns | 1.174ns | 0.243ns |
Table 7 Variance analysis of corn and soybean dry matter mass in different belt configurations
项目 Item | 玉米Corn | 大豆Soybean | ||
|---|---|---|---|---|
吐丝期 The process of silk production | 乳熟期 Milky stage | 盛花期 Prime bloom period | 鼓粒期 Tympanic period | |
| C | 35.614** | 42.743** | 49.913** | 28.385** |
| R | 618.582** | 88.853** | 516.580** | 235.898** |
| C×R | 1.828ns | 2.024ns | 1.174ns | 0.243ns |
行比配置 Row ratio configuration | 米豆间距 Corn-soybean spacing | 米豆复合体产量 Corn-soybean complex yield (t·hm-2) | 占复合体产量比例 Proportion of complex production (%) | |||
|---|---|---|---|---|---|---|
| 玉米Corn | 大豆Soybean | 复合体Complexes | 玉米Corn | 大豆Soybean | ||
| 2∶2 | 50 cm | 126.50±5.31de | 21.33±1.38d | 73.91±2.02d | 85.58 | 14.42 |
| 60 cm | 147.31±10.00ab | 22.38±1.15cd | 84.84±4.64b | 86.81 | 13.19 | |
| 70 cm | 138.61±0.48bc | 23.38±0.33c | 80.99±0.24bc | 85.57 | 14.43 | |
| 2∶4 | 50 cm | 118.70±8.97ef | 25.58±0.52b | 56.31±3.26g | 69.56 | 30.44 |
| 60 cm | 137.97±8.71bc | 26.00±1.52b | 62.95±3.83e | 72.33 | 27.67 | |
| 70 cm | 119.22±6.36ef | 26.33±1.42b | 56.99±2.66fg | 69.03 | 30.97 | |
| 4∶4 | 50 cm | 132.66±4.93cd | 25.54±0.72b | 78.95±2.11c | 84.02 | 15.98 |
| 60 cm | 153.50±4.70a | 26.33±0.72b | 89.92±2.56a | 85.35 | 14.65 | |
| 70 cm | 143.00±7.41abc | 27.08±0.56b | 85.04±3.76b | 84.08 | 15.92 | |
| 4∶6 | 50 cm | 109.20±6.99f | 29.79±1.00b | 61.55±2.94ef | 70.97 | 29.03 |
| 60 cm | 133.28±4.88cd | 30.38±1.19a | 71.54±1.30d | 74.52 | 25.48 | |
| 70 cm | 118.39±3.47ef | 31.58±1.94a | 66.31±0.23e | 71.41 | 28.59 | |
| 米豆间距Corn-soybean spacing (C) | 32.634** | 5.457* | 35.717** | 15.729** | 15.671** | |
| 行比配置Row ratio configuration (R) | 23.312** | 78.941** | 164.675** | 427.118** | 449.743** | |
| C×R | 0.604ns | 0.204ns | 0.827ns | 1.028ns | 1.014ns | |
Table 8 The effect of belt configuration on the biological yield of corn-soybean complex
行比配置 Row ratio configuration | 米豆间距 Corn-soybean spacing | 米豆复合体产量 Corn-soybean complex yield (t·hm-2) | 占复合体产量比例 Proportion of complex production (%) | |||
|---|---|---|---|---|---|---|
| 玉米Corn | 大豆Soybean | 复合体Complexes | 玉米Corn | 大豆Soybean | ||
| 2∶2 | 50 cm | 126.50±5.31de | 21.33±1.38d | 73.91±2.02d | 85.58 | 14.42 |
| 60 cm | 147.31±10.00ab | 22.38±1.15cd | 84.84±4.64b | 86.81 | 13.19 | |
| 70 cm | 138.61±0.48bc | 23.38±0.33c | 80.99±0.24bc | 85.57 | 14.43 | |
| 2∶4 | 50 cm | 118.70±8.97ef | 25.58±0.52b | 56.31±3.26g | 69.56 | 30.44 |
| 60 cm | 137.97±8.71bc | 26.00±1.52b | 62.95±3.83e | 72.33 | 27.67 | |
| 70 cm | 119.22±6.36ef | 26.33±1.42b | 56.99±2.66fg | 69.03 | 30.97 | |
| 4∶4 | 50 cm | 132.66±4.93cd | 25.54±0.72b | 78.95±2.11c | 84.02 | 15.98 |
| 60 cm | 153.50±4.70a | 26.33±0.72b | 89.92±2.56a | 85.35 | 14.65 | |
| 70 cm | 143.00±7.41abc | 27.08±0.56b | 85.04±3.76b | 84.08 | 15.92 | |
| 4∶6 | 50 cm | 109.20±6.99f | 29.79±1.00b | 61.55±2.94ef | 70.97 | 29.03 |
| 60 cm | 133.28±4.88cd | 30.38±1.19a | 71.54±1.30d | 74.52 | 25.48 | |
| 70 cm | 118.39±3.47ef | 31.58±1.94a | 66.31±0.23e | 71.41 | 28.59 | |
| 米豆间距Corn-soybean spacing (C) | 32.634** | 5.457* | 35.717** | 15.729** | 15.671** | |
| 行比配置Row ratio configuration (R) | 23.312** | 78.941** | 164.675** | 427.118** | 449.743** | |
| C×R | 0.604ns | 0.204ns | 0.827ns | 1.028ns | 1.014ns | |
项目 Item | 粗蛋白质Crude protein | |
|---|---|---|
| 含量Content | 产出量Output | |
| C | 48.614** | 37.670** |
| R | 7599.369** | 60.274** |
| C×R | 0.810ns | 0.692ns |
Table 9 Variance analysis of crude protein content and crude protein yield per unit area of corn-soybean complex in different band configurations
项目 Item | 粗蛋白质Crude protein | |
|---|---|---|
| 含量Content | 产出量Output | |
| C | 48.614** | 37.670** |
| R | 7599.369** | 60.274** |
| C×R | 0.810ns | 0.692ns |
| 1 | Wang X R, Huang C, Yang Y H, et al. Experimental study on belt type of soybean maize compound planting in Jalaid Banner, Inner Mongolia. Chinese Agricultural Science Bulletin, 2023, 39(31): 1-6. |
| 王昕然, 黄超, 杨玉辉, 等. 内蒙古扎赉特旗大豆玉米带状复合种植带型试验研究. 中国农学通报, 2023, 39(31): 1-6. | |
| 2 | Wang X C, Ma X X, Yang T H, et al. Effects of different mixing ratios on the quality of corn-soybean whole plant mixed silage. Soybean Science, 2024, 43(3): 376-381. |
| 王晓春, 马晓霞, 杨天辉, 等. 青贮玉米与全株大豆混合比例对青贮品质的影响. 大豆科学, 2024, 43(3): 376-381. | |
| 3 | Yang W Y, Yang F. Developing maize-soybean strip intercropping for demand security of national food. Scientia Agricultura Sinica, 2019, 52(21): 3748-3750. |
| 杨文钰, 杨峰. 发展玉豆带状复合种植,保障国家粮食安全. 中国农业科学, 2019, 52(21): 3748-3750. | |
| 4 | Zhao X J. Quality evaluation and key points analysis of whole plant corn silage in large-scale pasture of Heilongjiang Province. Harbin: Northeast Agricultural University, 2019. |
| 赵雪娇. 黑龙江地区规模化牧场全株玉米青贮品质评价及制作关键点分析. 哈尔滨: 东北农业大学, 2019. | |
| 5 | Zheng M, Li J, Sun F C, et al. Research progress on the effects of different varieties and silage methods on the quality of corn silage. Journal of Northern Agriculture, 2020, 48(5): 43-48. |
| 郑美, 李娟, 孙峰成, 等. 不同品种和青贮方式对玉米青贮品质影响的研究进展. 北方农业学报, 2020, 48(5): 43-48. | |
| 6 | Zhang H J, Wang S J, Tian C J, et al. Effects of maize straw and its biochar on the dissolved organic matter characteristics of black soil in northeastern China. Journal of Soil and Water Conservation, 2021, 35(2): 243-250. |
| 张海晶, 王少杰, 田春杰, 等. 玉米秸秆及其生物炭对东北黑土溶解有机质特性的影响. 水土保持学报, 2021, 35(2): 243-250. | |
| 7 | Gan L, Li H P, Wang H, et al. Effects of growth phase and mixed sowing ration on silage quality of forage oat/common vetch mixed fermentation in winter fallow field of Sichuan. Acta Agrestia Sinica, 2023, 31(6): 1867-1877. |
| 甘丽, 李海萍, 汪辉, 等. 生育期和混播比例对四川冬闲田燕麦/箭筈豌豆混合青贮品质的影响. 草地学报, 2023, 31(6): 1867-1877. | |
| 8 | Huang X H. Sophora alopecuroides and corn straw mixed silaging and quality evaluation of silage. Lanzhou: Lanzhou University, 2014. |
| 黄晓辉. 苦豆子和玉米秸秆的混合青贮及其品质评价. 兰州: 兰州大学, 2014. | |
| 9 | Liang W W, Zhang H H, Zhang X Z, et al. Comprehensive evaluation of 23 silage maize varieties in the Changji, Xinjiang. Pratacultural Science, 2022, 39(10): 2180-2190. |
| 梁维维, 张荟荟, 张学洲, 等. 新疆昌吉地区23份青贮玉米品种综合评价. 草业科学, 2022, 39(10): 2180-2190. | |
| 10 | Batista V V, Adami P F, Moraes P, et al. Row arrangements of maize and soybean intercrop on silage quality and grain yield. Journal of Agricultural Science, 2019, 11(2): 286-300. |
| 11 | Lian J P, Zhao Z G, Luo R P, et al. Effect of forage soybean and silage corn compound planting on yield and quality of mixed feed. Feed Research, 2022, 45(8): 90-94. |
| 连金番, 赵志刚, 罗瑞萍, 等. 饲草大豆与青贮玉米复合种植对混合饲料产量和品质的影响. 饲料研究, 2022, 45(8): 90-94. | |
| 12 | Wen X J, Yang J Z, Xiao Q Y, et al. Effect of mixed silage ratio of whole plant corn and soybean on silage quality in Northwest Sichuan plateau. Chinese Journal of Grassland, 2022, 44(8): 115-120. |
| 文兴金, 杨继芝, 肖启银, 等. 川西北高原全株玉米和大豆混贮比例对青贮品质的影响. 中国草地学报, 2022, 44(8): 115-120. | |
| 13 | Shen L, Wang X Y, Teng Y X, et al. Study on the influence of maize||soybean on crop growth and yield in arid area. Journal of Shihezi University (Natural Science Edition), 2022, 40(1): 13-20. |
| 申磊, 王秀媛, 滕元旭, 等. 干旱区玉米大豆单间作生长及产量影响的研究. 石河子大学学报(自然科学版), 2022, 40(1): 13-20. | |
| 14 | Zhaobayinnamula, Dehaishan, Hongmei, et al. Effects of maize/soybean intercropping pattern on dynamic changes of cropland soil macrofauna community. Soil and Fertilizer Sciences in China, 2022(7): 132-140. |
| 赵巴音那木拉, 德海山, 红梅, 等. 玉米/大豆间作种植对农田大型土壤动物群落动态变化的影响. 中国土壤与肥料, 2022(7): 132-140. | |
| 15 | Li J W, Gao L H, Guo S S, et al. Prospects for the application of mixed corn-soybean silage. Hebei Agriculture, 2024(1): 89-90. |
| 李军伟, 高丽惠, 郭士松, 等. 玉米大豆混合青贮的应用前景. 河北农业, 2024(1): 89-90. | |
| 16 | Yang F, Lou Y, Liao D P, et al. Effects of row spacing on crop biomass, root morphology and yield in maize-soybean relay strip intercropping system. Acta Agronomica Sinica, 2015, 41(4): 642-650. |
| 杨峰, 娄莹, 廖敦平, 等. 玉米-大豆带状套作行距配置对作物生物量、根系形态及产量的影响. 作物学报, 2015, 41(4): 642-650. | |
| 17 | Liu S S, Pang T, Yuan X T, et al. Effects of row spacing on root nodule growth and nitrogen fixation potential of different nodulation characteristics soybeans in intercropping. Acta Agronomica Sinica, 2023, 49(3): 833-844. |
| 刘姗姗, 庞婷, 袁晓婷, 等. 种间距对不同结瘤特性套作大豆根瘤生长及固氮潜力的影响. 作物学报, 2023, 49(3): 833-844. | |
| 18 | Liu Z M, Xu J L. Effect of maize and lentil mixed silage on silage yield and quality. Contemporary Animal Husbandry, 2011, 2(11): 34-35. |
| 刘昭明, 许金玲. 玉米与扁豆混播混贮对青贮饲料产量和质量的影响. 当代畜牧, 2011, 2(11): 34-35. | |
| 19 | Feng L, Huang G Q, Yang W T, et al. Yields and interspecific relationship of the maize-soybean intercropping system in the upland red soil of Jiangxi Province. Chinese Journal of Eco-Agriculture, 2021, 29(7): 1127-1137. |
| 封亮, 黄国勤, 杨文亭, 等. 江西红壤旱地玉米||大豆间作模式对作物产量及种间关系的影响. 中国生态农业学报(中英文), 2021, 29(7): 1127-1137. | |
| 20 | Zhu X T, Tan C Y, Chen J Q, et al. Effect of intercropping row spacing between maize and soybean on growth and quality of soybean. Guizhou Agricultural Sciences, 2016, 44(6): 22-25, 52. |
| 朱星陶, 谭春燕, 陈佳琴, 等. 玉米-大豆间作行距对大豆生长及品质的影响. 贵州农业科学, 2016, 44(6): 22-25, 52. | |
| 21 | Shu Z B. Effects of bandwidth and density on population yield in fresh maize-fresh soybean strip intercropping system. Chengdu: Sichuan Agricultural University, 2023. |
| 舒泽兵. 北疆灌区青贮玉米-大豆带状间作群体产量与混合青贮品质对密度的响应. 成都: 四川农业大学, 2023. | |
| 22 | Cai Q, Sun Z X, Zheng J M, et al. Dry matter accumulation, allocation, yield and productivity of maize-soybean intercropping systems in the semi-arid region of western Liaoning Province. Scientia Agricultura Sinica, 2021, 54(5): 909-920. |
| 蔡倩, 孙占祥, 郑家明, 等. 辽西半干旱区玉米大豆间作模式对作物干物质积累分配、产量及土地生产力的影响. 中国农业科学, 2021, 54(5): 909-920. | |
| 23 | Chen Y K. Effects of field configuration on soybean light utilization, intraspecific competition, and yield benefits under maize-soybean relay strip intercropping system. Chengdu: Sichuan Agricultural University, 2021. |
| 陈元凯. 田间配置对玉豆带状套作下大豆光能利用、种内竞争和产量效益的影响. 成都: 四川农业大学, 2021. | |
| 24 | Li Q. Study on the interspecific effect of potato intercropping with maize. Yinchuan: Ningxia University, 2019. |
| 李倩. 马铃薯玉米间作的种间作用效应研究. 银川: 宁夏大学, 2019. | |
| 25 | Xiao J X, Tang L, Zheng Y. Effects of N fertilization on yield and nutrient absorption in rape and faba bean intercropping system. Journal of Plant Nutrition and Fertilizers, 2011, 17(6): 1468-1473. |
| 肖靖秀, 汤利, 郑毅. 氮肥用量对油菜||蚕豆间作系统作物产量及养分吸收的影响. 植物营养与肥料学报, 2011, 17(6): 1468-1473. | |
| 26 | Xu T J, Lyu T F, Zhao J R, et al. Photosynthetic characteristics, dry matter accumulation and translocation, grain filling parameter of three main maize varieties in production. Acta Agronomica Sinica, 2018, 44(3): 414-422. |
| 徐田军, 吕天放, 赵久然, 等. 玉米生产上3个主推品种光合特性、干物质积累转运及灌浆特性. 作物学报, 2018, 44(3): 414-422. | |
| 27 | Pei W D, Zhang R H, Wang G X, et al. Responses of canopy structure and population photosynthetic traits on increased planting density of different maize cultivars. Journal of Maize Sciences, 2020, 28(3): 92-98. |
| 裴文东, 张仁和, 王国兴, 等. 玉米冠层结构和群体光合特性对增密的响应. 玉米科学, 2020, 28(3): 92-98. | |
| 28 | Yang S. Feed analysis and quality detection technology. Beijing: Agricultural University Press, 1999: 58-63. |
| 杨胜. 饲料分析与质量检测技术. 北京: 农业大学出版社, 1999: 58-63. | |
| 29 | Gaju O, Desilva J, Carvalho P, et al. Leaf photosynthesis and associations with grain yield, biomass and nitrogen-use efficiency in landraces, synthetic-derived lines and cultivars in wheat. Field Crops Research, 2016, 193: 1-15. |
| 30 | Valladares F, Niinemets Ü. Shade tolerance, a key plant feature of complex nature and consequences. Annual Review of Ecology, Evolution, and Systematics, 2008, 39: 237-257. |
| 31 | Huang D, Wu L, Chen R J, et al. Morphological plasticity, photosynthesis and chlorophyll fluorescence of Athyrium pachyphlebium at different shade levels. Photosynthetica, 2011, 49(4): 611-618. |
| 32 | Tang H Q, Li Z Y, Dong W B, et al. Effects of different intercropping modes of green manure replacing chemical fertilizer on cassava (Manihot esculenta Crantz) traits and yield. Crops, 2021(4): 184-190. |
| 唐红琴, 李忠义, 董文斌, 等. 不同间作绿肥替代化肥模式对木薯性状和产量的影响. 作物杂志, 2021(4): 184-190. | |
| 33 | Yuan J L. Study on physiological basis and suitability of different intercropping models of maize and soybean. Hohhot: Inner Mongolia Agricultural University, 2021. |
| 袁嘉磊. 玉米大豆不同间作模式群体生理基础及适宜性研究. 呼和浩特: 内蒙古农业大学, 2021. | |
| 34 | Li Y H, Shi D Y, Li G H, et al. Maize/peanut intercropping increases photosynthetic characteristics, 13C-photosynthate distribution, and grain yield of summer maize. Journal of Integrative Agriculture, 2019, 18(10): 2219-2229. |
| 35 | Chen P, Du Q, Pang T, et al. Effects of root interaction intensity on crop roots distribution above-ground growth in a maize/soybean relay intercropping system. Journal of Sichuan Agricultural University, 2018, 36(1): 28-37, 59. |
| 陈平, 杜青, 庞婷, 等. 根系互作强度对玉米/大豆套作系统下作物根系分布及地上部生长的影响. 四川农业大学学报, 2018, 36(1): 28-37, 59. | |
| 36 | Zhou H L, Yao X D, Zhao Q, et al. Rapid effect of nitrogen supply for soybean at the beginning flowering stage on biomass and sucrose metabolism. Scientific Reports, 2019, 9(1): 15530. |
| 37 | Zhao D Q, Li T, Hou Y T, et al. Benefits and marginal effect of dry matter accumulation and yield in maize and soybean intercropping patterns. Scientia Agricultura Sinica, 2020, 53(10): 1971-1985. |
| 赵德强, 李彤, 侯玉婷, 等. 玉米大豆间作模式下干物质积累和产量的边际效应及其系统效益. 中国农业科学, 2020, 53(10): 1971-1985. | |
| 38 | Yang L D, Ren J B, Peng X Y, et al. Crop growth characteristics and its effects on yield formation through nitrogen application and interspecific distance in soybean/maize strip relay intercropping. Acta Agronomica Sinica, 2024, 50(1): 251-264. |
| 杨立达, 任俊波, 彭新月, 等. 施氮与种间距离下大豆/玉米带状套作作物生长特性及其对产量形成的影响. 作物学报, 2024, 50(1): 251-264. | |
| 39 | Pang T, Chen P, Yuan X T, et al. Effects of row spacing on dry matter accumulation, grain filling and yield formation of different nodulation characteristic soybeans in intercropping. Scientia Agricultura Sinica, 2019, 52(21): 3751-3762. |
| 庞婷, 陈平, 袁晓婷, 等. 种间距对不同结瘤特性套作大豆物质积累、鼓粒及产量形成的影响. 中国农业科学, 2019, 52(21): 3751-3762. | |
| 40 | Feng L, Raza A M, Shi J, et al. Delayed maize leaf senescence increases the land equivalent ratio of maize soybean relay intercropping system. European Journal of Agronomy, 2020, DOI: 10.1016/j.eja.2020.126092. |
| 41 | Qi S H, He G H, Sun Z Y, et al. Effect of several tillage practices on dry matter accumulation in summer maize. Journal of Henan Institute of Science and Technology (Natural Science Edition), 2010, 38(1): 18-21. |
| 齐尚红, 何桂花, 孙志勇, 等. 几种耕作方式对夏玉米干物质积累的影响. 河南科技学院学报(自然科学版), 2010, 38(1): 18-21. | |
| 42 | Zhan X M, Han X R, Yang J F, et al. Dynamics changes of dry matter accumulation of maize as affected by different quantity of nitrogen and phosphorus and potassium. Chinese Journal of Soil Science, 2007, 38(3): 495-499. |
| 战秀梅, 韩晓日, 杨劲峰, 等. 不同氮、磷、钾肥用量对玉米源、库干物质积累动态变化的影响.土壤通报, 2007, 38(3): 495-499. | |
| 43 | Liu Y, Sun Z X, Bai W, et al. Effect of maize and soybean interplanting on crops growth and yield in western Liaoning Province. Soybean Science, 2011, 30(2): 224-228. |
| 刘洋, 孙占祥, 白伟, 等. 玉米大豆间作对辽西地区作物生长和产量的影响. 大豆科学, 2011, 30(2): 224-228. | |
| 44 | Ding Y Q. Effects of different configuration modes on yield and quality of silage maize||soybean complex. Tongliao: Inner Mongolia Minzu University, 2024. |
| 丁月强. 不同配置模式对青贮型玉米||大豆复合体产量和品质的影响. 通辽: 内蒙古民族大学, 2024. | |
| 45 | Weng Q Y, Huang X J, Xu H L, et al. Effect of corn/soybean intercropping model on yield, quality, soil nutrition and rhizosphere microorganisms of silage corn. Journal of Nuclear Agricultural Sciences, 2021, 35(2): 462-470. |
| 瓮巧云, 黄新军, 许翰林, 等. 玉米/大豆间作模式对青贮玉米产量、品质及土壤营养、根际微生物的影响. 核农学报, 2021, 35(2): 462-470. | |
| 46 | Liu Q, Fu P, Su M, et al. Studies on the production performance of silage maize mixed with lablab beans. Journal of Grassland and Forage Science, 2015, 6(5): 22-24. |
| 柳茜, 傅平, 苏茂, 等. 青贮玉米与拉巴豆混播生产性能研究. 草业与畜牧, 2015, 6(5): 22-24. | |
| 47 | Duan J X, Zang Q J, Xue S M, et al. Effect on forage yield and silage quality of silage maize and amaranth intercropping in subtropical districts. Pratacultural Science, 2024, 41(6): 1471-1482. |
| 段佳鑫, 臧庆吉, 薛世明, 等. 亚热带区玉米和籽粒苋间作对饲草产量和品质的影响. 草业科学, 2024, 41(6): 1471-1482. | |
| 48 | Carpici B E. Nutritive values of soybean silages ensiled with maize at different rates. Legume Research-An International Journal, 2016, 39(5): 810-813. |
| 49 | Luo Y, Chen T F, Li J L, et al. Study on the nutritional quality of Italian ryegrass and soybean straw mixed silages. Acta Agrestia Sinica, 2015, 23(1): 200-204. |
| 罗燕, 陈天峰, 李君临, 等. 多花黑麦草与大豆秸秆混合青贮品质的研究. 草地学报, 2015, 23(1): 200-204. | |
| 50 | Sun H, Lu J D, Shi Y H, et al. Application and prospect of whole crop wheat silage in animal production. Pratacultural Science, 2022, 39(11): 2453-2465. |
| 孙浩, 卢家顶, 史莹华, 等. 全株小麦青贮在动物生产中的应用及前景. 草业科学, 2022, 39(11): 2453-2465. |
| [1] | Bang-yan ZHANG, Xiao-wei XIE, Zhao-hui ZHANG, Jin-min WU, Bin WANG, Xing XU. Effect of organic-inorganic amendments on the quality of saline-alkaline soil and yield of Echinochloa frumentacea [J]. Acta Prataculturae Sinica, 2025, 34(8): 15-29. |
| [2] | Xue-qian JIANG, Qing-chuan YANG, Jun-mei KANG. Research progress on yield loss under drought stress and drought resistance genetics of alfalfa (Medicago sativa) [J]. Acta Prataculturae Sinica, 2025, 34(7): 219-234. |
| [3] | Tian-ci KONG, Xue-qing MA, Chen-bang HE, Tai-yan FAN, Guang-xin LU, He-xing QI. Effects of fungal diseases of silage maize on microbial diversity of silage fermentation [J]. Acta Prataculturae Sinica, 2025, 34(7): 95-106. |
| [4] | Pei-pei JIANG, Jin-hua GUO, Hui-shu XIAO, Yan-min PENG, Jun ZHANG, Wen-zhong TIAN, Jun-jie Lyu, Jin-zhi WU, He-zheng WANG, Guo-zhan FU, Ming HUANG, You-jun LI. Effect of rotational tillage patterns on the crop yield and quality in a maize-wheat (Zea mays-Triticum aestivum) double cropping system in dryland agriculture [J]. Acta Prataculturae Sinica, 2025, 34(6): 181-192. |
| [5] | Qi-lin LIU, Xiao-jun WANG, Jin-lan WANG, Wen-hui LIU, Qiao-ling MA, Jian-hui LI, Sheng-yuan ZHANG, Wen-xia CAO, Wen LI. Effect of nitrogen and phosphorus combined application on forage yield of Elymus sibiricus in an alpine region [J]. Acta Prataculturae Sinica, 2025, 34(6): 193-202. |
| [6] | Wen-li QIN, Jing ZHANG, Guang-min XIAO, Su-qian CUI, Jian-xun YE, Jian-fei ZHI, Li-feng ZHANG, Nan XIE, Wei FENG, Zhen-yu LIU, Xuan PAN, Yun-xia DAI, Zhong-kuan LIU. Effects of partial replacement of chemical nitrogen fertilizers with green manure on soil physical properties and maize (Zea mays) yield [J]. Acta Prataculturae Sinica, 2025, 34(6): 27-45. |
| [7] | Yao-bo LIU, Lu PEI, Chen-zhuo LIU, Xiao-xia LI, Bo-kun ZOU. A meta-analysis of fertilizer response of seed yield and seed yield components in Elymus sibiricus [J]. Acta Prataculturae Sinica, 2025, 34(6): 85-98. |
| [8] | Ya-qi FENG, Jia-hui CHEN, Jing-ni ZHANG, Chao SUI, Ji-wei CHEN, Zhi-peng LIU, Qiang ZHOU, Wen-xian LIU. Development of high-protein and high-yield associated InDel molecular markers based on re-sequencing in alfalfa [J]. Acta Prataculturae Sinica, 2025, 34(4): 137-149. |
| [9] | Teng-fei WANG, Xia MA, Jin-long LIU, Bin WANG, Yi-yin ZHANG, Jia-wang LI, Jiang-ping MA, Xiao-bing WANG, Jian LAN. Analysis of the yield, quality and economic benefits from multiple cropping of fodder oats in the Yellow River irrigation area [J]. Acta Prataculturae Sinica, 2025, 34(4): 27-37. |
| [10] | Peng JIANG, Lei LI, Hao-jun XIE, De-jia XU, Rui WANG, Qiang HU, Quan SUN. Effect of purified biogas slurry drip irrigation on sandy loam soil quality, silage maize productivity and analysis of safe application rate [J]. Acta Prataculturae Sinica, 2025, 34(4): 64-81. |
| [11] | Xin-you WANG, Xiao-lan WANG, Wan-chang ZHANG, Ying LI, Yong-ling MA, Xiao-yin WANG, Jian-gang WANG, Hai-qing WANG, Bei-fan YUE, Yong-fu LIU, Yong-hong WANG, Shan LIU, Mei-ting BAI. Selection of optimal varieties of silage maize and methods for cultivation in mountainous forest-margin areas of southeast Gansu Province [J]. Acta Prataculturae Sinica, 2025, 34(1): 191-202. |
| [12] | Shou-xia XU. Meta-analysis of the effects of arbuscular mycorrhizae on the yield and quality of wheat [J]. Acta Prataculturae Sinica, 2024, 33(7): 192-204. |
| [13] | Hai-wang YUE, Jian-wei WEI, Guang-cai WANG, Peng-cheng LIU, Shu-ping CHEN, Jun-zhou BU. Comprehensive evaluation of silage maize hybrids in the Huanghuaihai plain based on mega-environments delineated using envirotyping techniques [J]. Acta Prataculturae Sinica, 2024, 33(3): 120-138. |
| [14] | Yong-liang ZHANG, Ze TENG, Feng HAO, Tie-feng YU, Yu-xia ZHANG. Effects of different mixed sowing patterns and sowing ratios of alfalfa on grassland productivity and community stability in grass-legume mixtures [J]. Acta Prataculturae Sinica, 2024, 33(2): 185-197. |
| [15] | Yu-fei BAI, Hang YIN, Hai-bo YANG, Zhen-hua FENG, Fei LI. Estimation of alfalfa yields on the basis of unmanned aerial vehicle multi-spectral and red-green-blue images [J]. Acta Prataculturae Sinica, 2024, 33(12): 45-58. |
| Viewed | ||||||
|
Full text |
|
|||||
|
Abstract |
|
|||||