欢迎访问《草业学报》官方网站,今天是

草业学报 ›› 2026, Vol. 35 ›› Issue (1): 107-118.DOI: 10.11686/cyxb2025076

• 研究论文 • 上一篇    

环青海湖共和盆地不同燕麦品种的产量、营养价值及对土壤理化性质的影响

魏孔涛1,2,3(), 张春平1,2,3, 俞旸1,2,3, 张正社4, 周泽1,2,3, 张雪1,2,3, 王鑫鑫1,2,3, 岳思玉1,2,3, 曹铨1,2,3(), 董全民1,2,3()   

  1. 1.青海大学畜牧兽医科学院,青海省畜牧兽医科学院,青海 西宁 810016
    2.青海省高寒草地适应性管理重点实验室,青海 西宁 810016
    3.青海大学三江源区高寒草地生态教育部重点实验室,青海 西宁 810016
    4.青海大学省部共建三江源生态与高原农牧业国家重点实验室,青海 西宁 810016
  • 收稿日期:2025-03-11 修回日期:2025-04-15 出版日期:2026-01-20 发布日期:2025-11-13
  • 通讯作者: 曹铨,董全民
  • 作者简介:qmdong@qhu.edu.cn
    E-mail: caoq1989@126.com
    魏孔涛(1995-),男,甘肃兰州人,在读博士。E-mail: weikt123@163.com
  • 基金资助:
    国家重点研发计划项目(2022YFD1302104);青海大学青年科研基金项目(2022-QNY-12)

Yield performance, nutritional quality, and soil physicochemical responses of oat (Avena sativa) cultivars in the Qinghai Lake-Gonghe Basin region

Kong-tao WEI1,2,3(), Chun-ping ZHANG1,2,3, Yang YU1,2,3, Zheng-she ZHANG4, Ze ZHOU1,2,3, Xue ZHANG1,2,3, Xin-xin WANG1,2,3, Si-yu YUE1,2,3, Quan CAO1,2,3(), Quan-min DONG1,2,3()   

  1. 1.Academy of Animal and Veterinary Sciences,Qinghai University,Qinghai Academy of Animal and Veterinary Sciences,Xining 810016,China
    2.Qinghai Provincial Key Laboratory of Adaptive Management on Alpine Grassland,Xining 810016,China
    3.Key Laboratory of Alpine Grassland Ecosystem in the Three-River Source (Qinghai University),Ministry of Education,Xining 810016,China
    4.State Key Laboratory of Plateau Ecology and Agriculture,Qinghai University,Xining 810016,China
  • Received:2025-03-11 Revised:2025-04-15 Online:2026-01-20 Published:2025-11-13
  • Contact: Quan CAO,Quan-min DONG

摘要:

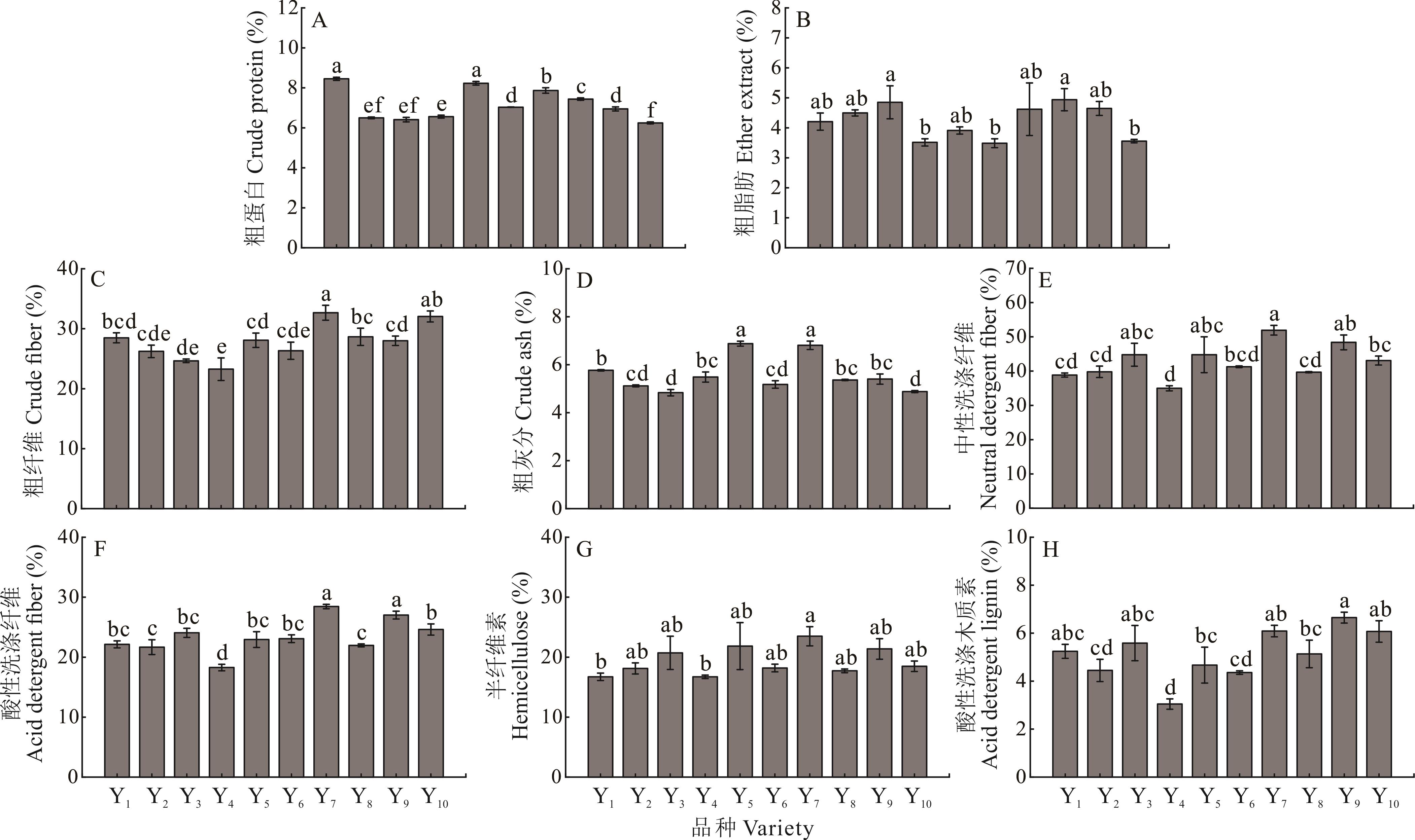
针对高寒生态区饲草生产需求,本研究系统评估了10个燕麦品种在产量、营养品质及土壤改良方面的综合表现。通过方差分析、结构方程模型和TOPSIS(technique for order preference by similarity to ideal solution)模型综合评价方法揭示品种适应性以及与土壤的互作机制,为环青海湖共和盆地草牧业发展提供科学依据。结果表明:美达、福瑞至和黑玫克表现出显著产量优势,鲜草产量50.20~54.78 t·hm-2,干草产量18.68~21.48 t·hm-2;其中艾斯克鲜干比最低(1.67),而爱沃茎叶比最低(2.19)。营养价值呈现品种特异性,楷模和爱沃粗蛋白含量8.23%~8.45%,美达和艾斯克粗脂肪含量突出(4.94%和4.85%);贝勒2纤维组分表现突出,其粗纤维、中性洗涤纤维和酸性洗涤纤维含量均表现较低,且相对饲喂价值和总可消化养分显著领先,饲用价值较优。贝勒2和福星种植区土壤磷含量表现出较高水平;楷模种植区土壤全氮和全碳含量表现出较高水平。相关性分析提示了高产燕麦品种通常伴随优质营养价值和良好的土壤生态反馈。结构方程模型显示,品种通过直接效应(路径系数0.4088~0.4368)和土壤介导的间接效应(0.0725~0.6885)共同调控产量与营养品质。TOPSIS综合评价表明,楷模综合得分最高(0.580),兼具高产特性、优质营养及良好的土壤反馈能力,可作为环青海湖共和盆地退化草地修复与草牧业发展的优选品种。

关键词: 环青海湖地区, 燕麦, 产量, 营养价值, 土壤理化性质

Abstract:

It is difficult to meet forage demands in alpine ecological zones. To address this issue, we evaluated the comprehensive performance of 10 oat (Avena sativa) varieties in terms of yield, nutritional quality, and soil improvement potential. Using variance analysis, structural equation modeling (SEM), and technique for order preference by similarity to ideal solution (TOPSIS) analysis, we assessed the adaptability of the ten oat varieties and their soil interaction mechanisms. The ultimate goal of this research was to provide scientific evidence to underpin the development of the grassland-livestock industry in the Qinghai Lake-Gonghe Basin region. It was found that the oat varieties ‘Monida’, ‘Forage’, and ‘Haymaker’ exhibited significant yield advantages, with the fresh grass yield ranging from 50.20 to 54.78 t·ha-1 and the hay yield ranging from 18.68 to 21.48 t·ha-1. Among the tested varieties, ‘Esker’ had the lower fresh-dry ratio (1.67), and ‘Everleaf’ had the lower stem-leaf ratio (2.19). We detected differences in nutritional value among the varieties: ‘Model’ and ‘Everleaf’ had the higher crude protein contents (8.23%-8.45%), whereas ‘Monida’ and ‘Esker’ were notable for their high ether extract levels (4.94% and 4.85%, respectively). ‘Baler 2’ exhibited outstanding fiber characteristics, with the lower levels of crude fiber, neutral detergent fiber, and acid detergent fiber, and the higher relative feed value and total digestible nutrient value, indicative of excellent forage quality. In terms of soil impact, plots planted with ‘Baler 2’ and ‘Fuxing’ showed higher soil phosphorus levels, while those planted with ‘Model’ had elevated total nitrogen and carbon contents. Correlation analysis suggested that high-yielding oat varieties were generally associated with superior nutritional profiles and favorable soil ecological feedback. The SEM results revealed that oat variety influenced yield and nutritional traits through both direct effects (path coefficients: 0.4088-0.4368) and indirect, soil-mediated effects (0.0725-0.6885). The TOPSIS comprehensive evaluation identified ‘Model’ as the top-performing variety (score: 0.580), exhibiting high yield, superior nutrition, and strong soil feedback potential. Therefore, ‘Model’ is recommended as a priority oat variety for the restoration of degraded grassland and for forage-livestock development in the Qinghai Lake-Gonghe Basin region.

Key words: Qinghai Lake area, oat, yield, nutritional value, soil physicochemical properties